BOARDS OF APPEAL
Decisions of the Technical Boards of Appeal
Decision of Technical Board of Appeal 3.3.1 dated 12 May 2000 - T 728/98 - 3.3.1
(Language of the proceedings)
Composition of the board:
Chairman: | A. J. Nuss |
Members: | R. Freimuth |
| S. C. Perryman |
Applicant: ALBANY MOLECULAR RESEARCH, INC.
Headword: Pure terfenadine/ALBANY
Article: 54, 84, 123(2) EPC
Rule: 29(1), 35(12) EPC
Keyword: "Clarity of claim (no) - no unequivocal meaning of essential feature ("substantially pure") designed for delimiting claim from prior art" - "Amendment (not allowable) - deletion of essential feature" - "Novelty (no) - product-by-process claim directed to product per se - purity level of chemical compound achievable by means of conventional purification method - no exceptional situation (see T 990/96) - purity as such not a distinguishing product feature"
Headnote
I. It follows from the requirement of legal certainty that a claim cannot be considered clear in the sense of Article 84 EPC if it comprises an unclear technical feature (here "substantially pure") for which no unequivocal generally accepted meaning exists in the relevant art. This applies all the more if the unclear feature is essential for delimiting the subject-matter claimed from the prior art. (See reasons point 3)
II. Where the claimed purity level of a low molecular chemical compound (here a terfenadine derivative) turns out to be successfully achieved by applying a conventional purification method on a reaction mixture disclosed in the prior art, an exceptional situation such as addressed in decision T 990/96 does not exist. This would have required evidence that conventional methods could not achieve that purity level. Therefore the general rule applies that the level of purity of that low molecular compound cannot entail novelty. That general rule is valid also in the case of a product-by-process claim where that purity level is the inevitable result of the preparation process indicated in the claim. (See reasons point 6)
Summary of facts and submissions
I. The appeal lodged on 15 April 1998 lies from the decision of the examining division posted on 23 February 1998 refusing European patent application No. 96 200 338.0 (European publication No. 723 958).
II. The decision under appeal was based on a main request comprising claims 1 to 9 as originally filed and on three auxiliary requests. Independent original claim 1 according to the main request read as follows:
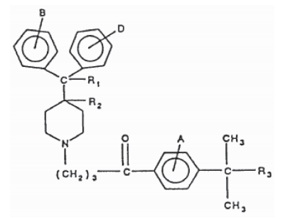
"1. A substantially pure piperidine derivative compound of the formulae:

or

wherein
R1 is hydrogen or hydroxy;
R2 is hydrogen;
or R1 and R2 taken together form a second bond between the carbon atoms bearing R1 and R2;
R3 is -COOH or -COOR4;
R4 is an alkyl with 1 to 6 carbon atoms;
A, B and D can be one or more different substituents of their rings and are individually hydrogen, halogens, alkyl, hydroxy, alkoxy, or other substituents
or a salt thereof."
The examining division found that the present application lacked novelty pursuant to Article 54(2) EPC in view of the document
(1) US-A-4 254 129.
More particularly, the examining division held that the compounds disclosed in document (1) were clearly the para-regioisomers being identical to those compounds claimed in the present application. The term "substantially pure" did not restore novelty since it did not differentiate the claimed compounds from those of the prior art.
