BESCHWERDEKAMMERN
Entscheidungen der Technische Beschwerdekammern
Entscheidung der Technischen Beschwerdekammer 3.3.1 vom 12. Mai 2000 T 728/98 - 3.3.1
(Übersetzung)
Zusammensetzung der Kammer:
Vorsitzender: | A. J. Nuss |
Mitglieder: | R. Freimuth |
| S. C. Perryman |
Anmelder: ALBANY MOLECULAR RESEARCH, INC.
Stichwort: reines Terfenadin/ALBANY
Artikel: 54, 84, 123 (2) EPÜ
Regel: 29 (1), 35 (12) EPÜ
Schlagwort: "Klarheit des Anspruchs (verneint) - keine eindeutige Bedeutung des wesentlichen Merkmals ("im wesentlichen rein"), das den Anspruch vom Stand der Technik abgrenzen soll" - "Änderung (nicht zulässig) - Streichung des wesentlichen Merkmals" - "Neuheit (verneint) - Product-by-process-Anspruch auf das Erzeugnis als solches gerichtet - Reinheitsgrad der chemischen Verbindung mittels eines herkömmlichen Reinigungsverfahrens erzielbar - kein Ausnahmefall (vgl. T 990/96) - Reinheit als solche kein Unterscheidungsmerkmal für das Erzeugnis"
Leitsätze
I. Aus dem Erfordernis der Rechtssicherheit folgt, daß ein Anspruch nicht als deutlich im Sinne des Artikels 84 EPÜ gelten kann, wenn er ein unklares technisches Merkmal (hier: "im wesentlichen rein") enthält, für das auf dem betreffenden Fachgebiet keine eindeutige, allgemein anerkannte Bedeutung existiert. Dies gilt um so mehr, wenn das unklare Merkmal für die Abgrenzung des beanspruchten Gegenstands vom Stand der Technik wesentlich ist (s. Nr. 3 der Entscheidungsgründe).
II. Stellt sich heraus, daß sich der beanspruchte Reinheitsgrad einer niedermolekularen chemischen Verbindung (hier: eines Terfenadinderivats) durch die Behandlung eines im Stand der Technik offenbarten Reaktionsgemischs mit einem herkömmlichen Reinigungsverfahren erfolgreich erzielen läßt, so liegt kein Ausnahmefall im Sinne der Entscheidung T 990/96 vor, weil dafür nachgewiesen werden müßte, daß dieser Reinheitsgrad mit herkömmlichen Verfahren nicht zu erzielen ist. Daher kommt die allgemeine Regel zum Tragen, daß der Reinheitsgrad dieser niedermolekularen Verbindung keine Neuheit verleihen kann. Diese allgemeine Regel gilt auch für einen Product-by-process-Anspruch, wenn der Reinheitsgrad das zwangsläufige Ergebnis des im Anspruch angegebenen Herstellungsverfahrens ist (s. Nr. 6 der Entscheidungsgründe).
Sachverhalt und Anträge
I. Die am 15. April 1998 eingelegte Beschwerde richtet sich gegen die am 23. Februar 1998 zur Post gegebene Entscheidung der Prüfungsabteilung, mit der die europäische Patentanmeldung Nr. 96 200 338.0 (europäische Veröffentlichungsnummer 723 958) zurückgewiesen wurde.
II. Der angefochtenen Entscheidung lagen ein Hauptantrag mit den Ansprüchen 1 bis 9 in der ursprünglich eingereichten Fassung und drei Hilfsanträge zugrunde. Der ursprüngliche unabhängige Anspruch 1 gemäß dem Hauptantrag lautete wie folgt:
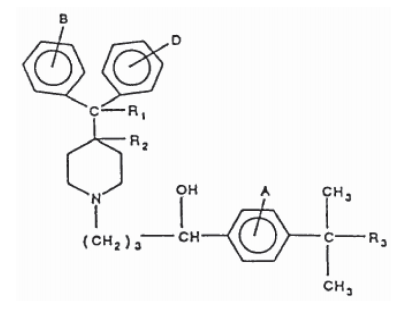
"Eine im wesentlichen reine Piperidinderivatverbindung der Formeln

oder

worin
R1 Wasserstoff oder eine Hydroxygruppe ist,
R2 Wasserstoff ist,
oder R1 und R2 zusammen eine zweite Bindung zwischen den Kohlenstoffatomen bilden, an denen R1 und R2 angelagert sind,
R3 -COOH oder -COOR4 ist,
R4 ein Alkyl mit 1 bis 6 Kohlenstoffatomen ist,
A, B und D ein oder mehrere verschiedene Substituenten ihrer Ringe sind und jeweils Wasserstoff, ein Halogen, eine Alkyl-, Hydroxy- oder Alkoxygruppe oder andere Substituenten oder deren Salze sind."
Die Prüfungsabteilung befand, daß die vorliegende Anmeldung in Anbetracht der Druckschrift
(1) US-A-4 254 129
gemäß Artikel 54 (2) EPÜ nicht neu sei.
Insbesondere handele es sich bei den in der Druckschrift (1) offenbarten Verbindungen eindeutig um die para-Regioisomere, die mit den in der vorliegenden Anmeldung beanspruchten Verbindungen identisch seien. Der Begriff "im wesentlichen rein" verleihe den beanspruchten Verbindungen keine Neuheit, weil er sie nicht von den bekannten Verbindungen abgrenze.
III. Die Beschwerdeführerin (Anmelderin) reichte am 8. Juli 1998 zusammen mit der Beschwerdebegründung einen Hauptantrag und die Hilfsanträge 1 bis 11 ein. Der Hauptantrag stimmt mit dem Antrag überein, der der angefochtenen Entscheidung zugrunde lag, d. h., er besteht aus den Ansprüchen 1 bis 9 in der ursprünglich eingereichten Fassung. Anspruch 1 nach dem Hilfsantrag 1 unterscheidet sich von Anspruch 1 des Hauptantrags nur insofern, als zusätzlich angegeben ist, daß die im wesentlichen reinen Piperidinverbindungen im wesentlichen frei vom entsprechenden meta-Isomer sind. Anspruch 1 nach dem Hilfsantrag 2 unterscheidet sich von Anspruch 1 des Hauptantrags dadurch, daß zusätzlich ein Disclaimer enthalten ist, der sich auf die gemäß Druckschrift (1) hergestellten Verbindungen bezieht. Anspruch 1 nach dem Hilfsantrag 3 unterscheidet sich von Anspruch 1 des Hauptantrags dadurch, daß zusätzlich angegeben ist, daß die im wesentlichen reinen Piperidinverbindungen mit dem in der vorliegenden Anmeldung allgemein beschriebenen Herstellungsverfahren zu erhalten sind. Anspruch 1 nach den Hilfsanträgen 4 bis 7 ist auf eine pharmazeutische Zubereitung gerichtet, die eine im wesentlichen reine Piperidinverbindung gemäß der Definition in Anspruch 1 des Hauptantrags bzw. der Hilfsanträge 1 bis 3 enthält. Anspruch 1 nach den Hilfsanträgen 8 bis 11 ist mit Anspruch 1 nach den Hilfsanträgen 4 bis 7 identisch, wobei lediglich die Piperidinverbindungen auf die im wesentlichen reine Einzelverbindung 4-[4-[4-(Hydroxydiphenylmethyl)-1-piperidinyl]-1-hydroxybutyl]-α,α-dimethylphenylessigsäure begrenzt sind.
