BOARDS OF APPEAL
Decisions of the Technical Boards of Appeal
Decision of Technical Board of Appeal 3.3.1 dated 12 February 1998 - T 990/96 - 3.3.1
(Language of the proceedings)
Composition of the board:
Chairman: | A. J. Nuss |
Members: | P. Krasa |
S. C. Perryman |
Applicant: Novartis AG
Headword: Erythro-compounds/NOVARTIS
Article: 54 EPC
Keyword: "Novelty (no)" - "Purity of chemical compound no new element"
Headnote
I. It is common practice for a person skilled in the art of preparative organic chemistry to (further) purify a compound obtained in a particular chemical manufacturing process according to the prevailing needs and requirements. Since, as a rule, conventional methods for the purification of low molecular organic compounds are within his common general knowledge, a document disclosing a low molecular chemical compound and its manufacture makes normally available this compound to the public in the sense of Article 54 EPC in all desired grades of purity (No. 7 of the reasons for the decision).
II. If a party alleges that this general rule would not be applicable in a particular case, then the burden of proving the existence of such an exceptional situation, e.g. of a situation where all prior attempts to achieve a particular degree of purity by conventional purification processes have failed, lies with the party who alleges such a situation (No. 8 of the reasons for the decision).
Summary of facts and submissions
I. This appeal lies from the Examining Division's decision refusing the European patent application No. 93 106 005.7, publication No. 0 562 643, relating to 7-substituted-hept-6-enoic and -heptanoic acids and derivatives thereof, for not complying with the requirements of Articles 52(1), 54 and 56 EPC.
II. The stated grounds of refusal in the decision under appeal were that the chemical compounds then claimed according to a main and two auxiliary requests and comprising erythro-isomers in a diastereomeric purity of 99.5 per cent were not novel in view of documents
(1) Kau-Ming Chen et al., Tetrahedron Letters, Vol. 28, No. 2, 1987 and
(2) Kau-Ming Chen et al., Chemistry Letters, pages 1923 to 1926, 1987.
and were obvious for a skilled person in view of these two citations and of document
(3) US-A-4 650 890,
since no surprising effect had been disclosed for them.
III. The appellant (the applicant) submitted two new sets of five claims each with the statement of grounds of appeal. In response to objections raised by the Board, he submitted during oral proceedings, which were held on 12 February 1998, a single claim reading:
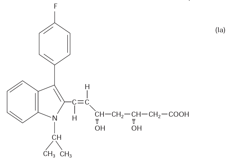
"A compound for use as a pharmaceutical of formula Ia

in racemic or enantiomeric form; in free acid, salt, ester or δ-lactone, i.e. internal ester, form, whereby the proportion of erythro to threo isomer is 99.5:0.5 or higher."
IV. The Appellant conceded that the claimed compounds as such were known from the literature, e.g. from citations (1), (2), and (3), but argued that they were not known in the claimed state of purity, i.e. containing only 0.5% or less of the threo-isomer (see point 1.2 of the statement of grounds for appeal). He further conceded that various methods for purifying compounds belonging to the same class as the compounds (Ia) were disclosed in the state of the art, e.g. in document (3), which also confirmed that these compounds can be used in the treatment of atherosclerosis, and that essentially all this information could also be obtained from document
(4) US-A-4 739 073,
but he submitted that the available purification methods had apparently never succeeded in lowering the amount of the threo contaminant below about 1-2% (see point 2.2 of the statement of grounds for appeal). In support of this submission he relied on document
(5) US-A-5 354 772.
He concluded therefrom that the subject-matter of the claim, which was readily obtainable on an industrial scale, must be novel and inventive.
V. The Appellant requested that the decision under appeal be set aside and a patent be granted on the basis of the claim submitted during oral proceedings. At the end of the oral proceedings the chairman announced the Board's decision to dismiss the appeal.
Reasons for the decision
1. The appeal is admissible.
2. The Board is satisfied that the new claim complies with the requirements of Articles 84 and 123(2) EPC.
3. The issue to be decided is that of the novelty of the claimed subject-matter, i.e. of (E)-erythro-3,5-dihydroxy-7-[3'-(4"-fluorophenyl)-1'-(1"-methylethyl)-indole-2'-yl]-6-heptenoic acid (hereinafter this compound will be designated as erythro acid), of its δ-lactone, and of the salts and the esters of this acid, for use as a pharmaceutical (hereinafter the group of compounds covered by the claim of the application in suit will be designated as erythro compounds).