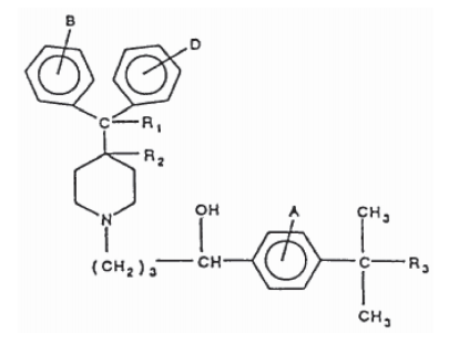
III. The appellant (applicant) submitted a main request and auxiliary requests 1 to 11 together with the Statement of Grounds of Appeal filed on 8 July 1998. The main request is identical to that in the decision under appeal, i.e. consists of claims 1 to 9 as originally filed. Claim 1 according to auxiliary request 1 differs from claim 1 of the main request only in specifying additionally the substantially pure piperidine compounds to be substantially free of the corresponding meta-isomer. Claim 1 according to auxiliary request 2 differs from claim 1 of the main request in incorporating additionally a disclaimer directed to the compounds produced in accordance with document (1). Claim 1 according to auxiliary request 3 differs from claim 1 of the main request in specifying additionally the substantially pure piperidine compounds to be obtainable by the preparation process generally described in the present application. Claim 1 according to auxiliary requests 4 to 7 is directed to a pharmaceutical composition comprising a substantially pure piperidine compound as defined in claim 1 of the main and the auxiliary requests 1 to 3, respectively. Claim 1 according to auxiliary requests 8 to 11 is identical to claim 1 according to auxiliary requests 4 to 7 apart from restricting the piperidine compounds to the substantially pure individual compound 4-[4-[4-(hydroxydiphenylmethyl)-1-piperidinyl]-1-hydroxybutyl]-α,α-dimethylbenzeneacetic acid.
IV. The appellant argued that the piperidine compounds claimed were limited to those being "substantially pure". That term was clear for a person skilled in the art: it meant a purity of 98% or better according to pharmaceutical industry standard as shown in document
(E6) US Pharmacopeia, undated, pages 1922 to 1924.
The process disclosed in document (1), in particular example 5, yielded after recrystallisation a product having a purity of about 96% para-isomer and comprising about 4% of undesired meta-isomer measured by HPL-Chromatography as shown in the
(E1) letter from R. Nicholson, dated 21 September 1997,
(E2) letter from L. Wille, dated 26 August 1993,
(E3) Affidavit of T. D'Ambra, dated 14 October 1997,
(E4) Declaration of F. Laskovics, dated 16 October 1997, and
(E5) Affidavit of H. Armstrong, dated 14 October 1997.
Thus, the compounds disclosed in document (1) were not "substantially pure", contrary to the compounds claimed. Therefore the subject-matter claimed was novel.
Having regard to the recent decision T 990/96 (OJ EPO 1998, 489) the appellant submitted that the application represented the exceptional situation addressed in that decision from the general principle that a known chemical compound is made available to the public in all levels of purity. According to that decision, an exceptional situation could be acknowledged where it was proven on the balance of probabilities that attempts to achieve a particular level of purity by conventional purification methods had failed. Since in the present case the mixture of meta/para regioisomers was inseparable by standard techniques, it had not been possible to obtain the para-regioisomer in the "substantially pure" form as claimed. Hence the requirements for accepting an exceptional situation established in the decision cited above were met.
V. In a communication from the Board pursuant to Article 11(2) of the Rules of Procedure of the boards of appeal, the appellant was informed that inter alia the matter of Articles 123(2) and 84 EPC might be addressed by the Board in addition to the issue of novelty during oral proceedings.
VI. At the oral proceedings before the Board held on 12 May 2000, the appellant submitted additionally the auxiliary requests "0", "1A" to "7A", "9A" to "11A" and 12. Claim 1 according to auxiliary request "0" differs from claim 1 of the main request exclusively in deleting the definition "other substituents" from the list of alternative definitions for the substituents A, B and D in the general formulae. Claim 1 according to auxiliary requests "1A" to "7A" is identical to claim 1 according to auxiliary requests 1 to 7, respectively, apart from deleting the term "substantially pure" defining the piperidine compounds, and the definition "other substituents" from the list of alternative definitions for the substituents A, B and D. Claim 1 according to auxiliary requests "9A" to "11A" is distinguished from claim 1 according to auxiliary requests 9 to 11, respectively, only in deleting the term "substantially pure" defining the individual piperidine compound. Claim 1 according to auxiliary request 12 differs from claim 1 of auxiliary request 8 exclusively in deleting the term "substantially pure" defining the individual piperidine compound and in indicating additionally the individual piperidine compound to be obtainable by the particular multi step preparation process as specified in examples 1 to 7 of the present application.