IV. Die Beschwerdeführerin brachte vor, daß die beanspruchten Piperidinverbindungen auf die "im wesentlichen reinen" Verbindungen beschränkt seien. Dieser Begriff sei für einen Fachmann klar, denn entsprechend dem in der Druckschrift
(E6) US Pharmacopeia, nicht datiert, Seiten 1922 bis 1924,
dargelegten Standard für die pharmazeutische Industrie bedeute er einen Reinheitsgrad von 98 % oder höher.
Wie aus den Dokumenten
(E1) Schreiben von R. Nicholson vom 21. September 1997,
(E2) Schreiben von L. Wille vom 26. August 1993,
(E3) eidesstattliche Erklärung von T. D'Ambra vom 14. Oktober 1997,
(E4) Erklärung von F. Laskovics vom 16. Oktober 1997 und
(E5) eidesstattliche Erklärung von H. Armstrong vom 14. Oktober 1997
hervorgehe, ergebe das in der Druckschrift (1) offenbarte Verfahren und insbesondere das Beispiel 5 ausweislich Messungen mittels HPL-Chromatographie nach der Umkristallisation ein Erzeugnis, das mit einem Reinheitsgrad von rund 96 % para-Isomere enthalte und rund 4 % unerwünschte meta-Isomere aufweise.
Somit seien die in der Druckschrift (1) offenbarten Verbindungen im Gegensatz zu den beanspruchten Verbindungen nicht "im wesentlichen rein". Daher sei der beanspruchte Gegenstand neu.
Unter Hinweis auf die neuere Entscheidung T 990/96 (ABl. EPA 1998, 489) brachte die Beschwerdeführerin vor, daß es sich bei ihrer Anmeldung um den in dieser Entscheidung angesprochenen Ausnahmefall von dem allgemeinen Grundsatz handle, daß eine bekannte chemische Verbindung der Öffentlichkeit in allen Reinheitsgraden zugänglich gemacht werde. Nach dieser Entscheidung könne eine solche Ausnahme gegeben sein, wenn nachgewiesen werde, daß aller Wahrscheinlichkeit nach alle Versuche, mittels herkömmlicher Reinigungsverfahren einen bestimmten Reinheitsgrad zu erzielen, fehlgeschlagen seien. Da das Gemisch aus meta- und para-Regioisomeren im vorliegenden Fall mit üblichen Verfahren nicht zu trennen sei, habe das para-Regioisomer nicht in der beanspruchten "im wesentlichen reinen" Form erzielt werden können. Somit seien die Voraussetzungen für das Vorliegen eines Ausnahmefalls entsprechend der angeführten Entscheidung erfüllt.
V. In einer Mitteilung der Kammer gemäß Artikel 11 (2) der Verfahrensordnung der Beschwerdekammern wurde die Beschwerdeführerin darüber unterrichtet, daß die Kammer in der mündlichen Verhandlung neben der Frage der Neuheit unter anderem auch auf die Artikel 123 (2) und 84 EPÜ eingehen könnte.
VI. In der mündlichen Verhandlung vor der Kammer am 12. Mai 2000 legte die Beschwerdeführerin zusätzlich die Hilfsanträge "0", "1A" bis "7A", "9A" bis "11A" und 12 vor. Anspruch 1 nach dem Hilfsantrag "0" unterscheidet sich von Anspruch 1 des Hauptantrags ausschließlich dadurch, daß der Ausdruck "andere Substituenten" aus der Liste der Alternativen für die Substituenten A, B und D in den allgemeinen Formeln gestrichen wurde. Anspruch 1 nach den Hilfsanträgen "1A" bis "7A" ist mit Anspruch 1 nach den Hilfsanträgen 1 bis 7 identisch, wobei nur der Ausdruck "im wesentlichen reine" zur Definition der Piperidinverbindungen und der Ausdruck "andere Substituenten" aus der Liste der Alternativen für die Substituenten A, B und D gestrichen wurden. Anspruch 1 nach den Hilfsanträgen "9A" bis "11A" unterscheidet sich von Anspruch 1 nach den Hilfsanträgen 9 bis 11 lediglich dadurch, daß der Ausdruck "im wesentlichen reine" zur Definition der einzelnen Piperidinverbindung gestrichen wurde. Anspruch 1 nach dem Hilfsantrag 12 unterscheidet sich von Anspruch 1 des Hilfsantrags 8 ausschließlich dadurch, daß der Ausdruck "im wesentlichen reine" zur Definition der einzelnen Piperidinverbindung gestrichen wurde und zusätzlich angegeben wird, daß die einzelne Piperidinverbindung durch das in den Beispielen 1 bis 7 der vorliegenden Anmeldung genannte spezielle mehrstufige Herstellungsverfahren erhältlich ist.
Außerdem legte die Beschwerdeführerin in der mündlichen Verhandlung vor der Kammer die neuen Druckschriften
(E7) US Pharmacopeia XXII, 1990, Seiten 1682 bis 1684, und
(E8) Pharmaceutical Technology, Dezember 1992, Seiten 48 bis 50, 52 und 54,
vor, die nachweisen sollten, daß der durch den Ausdruck "im wesentlichen rein" angegebene Reinheitsgrad zum allgemeinen Fachwissen im Bereich der Pharmazie gehöre. Die Druckschrift (E7) ersetzte die Druckschrift (E6), bei der es sich lediglich um eine andere Ausgabe gleichen technischen Inhalts handelte; allerdings war die erste Druckschrift vor dem Prioritätstag der vorliegenden Anmeldung veröffentlicht worden.
