BOARDS OF APPEAL
Decisions of the Technical Boards of Appeal
Decision of Technical Board of Appeal 3.3.01 dated 12 April 2005 - T 713/02 - 3.3.01
(Language of the proceedings)
Composition of the board:
Chairman: | A. J. Nuss |
Members: | R. Freimuth |
| R. T. Menapace |
Applicant: Avecia Biotechnology Inc.
Headword: Phosphoramidites/AVECIA
Article: 54, 111(1), 112(1)(a) EPC
Keyword: "Correction of priority data after publication of application (not allowed) - no separate positive decision in examination proceedings - no binding effect - no res judicata - public taken by surprise - correction not requested promptly" - "Novelty (no) - prepublished document" - "Referral of questions to EBA (no) - questions irrelevant for present decision" - "Refund of appeal fee (no) - unsuccessful appeal"
Headnote
I. Even where the Formalities Officer allowed a request for correction of priority data, that matter is not thereby decided in the applicant's favour in binding form prior to the decision terminating the granting procedure and is, thus, open to review by the Board of Appeal. (Point 2.1 of the reasons)
II. The examination of a request for correction of priority data after the publication of the application is not to be restricted to that portion of the facts and circumstances which in a decision of a Board of Appeal in another case was considered not to preclude the correction. Therefore, in the present case, it cannot be ignored that the requested correction by addition of an earlier priority date would eliminate from the state of the art pursuant to Article 54(2) EPC a highly relevant document, which the applicant had previously de facto accepted as comprised in that state of the art. (Point 2.2 of the reasons)
Summary of facts and submissions
I. The appeal lodged on 14 March 2002 lies from the decision of the Examining Division posted on 25 January 2002 refusing European patent application No. 96 933 245.1, which was filed as international application published as WO 97/42202.
II. The decision under appeal was based on a set of six claims filed on 21 December 2000, independent claim 1 reading as follows:
1. A bifunctional phosphitylating reagent having the general structure:
, wherein:
R is 
, or 
wherein the right most O, C, or S is the point of attachment to phosphorous;
X is 
, or 
wherein the left most N is the point of attachment to phosphorous;
and Y is
, or 
wherein the left most N is the point of attachment to phosphorous.
III. The Examining Division found that the present application lacked novelty. It held in particular that the subject-matter claimed according to the pending request was not novel in view of document
(1) Tetrahedron Letters, Volume 37, Issue 3, 331 to 334 (15 January 1996).
That document disclosed on page 332, scheme 1 and on page 333, scheme 2 a "compound 1" which was a phosphitylating agent according to present claim 1.
Document (1) was held to constitute prior art in the sense of Article 54(2) EPC since the Appellant Applicant's request for correction of the priority data of the present application under Rule 88 EPC was not allowable. The requested correction to the earlier priority date of 6 October 1995 based on the US priority 08/539939 was not made promptly, which was one of the requirements to be fulfilled for allowing correction (with reference to decision J 6/91, OJ EPO 1993, 657), as the Applicant submitted his request about 4 years after the filing date and about 3 years after the publication date of the present application, and after having received two communications objecting to novelty and inventive step based on that document (1). Therefore the Appellant Applicant did not act with due diligence when requesting correction of the priority data so late in the proceedings. Furthermore, the correction of priority data after publication of the application was to be allowed only in exceptional cases for the reason of safeguarding legal certainty in the interest of the public. Indeed, when allowing the correction in the present case, the scope of the claimed subject-matter could be drastically extended and therefore the interest of the public would be affected which interest was, however, of overriding importance (with reference to decision J 7/94, OJ EPO 1995, 817, point 9 of the reasons).
As to the letter of 18 April 2001 allowing the correction of the priority data which had been issued by non-examining staff, i.e. a Formalities Officer, the Examining Division held that it was not a decision since it was in the form of a "brief communication" and not signed by the three members of the Examining Division contrary to the requirements of Article 18 EPC. Furthermore, in view of the wording of Rule 9(3) EPC and paragraph III of the Notice of the Vice-President DG 2 concerning the entrustment of certain duties to non-examining staff (OJ EPO 1999, 504) the opinion given in the letter dated 18 April 2001 by the non-examining staff went beyond its competence since that opinion involved technical and legal difficulties having drastic influence on the outcome of the substantive examination of the present case.