The appellant submitted moreover at the oral proceedings before the Board the fresh documents
(E7) US Pharmacopeia XXII, 1990, pages 1682 to 1684, and
(E8) Pharmaceutical Technology, December 1992, pages 48 to 50, 52 and 54
in order to show the percentage of the purity specified by the term "substantially pure" to be common technical knowledge in the pharmaceutical art. Document (E7) replaced document (E6) which was merely another edition thereof having an identical technical content; however, the former document was published before the priority date of the present application.
The Appellant argued furthermore that the fresh auxiliary requests overcame any objection for lack of clarity since the term "substantially pure" had been deleted in claim 1 according to any of those requests. As a consequence of that amendment the piperidine compounds of those claims were required to be 100% pure.
VII. The appellant requested that the decision under appeal be set aside and that a patent be granted on the basis of one of the twenty four requests submitted in writing on 3 July 1998 and at the oral proceedings on 12 May 2000 in the consecutive order submitted at the oral proceedings on 12 May 2000.
VIII. At the end of the oral proceedings the decision of the Board was given orally.
Reasons for the decision
1. The appeal is admissible.
2. Before addressing the substantive issue of novelty, the lack thereof being the ground for refusal of the present application stated in the decision under appeal, the compliance of the claims with the requirements of Article 84 EPC is to be examined. Thus, the first issue arising in this appeal is whether or not claim 1 of any request satisfies the provision of clearly defining the matter for which protection is sought.
Main Request, Auxiliary Requests "0", 1, "1A", 2, 3, 4, 5, "5A", 6, 7, 8, 9, "9A", 10 and 11
3.1 Article 84 in combination with Rule 29(1) EPC stipulates the requirements that the claims shall be clear and define the matter for which protection is sought in terms of the technical features of the invention. Those requirements serve the purpose of ensuring that the public is not left in any doubt as to which subject-matter is covered by a particular claim and which is not. From this principle of legal certainty, in the Board's judgment, it follows that a claim cannot be considered clear in the sense of Article 84 EPC if it does not unambiguously allow this distinction to be made (see decisions G 2/88, OJ EPO 1990, 93, point 2.5 of the reasons; T 337/95, OJ EPO 1996, 628, points 2.2 to 2.5 of the reasons). A claim comprising an unclear technical feature, hence, entails doubts as to the subject-matter covered by that claim. This applies all the more if the unclear feature is essential with respect to the invention in the sense that it is designed for delimiting the subject-matter claimed from the prior art, thereby giving rise to uncertainty as to whether or not the subject-matter claimed is anticipated. Thus, it is for the reason of lack of legal certainty that such a claim is not accepted to be clear within the meaning of Article 84 EPC.
3.2 In the present case, claim 1 according to the main request is directed to piperidine compounds of the formulae indicated therein specifying those compounds to be "substantially pure". The appellant submitted that this feature reflected the higher purity level of the claimed piperidine compounds over the same compounds disclosed in the prior art document (1), thus entailing novelty. This technical feature is in particular essential to the invention as it is the sole feature relied on to distinguish the subject-matter claimed over that prior art.
Therefore the principle of legal certainty requires all the more establishment of the meaning of the technical feature "substantially pure" in order to determine without any doubt "the matter for which protection is sought", in accordance with Article 84, first sentence, EPC. That feature, hence, needs closer examination.
3.2.1 In the context of Article 84 EPC, the meaning of a term or expression used in a feature of a claim depends in particular on the definition thereof generally accepted by those skilled in the relevant art, as established in Rule 35(12), last sentence, EPC requiring in general that use should be made of "the technical terms... generally accepted in the field in question".
3.2.1.1 The appellant has neither alleged, let alone provided any evidence of, any generally applicable quantitative definition for the expression "substantially pure" as such, nor is the Board aware of any. Thus, that feature cannot be accorded any quantitative definition having general validity.