Darüber hinaus brachte die Beschwerdeführerin vor, daß die neuen Hilfsanträge einen etwaigen Einwand mangelnder Klarheit ausräumten, weil in allen Anträgen der Ausdruck "im wesentlichen reine" in Anspruch 1 gestrichen worden sei. Infolge dieser Änderung müßten die Piperidinverbindungen nach diesen Ansprüchen zu 100 % rein sein.
VII. Die Beschwerdeführerin beantragte die Aufhebung der angefochtenen Entscheidung und die Erteilung eines Patents auf der Grundlage eines der vierundzwanzig am 3. Juli 1998 bzw. am 12. Mai 2000 in der mündlichen Verhandlung schriftlich eingereichten Anträge in der am 12. Mai 2000 in der mündlichen Verhandlung bestimmten Reihenfolge.
VIII. Am Ende der mündlichen Verhandlung wurde die Entscheidung der Kammer verkündet.
Entscheidungsgründe
1. Die Beschwerde ist zulässig.
2. Bevor auf die materiellrechtliche Frage der Neuheit eingegangen wird - mangelnde Neuheit ist der in der angefochtenen Entscheidung genannte Grund für die Zurückweisung der vorliegenden Anmeldung -, ist zu prüfen, inwieweit die Ansprüche den Erfordernissen des Artikels 84 EPÜ genügen. Somit muß im Rahmen dieser Beschwerde zunächst geklärt werden, ob die Ansprüche 1 der einzelnen Anträge der Vorschrift entsprechen, daß der Gegenstand des Schutzbegehrens genau anzugeben ist.
Hauptantrag, Hilfsanträge "0", 1, "1A", 2, 3, 4, 5, "5A", 6, 7, 8, 9, "9A", 10 und 11
3.1 Artikel 84 in Verbindung mit Regel 29 (1) EPÜ sieht vor, daß die Patentansprüche deutlich sein müssen und den Gegenstand, für den Schutz begehrt wird, durch Angabe der technischen Merkmale der Erfindung anzugeben haben. Diese Erfordernisse sollen gewährleisten, daß die Öffentlichkeit nicht im unklaren darüber bleibt, welcher Gegenstand unter einen bestimmten Anspruch fällt. Aus diesem Grundsatz der Rechtssicherheit folgt nach Auffassung der Kammer, daß ein Anspruch nicht als deutlich im Sinne des Artikels 84 EPÜ gelten kann, wenn er diese Unterscheidung nicht eindeutig zuläßt (s. Entscheidungen G 2/88, ABl. EPA 1990, 93, Nr. 2.5 der Entscheidungsgründe; T 337/95, ABl. EPA 1996, 628, Nrn. 2.2 bis 2.5 der Entscheidungsgründe). Ein Anspruch, der ein unklares technisches Merkmal enthält, läßt den darunter fallenden Gegenstand somit nicht zweifelsfrei erkennen; dies gilt um so mehr, wenn das unklare Merkmal insofern wesentlich für die Erfindung ist, als es den beanspruchten Gegenstand vom Stand der Technik abgrenzen soll, so daß Unsicherheit darüber entsteht, ob der beanspruchte Gegenstand vorweggenommen ist oder nicht. Daher kann ein solcher Anspruch wegen mangelnder Rechtssicherheit nicht als deutlich im Sinne des Artikels 84 EPÜ gelten.
3.2 Im vorliegenden Fall ist Anspruch 1 nach dem Hauptantrag auf Piperidinverbindungen der dort angegebenen Formeln gerichtet, wobei diese Verbindungen "im wesentlichen rein" sein sollen. Die Beschwerdeführerin argumentierte, daß dieses Merkmal den höheren Reinheitsgrad der beanspruchten Piperidinverbindungen gegenüber den in der Vorveröffentlichung (1) offenbarten identischen Verbindungen widerspiegele und somit Neuheit verleihe. Dieses technische Merkmal ist besonders wesentlich für die Erfindung, weil es das einzige Merkmal ist, das den beanspruchten Gegenstand vom Stand der Technik abgrenzen soll.
Daher muß nach dem Grundsatz der Rechtssicherheit um so mehr die Bedeutung des technischen Merkmals "im wesentlichen rein" geklärt werden, damit zweifelsfrei festgestellt werden kann, für welchen "Gegenstand ... Schutz begehrt wird" (vgl. Art. 84 Satz 1 EPÜ). Dieses Merkmal ist also näher zu betrachten.
3.2.1 Im Zusammenhang mit Artikel 84 EPÜ ist die Bedeutung eines Begriffs oder Ausdrucks, der in einem Merkmal eines Anspruchs verwendet wird, insbesondere von seiner in Fachkreisen allgemein anerkannten Definition abhängig; dies geht aus Regel 35 (12) letzter Satz EPÜ hervor, wonach grundsätzlich nur solche technische Bezeichnungen ... zu verwenden sind, die auf dem Fachgebiet allgemein anerkannt sind.
3.2.1.1 Die Beschwerdeführerin hat keinerlei allgemein anwendbare quantitative Definition des Ausdrucks "im wesentlichen rein" als solchen angegeben, geschweige denn nachgewiesen, und der Kammer ist auch keine bekannt. Somit ist davon auszugehen, daß für dieses Merkmal keine allgemeingültige quantitative Definition existiert.
3.2.1.2 Die Beschwerdeführerin argumentierte, daß sich die Bedeutung des Ausdrucks "im wesentlichen rein" im vorliegenden Fall auf einen pharmazeutischen Reinheitsstandard beziehe, weil die beanspruchten Verbindungen als pharmazeutische Erzeugnisse verwendet werden sollten. Aus der Druckschrift (E7) - US Pharmacopeia - und insbesondere aus der Passage auf Seite 1682 zu den gewöhnlichen Verunreinigungen ("Ordinary Impurities") in pharmazeutischen Massenchemikalien leitete sie her, daß eine pharmazeutische Verbindung als "im wesentlichen rein" zu gelten habe, wenn der Grad der Verunreinigung unter 2 % liege, d. h. ein Reinheitsgrad von mindestens 98 % vorliege. In der mündlichen Verhandlung vor der Kammer brachte die Beschwerdeführerin zudem vor, daß die Lehre der Druckschrift (E7) zwar nur für ein bestimmtes Land verbindlich sei, in pharmazeutischen Fachkreisen aber allgemein anerkannt sei. Somit sei die Bedeutung des Merkmals "im wesentlichen rein" für den Fachmann deutlich, so daß sich der Umfang des Anspruchs 1 eindeutig bestimmen lasse.