IV. The Appellant annexed to the Statement of the Grounds of Appeal, submitted on 29 May 2002 an amended set of six claims. Independent claim 1 thereof is identical to claim 1 filed on 21 December 2000 before the Examining Division (see point II supra).
The Appellant did not dispute that document (1) disclosed a compound which was covered by claim 1 but disputed that this document was state of the art pursuant to Article 54 EPC.
The Appellant submitted that document (1) was published after the earliest priority date of the present application, which date should be corrected to 6 October 1995 based on the priority document US 08/539939. He argued that there was no lack of due diligence on his part when this correction was requested late in the proceedings since he acted promptly to correct the error as soon as the error became clear. He was not aware that an error had occurred because he had been told by his US Patent Agents that priority from US 08/539939 had been claimed. Once the error was identified, there was no undue delay in requesting correction thereof. Furthermore, the rights of the public were not affected by the requested correction of the priority for the same reasons as set out in the decision J 6/91 (loc. cit.) where the Board of Appeal allowed the correction. The interest of the public was safeguarded by the fact that it was apparent from the face of the published application that a mistake might have been made with respect to the priority date claimed since the application contained the statement that it was "a continuation-in-part of US Serial No. 08/539939, filed 6 October 1995". The filing date was 4 October 1996 and, hence, only two days before the end of the 12-month period for claiming the priority right in question, while it was five months after the priority date originally claimed. That situation served as a warning to the public throughout the period whilst the application was pending. For these reasons the Appellant's request for correction of the priority date should be allowed.
The Appellant challenged the authority of the Examining Division to overturn the correction of the priority date allowed by the Formalities Officer. Although expressed in the form of a "Brief Communication" it was clear that what was being communicated by the Formalities Officer was a decision on the requested correction of the priority date. This decision was made by the competent Officer acting on behalf of the Examining Division with the consequence that the signatures of the three members of the Examining Division were not necessary as in many other decisions taken by Formalities Officers. In the present case, the Formalities Officer was acting within the area of competence assigned to him by the Notice of the Vice-President DG 2 concerning the entrustment of certain duties to non-examining staff (loc. cit.), in particular section I, point 23. That Notice was not in conflict with Rule 9(3) EPC which empowered the President of the EPO to delegate certain duties involving no technical or legal difficulties to non-examining staff as confirmed by the decision of the Enlarged Board of Appeal G 1/02 (OJ EPO 2003, 165). Therefore, the decision of the Formalities Officer to correct the priority date was properly made, and as such was binding upon the Examining Division.
The refusal of the present application for lack of novelty over document (1) which was published after the corrected priority date was, thus, incorrect.
Subsidiarily, the Appellant suggested that the following questions of law be referred to the Enlarged Board of Appeal:
"1. Does point 23 of the Notice of The Vice President of DG 2 dated 28.04.99 concerning the entrustment to non-examining staff of certain duties normally the responsibility of the examining divisions include the correction of claimed priority dates?
2. If the answer to Question 1 is "yes", can an Examining Division subsequently overturn a decision taken by a member of staff acting within their area of competence?
3. If the answer to Question 2 is "yes", under what circumstances can the decision be overturned, and are there any restrictions on the ability to overturn such a decision?
4. If the answer to Question 2 is "no", does the subsequent overturning of such a decision constitute a substantial procedural violation?"
Furthermore, the Appellant alleged that the Examining Division committed a substantial procedural violation when overruling the decision of the Formalities Officer justifying refund of the appeal fee.
V. The Appellant requested as main request that the decision under appeal be set aside and a patent be granted on the basis of the amended set of claims submitted on 29 May 2002, as first auxiliary request that the Examining Division's decision to overturn the Formalities Officer's correction of the priority date be set aside and the case be remitted to the first instance for examination on the basis of the corrected priority date, and as second auxiliary request that the Board referred the questions of law cited above to the Enlarged Board of Appeal. Furthermore, the Appellant requested refund of the appeal fee.