4. The Appellant having put forward that basically the same information is provided in both documents (3) and (4), it is sufficient for the present decision to deal with the latter. This citation discloses the preparation of the (racemic) erythro acid methyl ester, i.e. of methyl (±)-(E)-erythro-3,5-dihydroxy-7-[3'-(4"-fluorophenyl)-1'-(1"-methylethyl)-indole-2'-yl]-6-heptenoate without specifying its purity. It also discloses, as recognised by the Appellant, that this compound is useful in the treatment of atherosclerosis (see example 5, column 43, line 65 to column 48, line 68, and column 2, lines 15 to 20, and also above point IV). Thus, document (4) discloses the methyl ester of the erythro acid also for use as a pharmaceutical so that such use cannot be relied on as a novel technical feature pursuant to saving clause of Article 54(5) EPC. Therefore, the only feature of the subject-matter of the claim of the application in suit, which is not literally disclosed in document (4) is the erythro: threo ratio of 99.5 : 0.5 or higher.
5. Thus, it has to be examined whether this feature, which in fact represents a specific degree of chemical purity (in particular diastereomeric purity) constitutes a "new element" in relation to this disclosure in the sense of decisions T 12/81 (OJ EPO 1982, 296, point 14.2 of the reasons for the decision) and T 12/90 (of 23 August 1990, not published in the OJ EPO, point 2.6 of the reasons for the decision) imparting novelty to the claimed subject-matter over citation (4).
6. It is common general knowledge that any chemical compound obtained by a chemical reaction will normally contain impurities for various reasons, such as side-reactions, incomplete conversion of starting materials, etc., and that it is not possible for thermodynamical reasons to obtain a compound, which is - in the strict sense - completely pure, i.e. totally free of any impurity.
7. It is, therefore, common practice for a person skilled in the art of preparative organic chemistry to (further) purify a compound obtained in a particular chemical manufacturing process according to the prevailing needs and requirements, e.g. in samples for analytical purposes. Conventional methods for the purification of low molecular organic reaction products such as recrystallisation, distillation, chromatography, etc., which normally can be successfully applied in purification steps, are within the common general knowledge of those skilled in the art. It follows that, in general, a document disclosing a low molecular chemical compound and its manufacture makes available this compound to the public in the sense of Article 54 EPC in all grades of purity as desired by a person skilled in the art.
8. The Appellant alleged that this general rule would not be applicable in the present case. The Board accepts that there may exist exceptional situations, which could justify a different conclusion. One such exceptional situation could be - as already the Examining Division pointed out (see point 4 of the reasons of the decision under appeal) - a situation where it was proved on the balance of probability that all prior attempts to achieve a particular degree of purity by conventional purification processes had failed. However, the burden of proving the existence of such an extraordinary situation lies with the party alleging its existence.
9. The Board is not satisfied that the Appellant has discharged this burden.
9.1 No evidence is available that the present case relates to the indicated, exceptional situation. Rather to the contrary, it is stated in document (4) that the product of each reaction disclosed, i.e. also the methyl ester of the erythro acid "... may, if desired, be purified by conventional techniques such as recrystallization ..." (column 29, lines 36 ff.). This teaching has to be read in combination with that of example 5 of this document for the following reason:
9.2 What is decisive for establishing whether or not a document discloses novelty-destroying state of the art is the overall disclosure which a skilled person can unambiguously take from this document. Therefore, in the absence of reasons to the contrary, the technical teaching of an example may be combined with general technical teaching disclosed elsewhere in the same document (see T 332/87 of 23 November 1990, not published in the OJ EPO, Nos. 2.2 and 2.3).
9.3 Thus, the general teaching quoted above from document (4)(see point 9.1), when combined with that of example 5 of the same document, discloses to a skilled person that the methyl esther of the erythro acid may be purified as desired by conventional means. It follows, that document (4) made available to the public this compound in any desired purity and, thus, also in a diastereomeric purity of at least 99.5 percent. Consequently, the degree of diastereomeric purity given in the claim cannot be accepted as a new element distinguishing the claimed subject-matter from the state of the art as disclosed in document (4).
10. The Appellant argued that the present case relates to an exceptional situation such as that mentioned under above point 8, since a purity of 99.5% or higher of the erythro compounds cannot be found in the state of the art. According to him, the fact that this figure (or better this range of purity) is not disclosed in any of the citations, i.e. (1), (2) and (4), should prove that it was impossible to achieve such a diastereomeric purity of the erythro compounds prior to the priority date of the application in suit.
11. This argument is not convincing. There is no evidence on file that efforts to purify the erythro compounds to a desired degree of diastereomeric purity, e.g. of 99.5% or higher, have ever failed.
11.1 Document (4) clearly teaches that such purification is envisaged, see above point 9.3. In this context, it has to be emphasised that the meaning of the term "available", as used in Article 54(2) EPC, clearly goes beyond literal description and implies also implicit disclosure of technical information, e.g. the inevitable results, even if not explicitly disclosed, of a process described in a prior art document. Therefore, subject-matter can have become available to the public by such a document, even if not literally disclosed therein (see, e.g. T 666/89, OJ EPO 1993, 495, point 6 of the Reasons for the Decision).
