BESCHWERDEKAMMERN
Entscheidungen der Technische Beschwerdekammern
Entscheidung der Technischen Beschwerdekammer 3.3.1 vom 3. März 1994 - T 552/91 - 3.3.1
(Amtlicher Text)
Zusammensetzung der Kammer:
Vorsitzender: | A. Jahn |
Mitglieder: | R. K. Spangenberg |
| J.-C. Saisset |
Patentinhaber/Beschwerdeführer: Merck Patent GmbH
Stichwort: Chromanderivate/MERCK
Artikel: 84, 123 (2) EPÜ
Schlagwort: "Änderung einer nachträglich als unzutreffend erkannten Strukturformel (nein) - "Product-by-process"-Ansprüche (zugelassen)"
Leitsätze
I. Betrifft eine europäische Patentanmeldung chemische Stoffe, die ursprünglich durch eine unzutreffende chemische Strukturformel definiert wurden, deren Berichtigung gemäß Regel 88 EPÜ nicht statthaft ist, so verstößt ein Ersatz der unrichtigen durch die zutreffende Formel gegen Artikel 123 (2) EPÜ. Dies gilt auch dann, wenn nachgewiesen wird, daß diese Stoffe zwangsläufiges eindeutiges Ergebnis eines in der ursprünglich eingereichten Fassung der Anmeldung vollständig offenbarten Verfahrens sind (Punkt 4.2 und 4.3 der Gründe).
II. Gleichwohl ist jedoch die Aufstellung eines "Product-by-process"-Anspruchs mit Artikel 123 (2) EPÜ vereinbar, der alle zur Erzielung dieses Ergebnisses erforderlichen Maßnahmen (Ausgangsmaterialien, Reaktionsbedingungen, Abtrennung) enthält (Punkt 5.2 der Gründe).
Sachverhalt und Anträge
I. Die europäische Patentanmeldung 87 118 275.4 ist am 10. Dezember 1987 eingereicht worden und wurde als EP-A-273 262 veröffentlicht. Die Anmeldung enthielt 8 Patentansprüche, deren erster Chromanderivate der allgemeinen Formel I betraf,

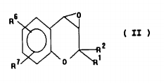
in der die Reste R1 bis R4, R6 und R7 unterschiedliche Bedeutungen hatten, die für die hier zu entscheidenden Sachverhalte unerheblich sind. R5 stand für einen unsubstituierten oder einen ein- oder zweifach durch A, F, Cl, Br, J, OH, OA, OAc, NO2, NH2, AcNH, HOOC und/oder AOOC substituierten 1H-2-Pyridon-1-yl-, 1H-6-Pyridazinon-1-yl-, 1H-2-Pyrimidinon-1-yl-, 1H-6-Pyrimidinon-1-yl-, 1H-2-Pyrazinon-1-yl- oder 1H-2-Thiopyridon-1-yl-rest, wobei diese Reste auch partiell hydriert sein konnten und wobei A Alkyl mit 1 bis 6 C-Atomen und Ac Alkanoyl mit 1 bis 8 C-Atomen oder Aroyl mit 7 bis 11 C-Atomen bedeutete. Anspruch 3 betraf ein Verfahren zur Herstellung der Verbindungen der allgemeinen Formel I, das - soweit hier relevant - dadurch gekennzeichnet war, daß man ein 3,4-Epoxychroman der Formel II

mit einer Verbindung der Formel III
R5-H (III)
oder einem ihrer reaktionsfähigen Derivate umsetzte. Die übrigen Ansprüche sind hier ohne Belang.
Knapp zwei Jahre nach Einreichen der Anmeldung hat die Anmelderin anhand der Röntgenstrukturanalyse festgestellt, daß bei der Umsetzung derjenigen Ausgangsstoffe der Formel III, die einen Hydroxy-Substituenten enthalten, mit den Verbindungen der Formel II nicht die entsprechenden Verbindungen der Formel I, sondern Isomere der Formel I'