In his letter dated 10 March 2005, the Appellant withdrew his request for oral proceedings and requested a decision to be based on the written submissions.
IV. Oral proceedings were held on 12 April 2005 in the absence of the duly summoned Appellant. At the end thereof, the decision of the Board was announced.
Reasons for the decision
1. The appeal is admissible.
2. Priority right
In the decision under appeal the novelty objection was based on document (1). That document was published before the sole priority date originally claimed in the present application, i.e. 9 May 1996, but was published after 6 October 1995, which date the Appellant later requested to be added as a further priority date by way of correction pursuant to Rule 88 EPC. That correction is under dispute with the consequence that its validity needs to be examined before establishing whether or not document (1) qualifies as prior art pursuant to Article 54(2) EPC.
2.1 Jurisdiction of the Board
After the Formalities Officer had informed the Appellant Applicant in writing that the request for correction had been allowed, the Examining Division, in the decision under appeal, held to the contrary. That finding has been challenged by the Appellant inter alia on the ground that the Examining Division had no authority to overturn what, according to him, constituted a binding decision made by a competent Officer of the EPO empowered to decide that matter on behalf of the Examining Division (see point IV supra).
2.1.1 Under Article 111(1), second sentence, first alternative, EPC the Board of Appeal may indeed exercise any power within the competence of the department which was responsible for the decision under appeal. This includes Formalities Officers acting on behalf of the Examining Division under Rule 9(3) EPC. As regards the examination of whether the appeal is allowable (Article 110(1) EPC), in ex parte proceedings the Boards of Appeal are restricted neither to examining the grounds for the contested decision nor to the facts and evidence on which the decision is based. This applies also to patentability requirements which the Examination Division indicated in a communication or in a decision to refuse the application as having been met (see decision G 10/93, OJ EPO 1995, 172, point 3 of the reasons), and all the more to those requirements which were found not to have been met. Excluded from review by the Boards of Appeal is only matter which qualifies as res judicata, i.e. issues not or no longer appealable because subject of another decision that has become final.
2.1.2 This raises the question of the legal nature of the official letter of the Formalities Officer annexed to the "Brief Communication" dated 18 April 2001 (see point III above), which letter started with the statement: "In the matter of Application No. 96933245.1, it is decided as follows: The request to add the priority of US 08/539,939 (filed on 6 October, 1995) is allowed", followed by a short reasoning and ending with the sentence "Hence, the priority date will be changed to 6 October, 1995".
2.1.3 If that letter of the Formalities Officer constituted a(n interlocutory) decision within the meaning of Article 106 EPC it would be final and binding on the department of the EPO which issued it (see e.g. decision T 222/85, OJ EPO 1988, 128, point 3 of the reasons). Furthermore, in ex-parte proceedings an appeal is indeed not admissible in respect of an administrative decision dealing with a request of the sole party to the proceedings and fully allowing it for the reason that the requesting party is not thereby adversely affected. That is the case for any such decision (validly) taken by any department of the EPO entrusted with proceedings under the EPC, including Formalities Officers acting on behalf of an Examining Division (Rule 9(3) EPC and Notice of the Vice-President DG 2, loc. cit.).
2.1.4 Whether a document issued by the EPO constitutes a decision or a communication depends on the substance of its contents, not on its form (e.g. decision J 8/81, OJ EPO 1982, 10). Hence it is not relevant that the text in question was in the form of a mere letter and sent as an enclosure to a "Brief Communication", nor does it matter that it stated "...it is decided" to allow the request. Nor is the fact decisive that the Notice of the Vice-President DG 2 cited above uses in point I.23 the wording "Decisions concerning the correction of errors .... (Rule 88 EPC)".
The criterion of substance has to be assessed in its procedural context, in particular by also taking into account the consequences of irreversibly determining the matter at stake - here the addition of an earlier priority - at the given stage of the proceedings, namely in the middle of the substantive examination, and before it had been concluded, as provided for in Article 97 EPC, by a decision to grant a patent or to refuse the application.