11.2 Document (1) discloses that the sodium borohydride reduction of β-hydroxyketones in the presence of alkoxydialkylboranes produces 1,3-syn diols (i.e. erythro diols) in at least 98% diastereomeric purity (see the summary) and that the erythro acid methyl ester is obtained in a diastereomeric purity of 98% (page 152, table 1, compound 14). No attempts are reported to purify the product further. This is not surprising, since this would have indeed been contrary to the gist of this scientific publication, which is concerned with the stereoselectivity of this reduction as such. Therefore, any further purification either would have been meaningless or would have given a wrong impression of the stereoselectivity of the reaction under consideration.
11.3 The same considerations apply to document (2), which is a scientific publication concerned with the stereoselectivity of the sodium borohydride reduction of β-hydroxyketones in the presence of in particular diethyl methoxy borane and reports a diastereomeric purity of more than 98% for the erythro acid methyl ester obtained (summary and page 1925, table 2, compound 4). As in the case of document (1), it would have been pointless to further purify the erythro acid methyl ester or to examine what degree of purity could be achieved for this compound by applying conventional purification steps.
11.4 During oral proceedings the Appellant also relied on document (5), which is not state of the art, as an expert opinion. This document discloses processes for the manufacture of the erythro acid methyl ester containing 2-4% or a maximum of 2%, respectively, of the corresponding threo isomer (column 55, lines 39 to 42 and column 56, lines 42 to 46, together with column 54, lines 34 and 35). Again document (5) does not contain any indication that attempts to further purify the erythro compounds by conventional methods (e.g. by fractional crystallisation as suggested in column 34, lines 8 to 10 of this citation) had been undertaken and that all efforts to this end had failed.
11.5 The present application is a divisional application. On the parent application a patent has been granted for a particular method of obtaining the product now claimed. It is not in dispute that this method is new and inventive, but the use of a new and inventive method does not mean that the product so made is new. As described in the present application, after making the product now claimed by this new and inventive method, it may be further purified by conventional recrystallisation. There is nothing here to suggest that the prior art product of document (4) could not also be purified to any desired degree of purity by conventional recrystallisation.
11.6 No new uses are described for the high purity product now claimed, compared to uses indicated for the product of document (4), nor was it argued that the threo impurity had any known detrimental effect. It was merely argued that health authorities would prefer substances to be as pure as possible. Whereas a new use could not as such confer novelty to a known product, the absence of reports on a further purified product is consistent with such highly pure product being routinely obtainable and of no particular technical interest merely because of its purity. Any interest would be in obtaining it as cheaply as possible.
11.7 Therefore, the Board concludes that neither the present application nor any of the documents (1), (2) and (5) establish the existence of an exceptional situation such as is mentioned in point 8 above as alleged by the Appellant. Nothing speaks against the technical teaching of document (4) being as set out above under point 9.3.
12. The Appellant further submitted that the decisions T 296/87, T 1048/92, and T 595/90 would support his case. The Board cannot accept this argument and shares on this point too the view of the Examining Division.
12.1 In the decision T 296/87 (OJ EPO 1990, 195), it was to be established "... whether a known chemical formula evidently containing a (single) asymmetrical carbon atom destroys the novelty not only of the compound in the form of its racemate, but also of its enantiomers ..." without mentioning the enantiomers at all (point 6 of the Reasons for the Decision). It was decided that an enantiomer is characterised by its specific configuration which is not disclosed by a document describing only the racemate (point 6.1 of the Reasons for the Decision). Thus, the particular configuration of the enantiomer was held to be a feature distinguishing the latter from the racemate. In the Board's judgment, the facts underlying decision T 296/87 differ from the present ones, where the claimed compounds for use as pharmaceuticals have exactly the same structural features as those of the state of the art. The Board concludes that, therefore, decision T 296/87 is not applicable to the facts of the present case.
12.2 For the same reasons, decision T 1048/92 of 5 December 1994 is not relevant to the present case. The facts underlying that decision are similar to those underlying the decision T 296/87 in so far as an allegedly novelty destroying document did not unambiguously disclose the particular configuration of the enantiomer claimed in the respective application in suit (see T 1048/92, not published in the OJ EPO, point 2.5 of the Reasons for the Decision).
12.3 Decision T 595/90 (OJ EPO 1994, 695) is not relevant either, since it deals only with the issue of inventive step of a product which could be envisaged as such, but for which no known method of manufacture existed (point 5 of the Reasons for the Decision, loc. cit., in particular pages 702 and 703). Here the issue is one of novelty and not of inventive step and conventional methods to obtain the claimed product according to the application in suit form part of the skilled person's common general knowledge (see above points 8 and 9.1).
13. It follows that the Appellant's request must fail since the claimed invention does not comply with the requirements of Articles 52(1) and 54 EPC, and that, therefore, the appeal has to be dismissed.
14. In this situation, it is not necessary to deal with the issue of inventive step.
Order
For these reasons it is decided that:
The appeal is dismissed.
Anmerkung für die Druckerei:
die in dieser Entscheidung enthaltene FORMEL bitte in der Mitte über die drei Spalten einmal setzen!