Zum ersten enthält die von der Beschwerdeführerin zur Stützung ihres Vorbringens angeführte Druckschrift (E7) auf den Seiten 1682 bis 1684 einen umfangreichen Abschnitt mit dem Titel "Impurities in Official Articles"; die von der Beschwerdeführerin angeführte Passage ist davon nur ein kleiner Ausschnitt. In der Vorbemerkung zu diesem Abschnitt heißt es auf Seite 1682, linke Spalte, daß "das Konzept der Reinheit im Laufe der Zeit Veränderungen unterworfen und untrennbar mit den Entwicklungen im Bereich der analytischen Chemie verbunden ist. Kann eine zuvor als rein erachtete Substanz in mehr als einen Bestandteil zerlegt werden, so lassen sich die Begriffe Reinheit und Verunreinigung für diese Substanz neu definieren." Aus dieser Bemerkung in der Druckschrift (E7) folgt jedoch, daß die Reinheit als solche in der Pharmazie ein unzuverlässiges Merkmal ist, weil es sich dabei um eine recht unklare Vorstellung handelt, deren Bedeutung sich mit der Zeit und dem Fortschritt der analytischen Chemie verändert. Die Quantifizierung dieses nach der Druckschrift (E7) nicht konstanten Merkmals mit dem vagen Begriff "im wesentlichen" wie in Anspruch 1 ergibt ein undeutliches Merkmal, das keine eindeutige Bestimmung des Umfangs dieses Anspruchs zuläßt.
Zum zweiten wird die von der Beschwerdeführerin genannte Obergrenze von 2 % für "gewöhnliche Verunreinigungen" in pharmazeutischen Verbindungen gemäß der Druckschrift (E7), Seite 1682, unter "Ordinary Impurities", dritter Absatz, "als allgemeine Begrenzung für gewöhnliche Verunreinigungen" gewählt. Die Bezeichnung dieses Werts als "allgemeine Begrenzung" zeigt, daß er lediglich im allgemeinen und nicht unbedingt in jedem Einzelfall gilt. Damit wird das Argument der Beschwerdeführerin, die Obergrenze von 2 % für "gewöhnliche Verunreinigungen" stelle grundsätzlich in jedem Einzelfall einschließlich des vorliegenden Falles einen absoluten Grenzwert dar, durch die Fakten nicht gestützt.
Zum dritten heißt es in der Druckschrift (E7) auf Seite 1682 unter "Ordinary Impurities", vierter Absatz, daß "Begleitsubstanzen ... nicht den gewöhnlichen Verunreinigungen zuzurechnen sind", und auf derselben Seite unter "Concomitant Components" (Begleitsubstanzen), daß diese "Kennzeichen zahlreicher pharmazeutischer Massenchemikalien sind und nicht als Verunreinigungen im Sinne der Pharmakopöe gelten". Als nicht erschöpfende Beispiele für Begleitsubstanzen werden geometrische und optische Isomere genannt. Dieses Konzept ist von besonderer Bedeutung für den vorliegenden Fall, weil die Bestimmung des Reinheitsgrads durch das Merkmal "im wesentlichen rein" in Anspruch 1 das Vorhandensein eines bestimmten Isomers - des meta-Regioisomers - ausschließen soll und dadurch angeblich die beanspruchten Verbindungen von den Verbindungen der Vorveröffentlichung (1) abgrenzt. Nach dem Konzept in der Druckschrift (E7) ist dieses meta-Regioisomer aber eine Begleitsubstanz der beanspruchten Verbindungen und gilt nicht als deren "gewöhnliche Verunreinigung". Die meta-Isomer-Verbindungen verunreinigen somit zwar die beanspruchten Verbindungen, fallen aber nicht unter die Obergrenze von 2 % für "gewöhnliche Verunreinigungen", sondern kommen vielmehr noch zu diesem Wert hinzu. Damit wird die Folgerung der Beschwerdeführerin, ein Anteil von 2 % an "gewöhnlichen Verunreinigungen" in den beanspruchten Verbindungen bedeute zwangsläufig einen Reinheitsgrad von 98 %, durch die Fakten nicht gestützt.
Aus allen diesen Gründen rechtfertigt die Druckschrift (E7) weder die Behauptung der Beschwerdeführerin, das Merkmal "im wesentlichen rein" in Anspruch 1 lege im vorliegenden Fall eine Reinheit der beanspruchten Verbindung von mindestens 98 % fest, noch ihre Behauptung, diese Definition sei auf dem Gebiet der Pharmazie allgemein anerkannt.
3.2.1.3 Die eidesstattliche Erklärung (E3) und die Erklärung (E4), in denen es um die in Fachkreisen allgemein anerkannte Bedeutung des Ausdrucks "im wesentlichen rein" geht, enthalten keine über die Druckschrift (E7) hinausgehenden Informationen, da sie diese Druckschrift diesbezüglich entweder wörtlich zitieren oder explizit auf sie Bezug nehmen. Somit können sie die Argumente der Beschwerdeführerin nicht weiter stützen.
3.2.2 Die Beschwerdeführerin verwies zur Klärung des undeutlichen Ausdrucks "im wesentlichen rein", der den Reinheitsgrad der beanspruchten Verbindungen definieren soll, nicht auf die Beschreibung der vorliegenden Anmeldung, weil die Beschreibung nichts über die Quantifizierung dieses Reinheitsgrads aussagt und somit keinerlei Hinweis liefert, wie sich die Bedeutung dieses undeutlichen Ausdrucks ermitteln läßt. Aus diesem Grund muß die Kammer im vorliegenden Fall nicht prüfen, ob der Fachmann im Zusammenhang mit Artikel 84 EPÜ die mangelnde Klarheit des Anspruchs durch Zuziehung der Beschreibung ausräumen könnte.
3.3 Nach der Beweislage existiert auf dem betreffenden Fachgebiet also keine eindeutige, allgemein anerkannte Bedeutung des Merkmals "im wesentlichen rein", so daß dieses Merkmal den tatsächlichen Gegenstand des Anspruchs nicht zweifelsfrei erkennen läßt. Dieses unklare Merkmal ist aber das einzige Merkmal, das den beanspruchten Gegenstand von der Vorveröffentlichung (1) unterscheiden soll. Angesichts dieses Mangels an Rechtssicherheit ist Anspruch 1 nach dem Hauptantrag nach Auffassung der Kammer nicht deutlich.
3.4 Da über einen Antrag nur als Ganzes entschieden werden kann, müssen die weiteren Ansprüche dieses Antrags nicht mehr geprüft werden. Angesichts dieser Sachlage ist die Beschwerde insoweit zurückzuweisen, als sie den Hauptantrag der Beschwerdeführerin betrifft, weil Anspruch 1 dieses Antrags gegen Artikel 84 EPÜ verstößt.
