BOARDS OF APPEAL
Decisions of the Technical Boards of Appeal
Decision of Technical Board of Appeal 3.3.1 dated 11 May 1992 - T 470/91 - 3.3.1
(Official Text)
Composition of the Board:
Chairman: | K.J.A. Jahn |
Members: | R.W. Andrews |
| J.-C. Saisset |
Applicant/Appellant: Imperial Chemical Industries PLC
Headword: Unity/ICI
Article: 82 EPC
Keyword: "Unity of inventions relating to intermediates and final products" - "Single inventive concept - structural relationship between intermediates unnecessary" - "Reimbursement of appeal fee (no)"
Headnote
I. An invention relating to novel intermediates and novel end products has unity if the intermediates oriented towards the final products are sufficiently closely technically related thereto by the contribution of an essential structural element to the end products and if the regulatory provisions of Article 82 EPC are safeguarded.
II. This is also valid if the intermediates belong to two groups of compounds with different basic structures (decisions T 110/82 "Benzyl esters", OJ EPO 1983, 274, T 57/82 "Copolycarbonates", OJ EPO 1982, 306, and T 35/87 "Hydroxypyrazoles", OJ EPO 1988, 134, followed and extended).
Summary of Facts and Submissions
I. European patent application No. 86 306 769.0 (publication No. 0 216 541) was filed on 2 September 1986.
II. By a decision dated 21 March 1991, the Examining Division refused the application on the ground that it did not comply with the requirements of Article 82 EPC. The decision was based on twelve claims, Claim 1 and 8 to 10 of which read as follows:
"1. A compound of formula:

wherein each of X and Y independently represents halo, n is an integer from 1 to 4; each Z is independently selected from halo and trihalomethyl, and A is oxygen or sulphur.
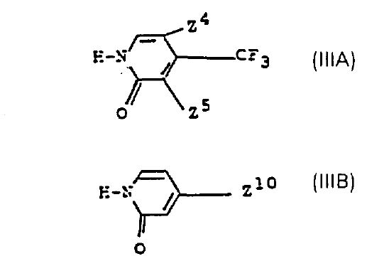
8. A compound of formula (IIIA) or (IIIB)

where Z4 and Z5 are independently selected from hydrogen, halogen, or trifluoromethyl provided that Z4 and Z5 are not both hydrogen; and Z10 is trihalomethyl other than trifluoromethyl.
9. A compound of formula:

10. A compound of formula:

wherein W is amino, X is bromo, and Y is chloro, or W is fluro, X is bromo and Y is chloro or bromo".
In its decision the Examining Division held that the intermediate of Claim 10 and Claims 8 or 9 respectively did not have the common structural feature necessary to comply with the requirements of Article 82 EPC.
In the Examining Division's opinion the cases decided in decisions T 57/82, T 35/87 and T 110/82 were different from the present case since these were concerned with applications in which all the claimed intermediates and the end product had a unique common feature. The Examining Division also considered that "the essential structural element" referred to in decision T 35/87 concerned a single such element and not two (or more) different elements.
III. An appeal was lodged against this decision on 21 May 1991 with payment of the prescribed fee. In his statement of grounds of appeal submitted on 3 June 1991, the appellant argued that the Technical Boards of Appeal have established that where the subject-matter of an application relates to a new chemical product, independent claims to intermediates can be unified within the meaning of Article 82 EPC, since the subject-matter is integrated into a single inventive concept by being oriented towards those products. In contrast to the Examining Division, the appellant contended that where a main claim provides the unifying umbrella of a single inventive concept, there is no requirement for individual elements sheltering under the same umbrella to have unity one with another.
IV. The appellant requests that the decision under appeal be set aside and that the application be allowed to proceed to grant (or to be remitted to the first instance for further substantive examination as to any remaining issues) on the basis of the present claims. The appellant also requests reimbursement of the appeal fee.
Reasons for the Decision
1. The appeal is admissible.
2. It is the established jurisprudence of the Technical Boards of Appeal that in principle there is unity of invention where several groups of novel intermediates and a group of novel end products are involved, provided the groups of intermediates oriented towards the end products are sufficiently technically closely related thereto by the contribution of an essential structural element to the end products and if the regulatory provisions of Article 82 EPC are safeguarded (cf. T 110/82 "Benzyl esters", OJ EPO 1983, 274, and T 35/87 "Hydroxy-pyrazoles", OJ EPO 1988, 134).
2.1 In contrast to these above-mentioned cases, the present intermediates provide both the essential structural elements present in the end products. In particular, the intermediates of formulae IIIA and IIIB and 2-chloro-4,5- bis(trifluoromethyl)pyridine (an intermediate for 4,5-bis (trifluoromethyl)-2-pyridone, cf. paragraph bridging pages 7 and 8) provide the 2-oxopyridyl radical of the final products and the 4-fluorobenzotrifluorides of Claim 10 and 2-bromo-6-chloro-4-trifluoroaniline (an intermediate for 2-bromo-6-chloro-4-fluorobenzotrifluoride, cf. Scheme A on page 9), contain the 4-trifluoromethylphenyl moiety thereof. The final products are obtained by reacting the compounds of Claim 10 in which W represents a fluorine atom with the compounds of formula IIIA or IIIB.
Therefore, there is no doubt that the intermediates of the application were only made available with the view to obtaining the end products and that they are sufficiently closely technically inter-connected with the final products. Thus, they are integrated into a single overall inventive concept by being oriented towards the final products. This is not prejudiced by the fact that the two sets of intermediates are not structurally related to each other since the orientation of the intermediates towards the end products permits the individual technical problems addressed by the intermediates to be combined into a unitary overall problem to the solution of which both sets of purpose-made intermediates contribute.
2.2 It must also be borne in mind that, if the requirements of the Examining Division were to be complied with either the subject-matter of Claims 8 and 9 or that of Claim 10 would have to be surrendered or either of these subject-matters would have to be pursued in a divisional application which would amount to a needless subdivision of technically interconnected subject-matter and be incompatible with the regulatory purpose of Article 82 EPC which requires the treatment of inter-connected issues within a single procedure.
Moreover, the first instance did not argue that, in the present case, the regulatory function of Article 82 EPC (prohibition of unjustified saving of fees, need for ready comprehensibility) was impaired and the Board itself is unable to recognise such an impairment.
3. Therefore, in the Board's judgment, the application in suit relates to a group of inventions so linked as to form a single inventive concept.
4. In accordance with Rule 67 EPC, reimbursement of an appeal fee shall be ordered when a Board deems an appeal to be allowable if such reimbursement is equitable by reason of substantial procedural violation. The appellant justified his request for reimbursement of the appeal fee on the basis that the Examining Division had failed to provide any reasoned argument for its interpretation of Article 82 EPC. However, in the Board's view, the Examining Division's refusal of the application was based on a too narrow and restricted interpretation of the relevant case law. However, a misinterpretation of the Board's jurisprudence cannot be regarded as a substantial procedural violation which would justify the reimbursement of the appeal fee.
Order
For these reasons it is decided that:
1. The decision under appeal is set aside.
2. The case is remitted to the first instance for further prosecution on the basis of the claims annexed to the decision under appeal.
3. The request for reimbursement of the appeal fee is rejected.