3.2.1.2 Thus, the appellant argued that the meaning of the expression "substantially pure", in the present case, related to a pharmaceutical standard of purity since the compounds claimed were intended for use as a pharmaceutical product. He inferred from the US Pharmacopeia (E7), in particular the portion on page 1682 relating to "Ordinary Impurities" in bulk pharmaceutical chemicals, that a pharmaceutical compound was to be considered "substantially pure" when the level of impurities was less than 2%, ie having a purity of at least 98%. At the oral proceedings before the Board, the appellant submitted furthermore that the teaching of document (E7), though having authority only within a particular country, was nonetheless generally accepted by any person skilled in the pharmaceutical art. Hence, the meaning of the feature "substantially pure" was clear to the skilled reader thereby allowing determination without ambiguity of the scope of claim 1.
Firstly, document (E7) cited by the appellant in support of his case comprises on pages 1682 to 1684 a comprehensive section relating to "Impurities in Official Articles", the portion addressed by the appellant forming a small part thereof. That section establishes as preliminary statement on page 1682, left hand column, that "concepts about purity change with time and are inseparable from developments in analytical chemistry. If a material previously considered to be pure can be resolved into more than one component, that material can be redefined into new terms of purity and impurity". That statement of document (E7), however, leads to the conclusion that purity as such is an unreliable characteristic in the pharmaceutical art for the reason of being a rather hazy concept having a variable meaning shifting with time and progress in analytical chemistry. To quantify that characteristic, which is changing according to that document, with the vague term "substantially" as claim 1 does, results in an indistinct feature not allowing determination without ambiguity of the scope of that claim.
Secondly, the upper limit of 2% on "ordinary impurities" in compounds for pharmaceutical use, addressed by the appellant, is selected according to document (E7), page 1682, part "Ordinary Impurities", paragraph 3, "as the general limit on ordinary impurities". The specification of that value as "general limit" shows that it does apply merely in general, not necessarily in any particular case. Thus, the facts do not support the appellant's argument that the upper limit of 2% of "ordinary impurities", as a matter of principle, imposes an absolute limitation in any particular case including the present one.
Thirdly, document (E7) states on page 1682, part "Ordinary Impurities", paragraph 4 that "concomitant components ... are not to be included in the estimation of ordinary impurities" and on the same page, part "Concomitant Components" that those "are characteristics of many bulk pharmaceutical chemicals and are not considered to be impurities in the pharmacopeial sense". Geometric and optical isomers are listed as non-exhaustive examples for concomitant components. That concept affects especially the present case since the specification of the level of purity by the feature "substantially pure" in claim 1 is designed to exclude the presence of a particular isomer, namely the meta-regioisomer, thereby allegedly distinguishing the claimed compounds from the prior art document (1). Following the concept given in document (E7), that meta-regioisomer represents a concomitant component of the claimed compounds and is not regarded as an "ordinary impurity" thereof. Thus, the meta-isomeric compound, though rendering the claimed compounds impure, is not comprised within the upper limit of 2% set on "ordinary impurities", it is rather to be added on top of that value. Consequently the appellant's inference that a level of 2% of "ordinary impurities" in the claimed compounds resulted necessarily in a purity of 98% thereof is not supported by the facts.
For all those reasons, document (E7) neither provides a proper basis for the appellant's allegation that in the present case the feature "substantially pure" in claim 1 defines a purity of the claimed compound of at least 98% nor that this definition is generally accepted in the pharmaceutical art.
3.2.1.3 The affidavit (E3) and the declaration (E4) dealing with the matter of the generally accepted meaning in the art of the expression "substantially pure" do not provide any further information in addition to document (E7) since that document is either literally cited or explicitly referred to in that respect. Therefore they cannot give any supplementary support for the appellant's arguments.
3.2.2 The appellant did not refer to the description of the present application to clarify the unclear term "substantially pure" defining the purity level of the claimed compounds since the description is indeed silent about any quantification of that level. Therefore the description does not provide any indication for identifying the meaning of that unclear term. For that reason there is no need for the Board to consider in the present case whether or not in the context of Article 84 EPC the person skilled in the art could overcome the lack of clarity of the claim by referring to the description.