3.5 Die Hilfsanträge "0", 1, 2, 3, 4, 5, 6, 7, 8, 9, 10 und 11 enthalten in Anspruch 1 jeweils das Merkmal "im wesentlichen rein", das die Piperidinverbindungen definieren soll. Die unter den Nummern 3.1 bis 3.3 angeführten Überlegungen zur Klarheit in bezug auf den Hauptantrag basieren auf dem Vorhandensein dieses Merkmals in Anspruch 1. Somit gilt die unter Nummer 3.4 gezogene Schlußfolgerung bezüglich des Hauptantrags auch für die Hilfsanträge "0" und 1 bis 11, d. h., der eigentliche Gegenstand ihrer Ansprüche 1 ist nicht klar.
Angesichts dieser Sachlage sind auch die Hilfsanträge "0", 1, 2, 3, 4, 5, 6, 7, 8, 9, 10 und 11 der Beschwerdeführerin wegen mangelnder Klarheit nach Artikel 84 EPÜ nicht gewährbar.
3.6 Anspruch 1 des Hilfsantrags "1A" unterscheidet sich von Anspruch 1 des Hauptantrags im wesentlichen dadurch, daß zur Definition der beanspruchten Piperidinverbindungen anstelle des Merkmals "im wesentlichen rein" das Merkmal "im wesentlichen frei von" dem entsprechenden meta-Regioisomer verwendet wurde. Anstatt also wie in Anspruch 1 des Hauptantrags den Reinheitsgrad der beanspruchten Verbindungen anzugeben, definiert die Beschwerdeführerin mit dieser Änderung nach dem Hilfsantrag "1A" genau umgekehrt deren Verunreinigungsgrad durch eine bestimmte isomere Verbindung.
Allerdings ist auch dieses Merkmal insofern wesentlich für die Erfindung, als es den beanspruchten Gegenstand von der Vorveröffentlichung (1) unterscheiden soll. Die Beschwerdeführerin hat keine im vorliegenden Zusammenhang allgemein anerkannte quantitative Definition für den Ausdruck "im wesentlichen frei von" vorgelegt, und der Kammer ist auch keine solche Definition bekannt. In Ermangelung einer zuverlässigen quantitativen Definition läßt dieses Merkmal den unter den Anspruch 1 fallenden Gegenstand nicht zweifelsfrei erkennen, so daß Unsicherheit darüber entsteht, ob der beanspruchte Gegenstand im Stand der Technik vorweggenommen ist oder nicht. Somit ist der Anspruch 1 wegen mangelnder Rechtssicherheit nicht deutlich im Sinne des Artikels 84 EPÜ, weshalb auch der Hilfsantrag "1A" nicht gewährbar ist.
3.7 Die Hilfsanträge "5A" und "9A" enthalten in ihrem jeweiligen Anspruch 1 das Merkmal "im wesentlichen frei von" dem entsprechenden meta-Regioisomer, das die Piperidinverbindungen definieren soll. Da die unter Nummer 3.6 angeführten Überlegungen zur Klarheit in bezug auf den Hilfsantrag "1A" auf dem Vorhandensein dieses Merkmals in Anspruch 1 basieren, gilt die dort gezogene Schlußfolgerung zwangsläufig auch für diese Hilfsanträge, d. h., der eigentliche Gegenstand ihres Anspruchs 1 ist nicht klar.
Angesichts dieser Sachlage sind auch die Hilfsanträge "5A" und "9A" der Beschwerdeführerin wegen mangelnder Klarheit nach Artikel 84 EPÜ nicht gewährbar.
Hilfsanträge "2A", "3A", "4A", "6A", "7A", "10A" und "11A"
4.1 Anspruch 1 nach dem Hilfsantrag "2A" unterscheidet sich vom ursprünglichen Anspruch 1, d. h. von Anspruch 1 nach dem Hauptantrag, unter anderem dadurch, daß das Merkmal "im wesentlichen rein" zur Definition der Piperidinverbindungen gestrichen wurde. Im Falle von Änderungen muß die Kammer prüfen, ob diese mit Artikel 123 (2) EPÜ vereinbar sind, d. h., ob die Anmeldung nicht in der Weise geändert wird, daß ihr Gegenstand über den Inhalt der Anmeldung in der ursprünglich eingereichten Fassung hinausgeht.
4.2 Bei der Ermittlung, ob eine Änderung gegen Artikel 123 (2) EPÜ verstößt, ist zu prüfen, ob technische Informationen hinzugefügt wurden, die ein Fachmann nicht objektiv und eindeutig aus der Anmeldung in der ursprünglich eingereichten Fassung abgeleitet hätte (s. Entscheidungen T 288/92, Nr. 3.1 der Entscheidungsgründe; T 680/93, Nr. 2 der Entscheidungsgründe; beide im ABl. EPA nicht veröffentlicht). So ist es nach der ständigen Rechtsprechung der Beschwerdekammern nicht zulässig, aus einem unabhängigen Anspruch ein Merkmal zu streichen, das in der ursprünglich eingereichten Anmeldung als wesentliches Erfindungsmerkmal hingestellt worden ist. Eine solche Änderung geht über den Inhalt der Anmeldung in der ursprünglich eingereichten Fassung hinaus und verstößt damit gegen Artikel 123 (2) EPÜ (s. Entscheidung T 260/85, ABl. EPA 1989, 105, Nr. 12 der Entscheidungsgründe).
4.3 Im vorliegenden Fall wurde Anspruch 1 nach dem Hilfsantrag "2A" geändert, indem das Merkmal gestrichen wurde, wonach die beanspruchten Piperidinverbindungen "im wesentlichen rein" sein müssen. Als Ergebnis dieser Änderung fallen unter diesen Anspruch Piperidinverbindungen der genannten Formeln mit beliebigem Reinheitsgrad. Der Ausdruck "im wesentlichen rein" ist zwar - wie unter Nummer 3 dargelegt - unklar, aber er ist dennoch ein technisches Merkmal, das den Reinheitsgrad der Piperidinverbindungen einschränken soll.