This is particularly critical in the present case where the Examining Division had already issued two communications in which both lack of novelty and of inventive step had been found when the Formalities Officer accepted a correction of the priority data by allowing the Appellant to add a further priority with the effect of switching back the earliest priority date from 9 May 1996 to 6 October 1995, thereby interfering with the ongoing substantive examination.
2.1.5 Unlike situations where a total loss of rights is remedied under Articles 121 or 122 EPC, the granting procedure can be carried on perfectly without a final and binding finding that a priority has been validly claimed. Therefore, in the granting procedure, the validity of a priority claim under the EPC is not established by a separate decision even where it is crucial because relevant state of the art emerged during the priority period. There is no sound reason to decide that matter in the applicant's favour in binding form prior to the decision terminating the granting procedure. Similarly, pursuant to Rule 69(2) EPC a "decision shall be given only" if the Office finds against the applicant; if the finding is in his favour he is merely "inform[ed]" about it. It follows from this that there is, in the absence of special circumstances, no need to allow a request for correction of a priority declaration by way of a separate interlocutory decision with immediate final force and effect.
2.1.6 Rather, allowing during ongoing examination proceedings the correction of a priority declaration in the form of a decision that is final would be prejudicial to the outcome of the substantive examination with the possible consequence that the Examining Division is then forced to grant a patent even where it came to light that actually not all requirements of the EPC have been met. Creating such a prejudice by way of a formal decision would, however, be incompatible with the obligation of the Examining Division, in particular under Articles 94(1), 96(2) and 97(1) EPC, and the Formalities Officer acting on its behalf to ensure that no patents are granted which do not meet the requirements of the EPC (see decision G 10/93, loc. cit., point 3 of the reasons).
Moreover, irreversibly allowing such a request for correction would unjustifiably privilege the applicant to the disadvantage of the public and other applicants, whose interests are to be safeguarded as well when correcting priority data late (see point 2.2 below).
2.1.7 Given this, there is no reason to assume that the official letter, in which the Formalities Officer stated that the requested correction was allowed, constituted a formal (interlocutory) decision; nor does this statement for objective reasons qualify as such a decision whose content - the addition of a further priority by way of correction pursuant to Rule 88 EPC - was res judicata; nor is there any basis for construing such an effect on the principle of legitimate expectations or good faith.
2.1.8 It follows from this, that, irrespective of whether the Formalities Officer acted ultra vires (as the Examining Division held) or not, the question of whether in the present case the further priority was validly claimed is open to review by the Board of Appeal exercising the power conferred on it by Article 111(1) EPC.
That being so, the question raised by the Appellant of whether or not the Examining Division can subsequently "overturn a decision" of the Formalities Officer can be left unanswered in the present case.
2.2 Correction of priority
2.2.1 Although Rule 88, first sentence, EPC in cases of an incorrect priority claim allows correction without any time bar, such a correction is at the discretion of the competent authorities of the EPO. The overriding principle in exercising the discretionary power is to balance the interests of the applicant in gaining optimal protection and the interests of the public in respect of legal certainty, in particular that the published application data are accurate and complete (see decisions J 3/91, OJ EPO 1994, 365, point 4 of the reasons; J 14/82, OJ EPO 1983, 121, point 6 of the reasons). Therefore a request for correction of a priority claim by the addition of a priority should be made sufficiently early for a warning to be included in the publication of the application. As an exception to this rule, the correction of priority data, not requested sufficiently early for a warning to be included in the publication of the application, is only allowable if it is justified by special circumstances and the request for correction has been made promptly (see decision J 6/91, loc. cit., points 3(4) and 5.6 of the reasons; confirmed in J 7/94, loc. cit.). This principle aims at avoiding the unsatisfactory situation where a priority claim comes as a surprise to the public, which is affected by the patent, since the patentability of an invention cannot be evaluated without the relevant state of the art which can only be determined if it is known whether or not a priority is validly claimed. In order to prevent such an impairment, the Boards of Appeal have put particular emphasis on the aspect of legal certainty for the public in cases where a correction of a priority date was not requested sufficiently early for a warning to be included in the publication (see decision J 7/94, loc. cit., points 4 and 6 of the reasons).