3.3 To summarise, according to the available evidence, there does not exist any unequivocal generally accepted meaning in the relevant art for the feature "substantially pure", with the consequence that this feature casts doubts as to the actual subject-matter covered by the claim. Yet, this unclear feature is the sole feature designed for distinguishing the subject-matter claimed from the prior art document (1). On the ground of that lack of legal certainty, in the Board's judgment, claim 1 according to the main request is not clear.
3.4 Since a decision can only be taken on a request as a whole, none of the further claims of that request need to be examined. In these circumstances the appeal insofar as it relates to the appellant's main request must be dismissed, as claim 1 of this request is not in conformity with Article 84 EPC.
3.5 The auxiliary requests "0", 1, 2, 3, 4, 5, 6, 7, 8, 9, 10 and 11 comprise in their respective claim 1 the feature "substantially pure" defining the piperidine compounds. The considerations having regard to clarity given in points 3.1 to 3.3 above with respect to the main request are based on the presence of that feature in claim 1. Therefore the conclusion drawn in point 3.4 above with regard to the main request still applies for the auxiliary requests "0" and 1 to 11, i.e. the actual subject-matter covered by their claim 1 is not clear.
In these circumstances, the appellant's auxiliary requests "0", 1, 2, 3, 4, 5, 6, 7, 8, 9, 10 and 11 also are not allowable for lack of clarity pursuant to Article 84 EPC.
3.6 Claim 1 of the auxiliary request "1A" differs from that of the main request essentially in that the feature "substantially free of" the corresponding meta-regioisomer substitutes for the feature "substantially pure" to define the piperidine compounds claimed. Thus, in place of defining the level of purity of the claimed compounds, as does claim 1 according to the main request, that amendment according to auxiliary request "1A" defines vice versa the level of impurity thereof with respect to a particular isomeric compound.
However, that feature is also essential with respect to the invention in the sense that it is designed for distinguishing the subject-matter claimed from the prior art document (1). The appellant has neither provided, nor is the Board aware of, any quantitative definition generally accepted in the present context for the expression "substantially free of". In the absence of any reliable quantitative definition, that feature entails doubts as to the subject-matter covered by claim 1 thereby giving rise to uncertainty as to whether or not the subject-matter claimed is anticipated by the prior art. Thus, for the reason of lack of legal certainty, claim 1 is not clear in the sense of Article 84 EPC with the consequence that the auxiliary request "1A" is not allowable as well.
3.7 The auxiliary requests "5A" and "9A" comprise in their respective claim 1 the feature "substantially free of" the corresponding meta-regioisomer for defining the piperidine compounds. Since the considerations having regard to clarity given in point 3.6 above with respect to the auxiliary request "1A" are based on the presence of that feature in claim 1, the same conclusion necessarily applies for those auxiliary requests, i.e. the actual subject-matter covered by their claim 1 is not clear.
In these circumstances, the appellant's auxiliary requests "5A" and "9A" also are not allowable for lack of clarity pursuant to Article 84 EPC.
Auxiliary Requests "2A", "3A", "4A", "6A", "7A", "10A" and "11A"
4.1 Claim 1 according to auxiliary request "2A" differs from original claim 1, i.e. claim 1 according to the main request, inter alia in that the feature "substantially pure" defining the piperidine compounds has been deleted. In case of an amendment, this must be examined by the Board as to its compatibility with the provisions of Article 123(2) EPC, namely whether or not it introduces subject-matter extending beyond the content of the application as filed.
4.2 In order to determine whether or not an amendment offends against Article 123(2) EPC it has to be examined whether technical information has been introduced which a skilled person would not have objectively and unambiguously derived from the application as filed (see decisions T 288/92, point 3.1 of the reasons; T 680/93, point 2 of the reasons; neither published in OJ EPO). Therefore, it is established jurisprudence of the Boards of Appeal that it is not permissible to delete from an independent claim a feature which the application as originally filed presents as being an essential feature of the invention. Such an amendment extends the subject-matter of the application beyond its content as filed, in contravention of Article 123(2) EPC (see decision T 260/85, OJ EPO 1989, 105, point 12 of the reasons).