4.3.1 Zweifelsohne wird in der ursprünglichen Anmeldung als Ganzem und insbesondere in den ursprünglichen Ansprüchen 1 bis 9 sowie auf Seite 6, Zeile 11, Seite 9, Zeile 15, Seite 10, Zeile 23 und Seite 11, Zeile 22 in der ursprünglichen Fassung eindeutig verlangt, daß die Piperidinverbindungen "im wesentlichen rein" sind. Die Notwendigkeit dieses Merkmals ergibt sich aus dem auf Seite 2, Zeile 10 bis Seite 5, letzte Zeile der Anmeldung in der ursprünglich eingereichten Fassung gewürdigten Stand der Technik, wonach die beanspruchten Piperidinverbindungen als solche bereits aus diesem Stand der Technik bekannt sind, wenn auch nach Auffassung der Beschwerdeführerin nicht in der im wesentlichen reinen Form. Somit ist das Merkmal "im wesentlichen rein", das die Piperidinverbindungen der Anmeldung in der ursprünglich eingereichten Fassung definieren soll, auch ohne nähere Angaben insofern wesentlich für die Erfindung, als dieses Merkmal gezielt der Abgrenzung des beanspruchten Gegenstands vom Stand der Technik dient. Die Beschwerdeführerin hat im Beschwerdeverfahren betont, daß dieses Merkmal für die Erfindung wesentlich sei, weil es den höheren Reinheitsgrad der beanspruchten Verbindungen gegenüber den vorbekannten Verbindungen widerspiegele und somit Neuheit verleihe.
4.3.2 In der Anmeldung in der ursprünglich eingereichten Fassung wird das Merkmal "im wesentlichen rein", das die Piperidinverbindungen definieren soll, somit als einziges wesentliches Merkmal der Erfindung dargestellt. Die Streichung dieses wesentlichen Merkmals in dem nach dem Hilfsantrag "2A" geänderten unabhängigen Anspruch 1 ist daher eine unzulässige Verallgemeinerung, weil dieser geänderte Gegenstand durch die Ausdehnung der Reinheit der Piperidinverbindungen auf einen beliebigen Reinheitsgrad im Widerspruch zum Inhalt der Anmeldung in der ursprünglich eingereichten Fassung steht.
4.3.3 Aufgrund dieser Änderung erhält der Fachmann nach Auffassung der Kammer Angaben, die nicht direkt und eindeutig aus der Anmeldung in der ursprünglich eingereichten Fassung hervorgehen.
4.4 Die Kammer gelangt zu dem Schluß, daß Anspruch 1 nach dem Hilfsantrag "2A" den beanspruchten Gegenstand über den Inhalt der Anmeldung in der ursprünglich eingereichten Fassung hinaus erweitert und somit gegen Artikel 123 (2) EPÜ verstößt. Angesichts dieser Sachlage ist der Hilfsantrag "2A" der Beschwerdeführerin nicht gewährbar.
4.5 In den Hilfsanträgen "3A", "4A", "6A", "7A", "10A" und "11A" wurde in Anspruch 1 jeweils das Merkmal "im wesentlichen rein" zur Definition der Piperidinverbindungen gestrichen. Die unter den Nummern 4.1 bis 4.3 angeführten Überlegungen zu dieser Änderung in bezug auf den Hilfsantrag "2A" basieren auf dem Fehlen dieses Merkmals in Anspruch 1. Somit liegt der unter Nummer 4.4 dargelegte Mangel auch für diese Hilfsanträge vor.
Angesichts dieser Sachlage werden auch die Hilfsanträge "3A", "4A", "6A", "7A", "10A" und "11A" der Beschwerdeführerin zurückgewiesen, weil sie gegen Artikel 123 (2) EPÜ verstoßen.
Hilfsantrag 12
Der Gegenstand des Anspruchs 1 basiert auf den Ansprüchen 8 und 9 der Anmeldung in der ursprünglich eingereichten Fassung. Die Begrenzung der Piperidinverbindungen auf die Einzelverbindung 4-[4-[4-(Hydroxydiphenylmethyl)-1-piperidinyl]-1-hydroxybutyl]-α,α-dimethylphenylessigsäure wird durch den ursprünglichen Anspruch 7 gestützt. Die neu hinzugefügte Passage in Anspruch 1, in der zusätzlich angegeben ist, daß die einzelne Piperidinverbindung durch ein spezielles mehrstufiges Herstellungsverfahren erhältlich ist, wird durch die Beispiele 1 bis 7 der Anmeldung in der ursprünglich eingereichten Fassung gestützt.
Die Streichung des Merkmals "im wesentlichen rein" zur Definition der einzelnen Piperidinverbindung in Anspruch 1 führt im vorliegenden Fall aber nicht dazu, daß der Anspruch diese Verbindung in jedem beliebigen Reinheitsgrad umfaßt, weil dieser Fall ganz anders gelagert ist als der unter Nummer 4 besprochene. So beschränkt die neu hinzugefügte Product-by-process-Passage des Anspruchs 1, wonach die Einzelverbindung durch ein spezielles mehrstufiges Herstellungsverfahren erhältlich ist, den Gegenstand dieses Anspruchs zwangsläufig auf eine hochreine Verbindung, weil dieses mehrstufige Herstellungsverfahren eine Reinigungsstufe vorsieht, in der mittels fraktionierter Kristallisation ein reines para-isomeres Zwischenprodukt erzielt wird (Stufe 2), und zusätzlich eine abschließende Reinigungsstufe, in der ein Trennverfahren mittels Flüssigchromatographie mit einem bestimmten Adsorbens und einem bestimmten Elutionsmittel eingesetzt wird (Schritt 7). Unter den besonderen Umständen dieses Falls scheint das Merkmal "im wesentlichen rein" als zwangsläufiges Ergebnis des angegebenen Herstellungsverfahrens somit durch dieses in Anspruch 1 nach dem Hilfsantrag 12 festgelegte Herstellungsverfahren implizit definiert zu sein. Nach der ständigen Rechtsprechung der Beschwerdekammern (s. Entscheidung T 917/94, Nr. 1.1 der Entscheidungsgründe, im ABl. EPA nicht veröffentlicht) ergibt sich aus der Streichung eines überflüssigen Merkmals - ob dieses nun wesentlich ist oder nicht - kein Gegenstand, der über den Inhalt der Anmeldung in der eingereichten Fassung hinausgeht.
Aus diesen Gründen genügt der Anspruch 1 nach dem Hilfsantrag 12 den Erfordernissen des Artikels 123 (2) EPÜ.