2.2.2 In the present case, the application was published on 13 November 1997 claiming exclusively priority from US 08/647354 dated 9 May 1996 without, however, comprising any warning as regards the priority data. In a letter dated 21 December 2000 the Appellant requested correction of the priority data by the addition of a priority claim to US 08/539939 dated 6 October 1995. Thus, the correction of the priority data having not been requested sufficiently early for a warning to be included in the publication of the application, it could only be allowed if it was justified by special circumstances and if the Appellant acted promptly.
2.2.3 With respect to the requirement of promptly requesting correction, it is to be noted that in the present case it took more than three years from the date of publication of the application and multiple office actions before the Appellant requested correction of the priority date which long delay already gives rise to a closer examination of the promptness of the correction. The Examining Division, in its first communication, raised a novelty objection on the basis of document (1) which represented, at that time, state of the art according to Article 54(2) EPC since it was published before the then effective original priority date. This objection was to be expected by the Appellant as the Search Report already qualified this document as category "X", i.e. it was characterised as novelty-destroying.
2.2.4 Not later than when confronted with the novelty objection in the first communication, which was based on document (1), the Appellant should have spotted any actual error in the claimed priority date and, if so, he then would have been prompted to immediately request correction of the priority data since a correction would overcome that novelty objection by eliminating the highly relevant document (1) from the state of the art pursuant to Article 54(2) EPC for the simple reason that the corrected priority date is earlier than the publication date of this document. Instead, the Appellant, in reply to the Examining Division's first communication and in order to meet the novelty objection, restricted the subject-matter of claim 1 by way of a disclaimer delimiting, thus, the claimed invention from document (1), thereby de facto accepting it as state of the art. By this course of action, which was available to the public by way of file inspection, the Appellant made the public rely on the data of the published application, including the priority data, as being accurate and complete and that no error had occurred in this respect.
2.2.5 It was only after a second communication wherein the Examining Division acknowledged novelty but objected to inventive step vis-à-vis document (1), that the Appellant filed a request for correction of the priority data. In view of the Appellant's course of action in examination proceedings up to then this request came as a surprise to the public and was contrary to the principle of legal certainty regarding the valid priority date and, hence, whether document (1) was relevant state of the art or not. This is precisely the unsatisfactory situation for the public which should be avoided by the restrictions put on late corrections (see point 2.2.1 supra).
2.2.6 Thus, when balancing the interests of the Appellant in gaining optimal protection and the interests of the public in respect of legal certainty, in particular that the published application data are accurate and complete, the circumstances of the present case including the lack of promptness do not justify making an exception from the general rule that a request for correction, including the addition, of a priority should be made sufficiently early for a warning to be included in the publication of the application.
2.2.7 The Appellant, in support of his request for correction of the priority date, argued that the rights of the public were not affected by the requested correction since the present case was similar to that in the decision J 6/91 (loc. cit.) where the correction was allowed. He maintained that, like there, the interest of the public was safeguarded by the fact that it was apparent from the face of the published application that a mistake may have been made with respect to the priority data claimed since the application contained the statement that it was a "continuation-in-part" of a US application filed on 6 October 1995. The filing date of the present application (4 October 1996) was only two days before the end of the twelve-month period for claiming the priority right from the continuation-in-part application referred to. Those circumstances served as a warning to the public throughout the period whilst the application was pending.
The description of the present application comprises, indeed, an indication that it was a "continuation-in-part" of a particular US serial number. However, the Appellant, when addressing the decision J 6/91 to support his case, ignores the finding in that decision "that, taken alone, the fact that the application was itself presented as a continuation-in-part application would not be sufficient to warn the informed public that a first priority might be missing" (point 5.5, paragraph 3 of the reasons). In contrast to case J 6/91, the course of the Appellant's specific actions in the present case was such that the very late request for correction came as a surprise to the public even if due account is taken of all relevant information contained in the published specification of the application; nor was the request submitted promptly (see points 2.2.4 to 2.2.6 supra). Therefore the relevant circumstances in the present case are substantially different from those underlying the decision J 6/91 such that the Appellant cannot successfully rely on that decision to support his case.