4.3 In the present case, claim 1 according to auxiliary request "2A" has been amended in omitting the feature requiring the piperidine compounds claimed to be "substantially pure". Thus, as the result of that amendment, that claim covers piperidine compounds of the formulae given having any level of purity. Though the expression "substantially pure" is unclear as set out in point 3 above, it is nonetheless a technical feature intended to impose restrictions as to the level of purity of the piperidine compounds.
4.3.1 It is unquestionable that the original application as a whole, in particular the original claims 1 to 9 and the original page 6, line 11, page 9, line 15, page 10, line 23, and page 11, line 22, unambiguously requires the piperidine compounds to be "substantially pure". The necessity for the presence of that feature arises from the state of the art acknowledged on page 2, line 10, to page 5, last line, of the application as filed indicating that the piperidine compounds claimed as such are already known from that prior art, however, not in substantially pure form in the appellant's view. Thus, even without further specification the feature "substantially pure" defining the piperidine compounds of the application as filed is essential with respect to the invention in the sense that this feature is purposively designed for distinguishing the subject-matter that is claimed from that of the prior art. The Appellant emphasised in appeal proceedings the essentiality of that feature for the invention since it reflected, so he argued, the higher purity level of the claimed compounds over those of the prior art, thus entailing novelty.
4.3.2 The application as filed, hence, presents the feature "substantially pure" defining the piperidine compounds as being the sole essential feature of the invention. Thus, the omission of that essential feature in independent claim 1 as amended according to auxiliary request "2A" amounts to an undue generalisation by extending thereby the purity of the piperidine compounds to any level, given the fact that this amended subject-matter is at variance with the content of the application as filed.
4.3.3 Therefore, in the Board's judgment, the result of this amendment is that the skilled man is presented with information which is not directly and unambiguously derivable from the application as filed.
4.4 The Board concludes that claim 1 according to auxiliary request "2A" extends the subject-matter claimed beyond the content of the application as filed, thus contravening Article 123(2) EPC. In these circumstances, the appellant's auxiliary request "2A" is not allowable.
4.5 The auxiliary requests "3A", "4A", "6A", "7A", "10A" and "11A" omit in their respective claim 1 the feature "substantially pure" to define the piperidine compounds. The considerations having regard to that amendment given in points 4.1 to 4.3 above with respect to the auxiliary request "2A" are based on the absence of that feature in claim 1. Therefore, those auxiliary requests suffer from the same deficiency raised in point 4.4 above.
In these circumstances, the appellant's auxiliary requests "3A", "4A", "6A", "7A", "10A" and "11A" are rejected as well for contravening the provisions of Article 123(2) EPC.
Auxiliary Request 12
The subject-matter of claim 1 is based on claims 8 and 9 of the application as originally filed. The restriction of the piperidine compounds to the individual compound 4-[4-[4-(hydroxydiphenylmethyl)-1-piperidinyl]-1-hydroxybutyl]-α,α-dimethylbenzeneacetic acid finds support in original claim 7. The fresh section of claim 1 specifying additionally the individual piperidine compound to be obtainable by a particular multi step preparation process is supported by examples 1 to 7 of the application as filed.
The omission of the feature "substantially pure" to define the individual piperidine compound in claim 1, in the present case, however, does not result in the claim covering that compound at any purity level as the present situation is significantly different from the one discussed in point 4 above. Indeed, the fresh product-by-process section of claim 1 specifying the individual compound to be obtainable by a particular multi step preparation process inevitably restricts the subject-matter of that claim to a compound which is highly pure since that multi step preparation process stipulates a purification step using the fractional crystallisation technique for obtaining a pure para-isomeric intermediate (step 2) and additionally a final purification step using the liquid chromatography separation technique with a particular adsorbent and a particular eluting solvent (step 7). Under the particular circumstances of this case, hence, the feature "substantially pure" as the inevitable result of the preparation process prescribed appears, thus, to be implicitly defined by that preparation process specified in claim 1 according to auxiliary request 12. According to established case law of the Boards of Appeal (see decision T 917/94, point 1.1. of the reasons, not published in OJ EPO), the omission of a redundant feature, whether essential or not, does not create subject-matter which extends beyond the content of the application as filed.