6. Neuheit
6.1 Es gibt im Grunde zwei verschiedene Arten von Ansprüchen, nämlich Ansprüche auf Gegenstände, z. B. ein Erzeugnis, und Ansprüche auf Tätigkeiten, z. B. Verfahren zur Herstellung eines Erzeugnisses (s. Entscheidungen G 2/88, ABl. EPA 1990, 93, Nr. 2.2 der Entscheidungsgründe; T 150/82, ABl. EPA 1984, 309, Nr. 7 der Entscheidungsgründe). Im vorliegenden Fall ist der Anspruch 1 auf eine pharmazeutische Zubereitung gerichtet; dabei handelt es sich um ein Erzeugnis, das der Kategorie "Ansprüche auf Gegenstände" zuzurechnen ist. Die in dieser pharmazeutischen Zubereitung enthaltene einzelne Piperidinverbindung wird durch ihre chemische Struktur unter Angabe ihrer chemischen Formel definiert und zusätzlich durch ihr Herstellungsverfahren unter Angabe mehrerer aufeinanderfolgender Stufen dieses Herstellungsverfahrens.
Obwohl diese Verbindung auch durch ihr Herstellungsverfahren gekennzeichnet ist, gehört der betreffende Anspruch zur Kategorie der auf einen Gegenstand, d. h. auf ein Erzeugnis, gerichteten Ansprüche. Ein solcher Anspruch mit einer "Product-by-process"-Passage wird nach der Rechtsprechung der Beschwerdekammern als ein Anspruch ausgelegt, der auf das Erzeugnis als solches gerichtet ist, weil der Verweis auf das Herstellungsverfahren nur dem Zweck dient, den Gegenstand des Schutzbegehrens festzulegen, der gleichwohl das Erzeugnis als solches ist (s. Entscheidungen T 411/89 vom 20. Dezember 1990, Nr. 2.2 der Entscheidungsgründe, im ABl. EPA nicht veröffentlicht; T 19/90, ABl. EPA 1990, 476, Nr. 4.9.2 der Entscheidungsgründe). Damit ist der Anspruch 1 im vorliegenden Fall unabhängig von seiner Formulierung ein Erzeugnisanspruch, der nach wie vor auf die pharmazeutische Zubereitung als solche gerichtet ist.
6.2 Nach der ständigen Rechtsprechung der Beschwerdekammern ist ein Anspruch für ein chemisches Erzeugnis, das durch sein Herstellungsverfahren gekennzeichnet ist, nur dann gewährbar, wenn das Erzeugnis als solches die Voraussetzungen für die Patentierbarkeit erfüllt d. h. insbesondere neu und erfinderisch ist. Zur Neuheitsabgrenzung muß die Abwandlung des Herstellungsverfahrens zu anderen Erzeugnissen führen, wobei beispielsweise deutliche Unterschiede in den Eigenschaften des Erzeugnisses auftreten müssen (s. Entscheidung T 205/83, ABl. EPA 1985, 363, Nrn. 3.1 und 3.2.1 der Entscheidungsgründe).
In Anwendung dieses Grundsatzes auf den vorliegenden Fall brachte die Beschwerdeführerin vor, daß die deutlich unterschiedliche Eigenschaft des Erzeugnisses der Reinheitsgrad sei. Dabei verwies sie auf die Verfahrenspassage des Erzeugnisanspruchs 1, die den beanspruchten Gegenstand auf eine pharmazeutische Zubereitung mit einer hochreinen einzelnen Piperidinverbindung der angegebenen Formel beschränke. Infolge der fraktionierten Kristallisation zur Gewinnung eines reinen para-isomeren Zwischenprodukts in Stufe 2 und der Reinigung mittels Flüssigchromatographie in der abschließenden Stufe 7 des Verfahrens zur Herstellung der einzelnen Piperidinverbindung gemäß der Verfahrenspassage des Erzeugnisanspruchs 1 weise diese Verbindung einen besonders hohen Reinheitsgrad von mindestens 98 % und sogar über 99,5 % auf (vgl. Beschwerdebegründung, Punkte 2.2.5, 2.2.13 und 2.2.14 sowie Druckschrift (E4), Punkt 10). Insbesondere sei die Verbindung rein para-isomer, weil die unerwünschten meta-isomeren Nebenprodukte entfernt worden seien. Die Beschwerdeführerin brachte vor, daß der besonders hohe Reinheitsgrad dieser einzelnen Piperidinverbindung, der das zwangsläufige Ergebnis ihres Herstellungsverfahrens gemäß Anspruch 1 sei, die beanspruchten pharmazeutischen Zubereitungen von denen aus dem Stand der Technik unterscheide und ihnen damit Neuheit verleihe.
6.3 Die Druckschrift (1) offenbart in Anspruch 10 eine pharmazeutische Zubereitung aus einem pharmazeutisch brauchbaren Träger und einer antiallergisch wirksamen Menge einer Piperidinverbindung, bei der es sich gemäß Anspruch 8 und Spalte 3, Zeilen 57 und 58, um 4-[4-[4-(Hydroxydiphenylmethyl)-1-piperidinyl]-1-hydroxybutyl]-α,α-dimethylphenylessigsäure handelt, d. h. um die einzelne Piperidinverbindung der im vorliegenden Anspruch 1 angegebenen Formel. Nach den Beispielen 3 und 5 der Druckschrift (1) wird diese einzelne Piperidinverbindung durch mehrfache Umkristallisation mit einem bestimmten Lösungsmittelgemisch gereinigt (vgl. Spalte 13, Zeile 35; Spalte 14, Zeilen 27 und 28), ohne daß jedoch ein bestimmter Reinheitsgrad angegeben ist. Unter Berufung auf Versuchsdaten brachte die Beschwerdeführerin vor, daß die Reinheit einer einzelnen Piperidinverbindung, die entsprechend diesen Beispielen aus der Druckschrift (1) hergestellt werde, nicht über 96,3 % liege (vgl. Beschwerdebegründung, Punkte 2.2.11, 2.2.12 und 2.2.14 sowie Druckschriften (E2) und (E4), Punkt 9).
Zusammenfassend ist festzustellen, daß der besonders hohe Reinheitsgrad der in der beanspruchten pharmazeutischen Zubereitung enthaltenen einzelnen Piperidinverbindung von mindestens 98 %, wie von der Beschwerdeführerin betont, das einzige Merkmal des vorliegenden Anspruchs 1 ist, das in der Vorveröffentlichung (1) weder explizit offenbart noch implizit erzielt wird.
Somit ist zu prüfen, ob dieses Merkmal - der unterschiedliche chemische Reinheitsgrad - dem beanspruchten Gegenstand Neuheit gegenüber der Druckschrift (1) verleiht oder nicht.