2.2.8 Furthermore, the Appellant argued that he acted promptly to get the priority data corrected as soon as he became aware that an error had occurred. This error, he said, was due to a misinformation by his US Patent Agents. Since the German Agents did not go into detail concerning the actual dates of publication when dealing with the Examining Division's first communication, the error in the priority claim became apparent only after responsibility for instructing the prosecution of this application had been passed to the Appellant's intellectual property group. Once the error was identified, there was no undue delay in requesting correction thereof.
However, assessing the Appellant's request for correction on an objective basis, it cannot be considered as having been made promptly in view of what has been set out in point 2.2.4 supra. The Appellant's argument on promptness is rather based on deficiencies lying exclusively within his own sphere of influence. Those deficiencies cannot be taken into account when balancing his interest in seeking optimal protection and the public's interest in legal certainty since otherwise the applicant could take advantage from errors and deficiencies under his control and responsibility to the detriment of the public's interest, which the Board cannot sanction.
2.3 For all these reasons, the Appellant's request to correct the priority data pursuant to Rule 88 EPC must be rejected with the consequence that the only valid priority date of the present application remains the 9 May 1996.
Main request
3. Novelty
The only substantial issue arising from this appeal is whether the subject-mater claimed is novel over the state of the art.
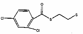
3.1 Document (1) is published on 15 January 1996, i.e. before the only valid priority date of the present application as set out in point 2 supra, and, thus, is state of the art pursuant to Article 54(2) EPC. The Appellant never contested that this document discloses a phophitylating agent covered by present claim 1. On page 332, scheme 1 and on page 333, scheme 2 document (1) describes a phophitylating agent labelled "compound 1" having a formula which is in accordance with the general formula of present claim 1 wherein the substituent R has the meaning NC-CH2-CH2-O-, the substituent X is a 3-nitrotriazol group and the substituent Y is a diisopropylamino group.
3.2 The Board concludes from the above that document (1) anticipates the subject-matter of claim 1. Since a decision can only be taken on a request as a whole, none of the further claims need to be examined.
In these circumstances, the Appellant's main request must be rejected for lack of novelty pursuant to Articles 52(1) and 54 EPC.
First auxiliary request
4. For the reasons given in point 2 supra the correction of the priority data has been refused for the present application. Therefore the Appellant's first auxiliary request to remit the case to the first instance for continuing examination on the basis of a corrected priority date must necessarily fail.
Second auxiliary request
5. Referral of questions to the Enlarged Board of Appeal
According to Article 112(1)(a) EPC a Board shall refer a question to the Enlarged Board of Appeal if it considers that a decision is required in order to ensure uniform application of the law or if an important point of law arises. Although a question may involve an important point of law, it is only referred to the Enlarged Board of Appeal if the answer to it is necessary to decide the case under consideration.
In the present case, the Appellant has formulated questions (see point IV supra) addressing the responsibility of Formalities Officers for the correction of priority dates in view of point 23 of the Notice of the Vice-President DG 2 concerning the entrustment of certain duties to non-examining staff (loc. cit.) and the binding effect of their view on the Examining Division. However, regardless of whether the Formalities Officer or the Examining Division allowed the correction of a priority date in examination proceedings, that finding has no binding effect before the final decision on the application, i.e. its refusal or the grant of a patent, has been taken and, on appeal against such a decision, is open to review by the Boards of Appeal (see point 2.1.8 supra).
Hence, the answer to Appellant's question 1 is irrelevant for deciding the present case. The Appellant's questions 2 to 4 are dependent on question 1 and, thus, they share the same fate.
Under these circumstances, the Appellant's request to refer questions to the Enlarged Board of Appeal cannot be allowed.
Reimbursement of the appeal fee (Rule 67 EPC)
6. It is a prerequisite of Rule 67 EPC that the appeal be allowed in order that reimbursement of the appeal fee can be ordered. Since in the present case the appeal is unsuccessful, already for this very reason the Appellant's request for the reimbursement of the appeal fee must fail.
Order
For these reasons it is decided that:
1. The request to refer questions to the Enlarged Board of Appeal is rejected.
2. The appeal is dismissed.
3. The request for reimbursement of the appeal fee is refused.