For those reasons, in the Board's judgment, claim 1 according to auxiliary request 12 is in keeping with the requirements of Article 123(2) EPC.
6. Novelty
6.1 There are basically two different types of claim, namely a claim to a physical entity, e.g. a product, and a claim to a physical activity, e.g. a process for preparing a product (see decisions G 2/88, OJ EPO 1990, 93, point 2.2. of the reasons; T 150/82, OJ EPO 1984, 309, point 7 of the reasons). In the present case, claim 1 is directed to a pharmaceutical composition which is a product belonging to the category of claim of a physical entity. The individual piperidine compound comprised in that pharmaceutical composition is defined in terms of its chemical structure by indicating the chemical formula thereof and, additionally, in terms of a process for its preparation by indicating several consecutive manufacturing steps.
Despite the fact that this compound is also characterised by the process for its preparation, that claim belongs to the category of claim directed to a physical entity, i.e. a product. Such a claim comprising a "product-by-process" section is interpreted according to the jurisprudence of the Boards of Appeal as a claim directed to the product per se, since the reference to the preparation process serves only the purpose of defining the subject-matter for which protection is sought, which remains the product per se (see decisions T 411/89 of 20 December 1990, point 2.2 of the reasons, not published in OJ EPO; T 19/90, OJ EPO 1990, 476, point 4.9.2 of the reasons). Therefore, in the present case, regardless of how claim 1 is worded, it is a claim to a product and still directed to the pharmaceutical composition per se.
6.2 It is established case law of the Boards of Appeal that a claim for a chemical product defined in terms of a process for its preparation is patentable only if the product itself fulfils the requirements for patentability, i.e. in particular if it is new and involves an inventive step. To establish novelty, it is necessary that the modification of the preparation process results in other products, for example if distinct differences in the product's properties arise (see decision T 205/83, OJ EPO 1985, 363, points 3.1 and 3.2.1 of the reasons).
In application of this principle to the present case, the appellant submitted that the distinctly different product property was the level of purity. He pointed to the process section of product claim 1 which restricted the subject-matter claimed to a pharmaceutical composition comprising a highly pure individual piperidine compound of the given formula. Due to the fractional crystallisation for obtaining a pure para-isomeric intermediate in step 2 and a liquid chromatographic purification in final step 7 of the process for preparing the individual piperidine compound, as specified in the process section of product claim 1, that compound had a particularly high purity level of at least 98% and even exceeding 99.5% (cf. Statement of Grounds of Appeal, sections 2.2.5, 2.2.13 and 2.2.14, and document (E4), section 10). The compound was in particular para-isomeric pure by removing unwanted meta-isomeric by-products. The appellant alleged that the particularly high level of purity of that individual piperidine compound, which was the necessary result of the process for its preparation specified in claim 1, distinguished the claimed pharmaceutical compositions from those of the prior art thereby entailing novelty.
6.3 Document (1) discloses in claim 10 a pharmaceutical composition comprising a pharmaceutically acceptable carrier and an effective antiallergic amount of a piperidine compound which is 4-[4-[4-(hydroxydiphenylmethyl)-1-piperidinyl]-1-hydroxybutyl]-α,α-dimethylbenzeneacetic acid according to claim 8 and page 3, lines 57 and 58, ie the individual piperidine compound of the formula specified in present claim 1. According to the examples 3 and 5 of document (1) that individual piperidine compound is purified by multiple recrystallisation with a particular solvent mixture (cf. column 13, line 35; column 14, lines 27 and 28) without, however, indicating any specific purity level thereof. The appellant submitted based on experimental evidence that the purity of an individual piperidine compound prepared in accordance with those examples of document (1) did not exceed 96.3% (cf. Statement of Grounds of Appeal, sections 2.2.11, 2.2.12 and 2.2.14, and documents (E2) and (E4), section 9).
To summarise, the particularly high purity level of the individual piperidine compound of at least 98% comprised in the claimed pharmaceutical composition, as emphasized by the appellant, is the sole feature of present claim 1 which is neither explicitly disclosed nor implicitly achieved in the prior art document (1).