6.4 Nach der Rechtsprechung der Beschwerdekammern kann der Reinheitsgrad einer niedermolekularen chemischen Verbindung in der Regel keine Neuheit verleihen, weil herkömmliche Reinigungsverfahren zum allgemeinen Fachwissen des Fachmanns gehören. Somit macht ein Dokument, das eine solche chemische Verbindung offenbart, diese in der Regel in allen vom Fachmann gewünschten Reinheitsgraden im Sinne von Artikel 54 EPÜ der Öffentlichkeit zugänglich (s. Entscheidung T 990/96, a.a.O., Nr. 7 der Entscheidungsgründe).
6.4.1 Nach Auffassung der Beschwerdeführerin gilt diese allgemeine Regel im vorliegenden Fall nicht, weil dieser die in der betreffenden Entscheidung angeführten Erfordernisse für das Vorliegen eines Ausnahmefalls erfülle, der einen anderen Schluß zulasse. Ein solcher Ausnahmefall sei gegeben, wenn alle Versuche, mittels herkömmlicher Reinigungsverfahren einen bestimmten Reinheitsgrad zu erzielen, fehlgeschlagen seien (s. Entscheidung T 990/96, a.a.O., Nr. 8 der Entscheidungsgründe).
Im vorliegenden Fall seien die Versuche fehlgeschlagen, mittels herkömmlicher Reinigungsverfahren den besonders hohen Reinheitsgrad der in Anspruch 1 angegebenen einzelnen Piperidinverbindung zu erzielen. Das Ergebnis des aus der Druckschrift (1) bekannten Herstellungsverfahrens sei ein Gemisch aus meta- und para-Regioisomeren, das mit üblichen Verfahren nicht zu trennen sei; somit sei es nicht möglich, die gewünschte einzelne Piperidinverbindung - das para-Regioisomer - durch ein herkömmliches Reinigungsverfahren in der beanspruchten hochreinen Form zu erhalten. Zur Stützung ihres Vorbringens wies die Beschwerdeführerin auf die Anmeldung in der ursprünglich eingereichten Fassung, Seite 6, erster Absatz, letzter Satz, und die Druckschrift (E3), Punkt 15, hin, worin es jeweils heiße, daß "es nicht möglich war, die jeweiligen regio-Isomere in den einzelnen Gemischen in im wesentlichen reiner Form zu erhalten".
6.4.2 Die Beweislast für den Nachweis, daß ein solcher Ausnahmefall vorliegt, trägt aber der Beteiligte, der dies behauptet, d. h. die Beschwerdeführerin (s. Entscheidung T 990/96, a.a.O., Nr. 8 der Entscheidungsgründe). Die Anmeldung in der ursprünglich eingereichten Fassung und die von der Beschwerdeführerin angeführte Druckschrift (E3) geben lediglich die Meinung ein und desselben Verfassers - des Erfinders - wieder. Da zusätzliche Beweise fehlen, hat die Beschwerdeführerin ihre Beweispflicht nicht erfüllt, so daß die Kammer ihre diesbezüglichen Behauptungen nicht gelten lassen kann.
6.4.3 Außerdem wird die Behauptung der Beschwerdeführerin, es sei nicht möglich, das in der Druckschrift (1) offenbarte Gemisch aus meta- und para-Regioisomeren mittels herkömmlicher Reinigungsverfahren zu trennen, um die einzelne Piperidinverbindung in der beanspruchten hochreinen Form zu erhalten, durch die Sachlage widerlegt. Bezüglich dieses bekannten Gemischs aus meta- und para-Regioisomeren heißt es auf Seite 6, erster Absatz, erster Satz der Anmeldung in der ursprünglich eingereichten Fassung, daß sich das "Gemisch aus regio-Isomeren durch HPLC-Versuche analysieren läßt, eine praktische Trennung zum Erhalt im wesentlichen reiner regio-Isomere im Grammbereich aber nicht erzielt wurde", und in Punkt 9 der Druckschrift (E4), daß dieses Gemisch "mittels HPLC analysiert wurde, wobei festgestellt wurde, daß es 3,7 % des entsprechenden meta-Isomers enthielt". Daraus geht hervor, daß es mittels HPLC tatsächlich möglich ist, dieses aus der Druckschrift (1) bekannte Gemisch aus meta- und para-Regioisomeren in die einzelnen reinen regio-Isomere aufzuspalten und signifikante, wenn auch kleine Mengen des im wesentlichen reinen para-Regioisomers - der im vorliegenden Anspruch 1 definierten einzelnen Piperidinverbindung - zu erhalten. Die Hochleistungsflüssigchromatographie (HPLC) ist ein Standardverfahren zur Reinigung niedermolekularer chemischer Verbindungen, das zum allgemeinen Fachwissen gehört und dem Fachmann am Prioritätstag der vorliegenden Anmeldung zugänglich war. Die Beschwerdeführerin hat in der mündlichen Verhandlung vor der Kammer auch eingeräumt, daß die HPLC aus dem Stand der Technik bekannt sei.
Damit ist der in Anspruch 1 angegebene besonders hohe Reinheitsgrad der einzelnen Piperidinverbindung durch die Behandlung des in der Druckschrift (1) offenbarten Gemischs aus meta- und para-Regioisomeren mit einem herkömmlichen Reinigungsverfahren erfolgreich erzielt worden, so daß der in der Entscheidung T 990/96 angeführte Ausnahmefall hier nicht vorliegt, weil es dafür des Beweises bedurft hätte, daß dieser Reinheitsgrad mit herkömmlichen Reinigungsverfahren nicht zu erzielen ist.
6.5 Daher gilt die unter Nummer 6.4 angeführte allgemeine Regel, wonach die Druckschrift (1) die Verbindung in allen gewünschten Reinigungsgraden der Öffentlichkeit zugänglich macht.
Aus diesen Gründen ist der im Erzeugnisanspruch 1 implizit, d. h. durch Angabe des Herstellungsverfahrens, definierte besonders hohe Reinheitsgrad der einzelnen Piperidinverbindung kein Merkmal, das dem beanspruchten Gegenstand Neuheit gegenüber dem Stand der Technik verleiht.
6.6 Daher gelangt die Kammer zu dem Schluß, daß die Druckschrift (1) den Gegenstand des Anspruchs 1 nach dem Hilfsantrag 12 vorwegnimmt.
6.7 Angesichts dieser Sachlage wird auch der Hilfsantrag 12 der Beschwerdeführerin wegen mangelnder Neuheit nach Artikel 54 (2) EPÜ zurückgewiesen.
Entscheidungsformel
Aus diesen Gründen wird entschieden:
Die Beschwerde wird zurückgewiesen.