Thus, it has to be examined whether or not this feature of a different level of chemical purity imparts novelty to the claimed subject-matter over document (1).
6.4 According to the jurisprudence of the Boards of Appeal, the level of purity of a low molecular chemical compound, as a general rule, cannot entail novelty since conventional methods for its purification are within the common general knowledge of the skilled person. Thus, in general, a document disclosing such a chemical compound makes available this compound to the public in the sense of Article 54 EPC in any level of purity as desired by a person skilled in the art (see decision T 990/96, loc cit., point 7 of the reasons).
6.4.1 The appellant alleged that this general rule would not apply in the present case since this case met the requirements established in that decision for accepting the existence of an exceptional situation justifying a different conclusion. Such an exceptional situation should be acknowledged when all attempts failed to achieve a particular level of purity by conventional purification methods (see T 990/96, loc cit., point 8 of the reasons).
In the present case, so the appellant, the attempts did fail to achieve by conventional purification methods the particularly high purity level of the individual piperidine compound as defined in claim 1. The result of the preparation process known from document (1) was a mixture of meta/para-regioisomers being inseparable by standard techniques; thus, it was not possible to obtain that individual piperidine compound, which was the para-regioisomer, in the highly pure form as claimed using a conventional purification method. In support of his allegation, the appellant pointed to the application as filed, page 6, first paragraph, last sentence and document (E3), section 15, both stating that "it had not been possible to obtain either of the regioisomers in each mixture in substantially pure form".
6.4.2 However, the burden of proving the existence of such an extraordinary situation lies with the party alleging its existence, which is the appellant (see T 990/96, loc cit., point 8 of the reasons). The application as filed and document (E3), addressed by the appellant in his favour, merely reflect the opinion of the sole author of both, which is the inventor. In the absence of any corroborating evidence the appellant has not discharged the burden of proof which is upon him, with the consequence that the Board cannot accept his allegations in this respect.
6.4.3 Moreover, the appellant's allegation that it is not possible to separate the mixture of meta/para-regioisomers disclosed in document (1) using a conventional purification method to obtain the individual piperidine compound in the highly pure form as claimed is contradicted by the facts. With respect to that known mixture of meta/para-regioisomers, the application as filed acknowledges on page 6, first paragraph, first sentence that the "mixture of regioisomers can be analysed by HPLC experiments, a practical separation to obtain gram quantities of substantially pure regioisomers has not been achieved" and document (E4), section 9 that this mixture "was analysed by HPLC and found to contain 3.7% of the corresponding meta-isomer". Those statements reveal that it is in fact possible by means of HPLC to separate that mixture of meta/para-regioisomers known from document (1) into the different pure regioisomers and to obtain significant, even if small, quantities of the substantially pure para-regioisomer which is the individual piperidine compound as defined in present claim 1. The high performance liquid chromatography (HPLC) is a standard technique for purifying low molecular chemical compounds belonging to common general knowledge and having been available to the skilled person at the priority date of the present application. The appellant conceded at the oral proceedings before the Board that HPLC represents a conventional purification method well known in the art.
Thus, it turns out that the particularly high purity level of the individual piperidine compound as defined in claim 1 has been successfully achieved by applying a conventional purification method on the mixture of meta/para-regioisomers disclosed in document (1), with the consequence that an exceptional situation such as addressed in decision T 990/96 does not exist in the present case. This would have required evidence that conventional methods could not achieve that purity level.
6.5 Therefore, the general rule set out in point 6.4 above applies that document (1) makes available that compound to the public in any desired level of purity.
For these reasons, the particularly high purity level of the individual piperidine compound as defined in product claim 1 by implication, ie by indicating the preparation process, is not a feature to be regarded as imparting novelty to the claimed subject-matter over the prior art.
6.6 The Board concludes from the above that document (1) anticipates the subject-matter of claim 1 according to auxiliary request 12.
6.7 In these circumstances, the appellant's auxiliary request 12 is rejected as well for lack of novelty pursuant to Article 54(2) EPC.
Order
For these reasons it is decided that:
The appeal is dismissed.