entstanden, in der R5''' einen (über ein Ring-C-Atom an den Sauerstoff gebundenen) 1H-2-Pyridonyl-, 1H-6-Pyridazinonyl-, 1H-2-Pyrimidinonyl-, 1H-6-Pyrimidinonyl-, 1H-2-Pyrazinonyl- oder 1H-2-Thiopyridonylrest bedeutet. Um diesem Sachverhalt Rechnung zu tragen, hat die Anmelderin mit den am 9. März 1991 vorgelegten geänderten Patentansprüchen 1 bis 17 zwar keine Änderungen der Strukturformel in diesem Sinne beantragt, aber die Stoffgruppe mit der unzutreffenden Formel aus den Stoffansprüchen gestrichen und in den neuen Ansprüchen 10 bis 17 die beanspruchten Produkte durch Verfahrensmerkmale gekennzeichnet. Dabei betraf der unabhängige Anspruch 10 alle Chromanderivate, die nach dem oben genannten wesentlichen Reaktionsschritt des ursprünglichen Anspruchs 3 erhältlich waren. Der unabhängige Anspruch 11 war gleichfalls ein "Product-by-process"-Anspruch, der jedoch nur auf die bereits erwähnten Verbindungen, deren Konstitution sich nachträglich als fehlerhaft herausgestellt hatte, gerichtet war. Die Ansprüche 12 bis 17 betrafen Einzelverbindungen, die durch Angabe der zu ihrer Herstellung erforderlichen Ausgangsstoffe der Formeln II und III und ihrer Schmelzpunkte charakterisiert waren.
II. Nachdem die Prüfungsabteilung des Europäischen Patentamts die Anmelderin von ihrer Auffassung unterrichtet hatte, daß die geänderte Anmeldung nicht das Erfordernis des Artikels 123 (2) EPÜ erfülle, hat sie mit Entscheidung vom 26. April 1991 die Anmeldung zurückgewiesen, weil die Patentansprüche 10 bis 17 aus dem Inhalt der ursprünglich eingereichten Anmeldung nicht herleitbar seien, der nur Stoffe der Formel I umfasse. Die Verbindungen mit anderer Konstitution als ursprünglich angenommen seien als Erweiterungen des Gegenstands der Erstoffenbarung anzusehen, auf die Patentansprüche auch nicht auf dem Umweg über "Product-by-process"-Ansprüche gerichtet werden können. Auch die Voraussetzungen für eine Berichtigung der ursprünglichen Unterlagen gemäß Regel 88 EPÜ seien nicht gegeben. Die Kennzeichnung der beanspruchten Verbindungen durch ihr Herstellungsverfahren sei auch nicht im Einklang mit den Erfordernissen des Artikels 84 EPÜ, da sie weder klar angeben, für welche Gegenstände Schutz begehrt werde, noch von der Beschreibung gestützt seien. Dies gelte auch für die Gegenstände der auf Einzelverbindungen mit bestimmten Schmelzpunkten gerichteten Ansprüche 12 bis 17, denn in den ursprünglichen Unterlagen sei kein einziges Verfahren zur Herstellung solcher Verbindungen vollständig angegeben; der Beschreibung sei nur zu entnehmen, daß diese Stoffe "analog" zur Herstellung von Verbindungen der Formel I erhalten wurden.
III. Gegen diese Entscheidung richtet sich die am 27. Juni 1991 unter gleichzeitiger Entrichtung der vorgeschriebenen Gebühr eingelegte und begründete Beschwerde. In der Begründung wird ausgeführt, es stehe außer Frage, daß die Anmeldung durch die Offenbarung des Herstellungsverfahrens dem Fachmann über den Umfang des Anspruchs 1 hinaus neue Verbindungen zugänglich gemacht habe, so daß nur zu prüfen sei, wie dieser Teil der Erfindung definiert werden könne. Hierfür eigne sich die Form der "Product-by-process"-Ansprüche. Auch die Ansprüche 12 bis 17 seien nicht zu beanstanden, denn die darin genannten Ausgangsstoffe seien den urprünglichen Unterlagen ohne weiteres zu entnehmen.
IV. Am 3. März 1994 wurde mündlich verhandelt. Zu Beginn der Verhandlung legte die Kammer ihre vorläufige Auffassung zu den Voraussetzungen dar, unter denen Patentschutz für Stoffe erlangt werden könnte, deren Konstitution zunächst nicht richtig angegeben worden war.
Im Verlauf der mündlichen Verhandlung legte die Beschwerdeführerin einen Satz geänderter Patentansprüche 1 bis 17 vor. Die Ansprüche 1 und 4 wurden gegenüber der der angefochtenen Entscheidung zugrundeliegenden Fassung lediglich redaktionell geändert; ferner wurde Anspruch 10 der letzteren Fassung gestrichen, um einem Einwand der Kammer gegen die nicht ausreichend knappe Fassung der Patentansprüche (Artikel 84 EPÜ) Rechnung zu tragen. Die Ansprüche 11 bis 17 wurden zu 10 bis 16 umnumeriert und ergänzt. Außerdem wurde ein neuer Anspruch 17 aufgestellt, in dem die Stoffgruppe, deren Konstitution ursprünglich nicht richtig angegeben worden war, durch die geänderte allgemeine Formel I' gekennzeichnet war. Anspruch 10 richtet sich nunmehr auf
"Chromanol- oder Chromenderivate, erhältlich durch Umsetzung eines Epoxychromans der Formel II gemäß Patentanspruch 3 (vgl. oben unter Punkt II) mit einer Verbindung der Formel III'
R5''-H (III')
worin R5'' einen einfach durch OH substituierten 1H-2-Pyridon-1-yl-, 1H-6-Pyridazinon-1-yl-, 1H-2-Pyrimidinon-1-yl-, 1H-6-Pyrimidinon-1-yl-, 1H-2-Pyrazinon-1-yl- oder 1H-2-Thiopyridon-1-yl-rest bedeutet, wobei diese Reste durch einen weiteren Rest A, F, Cl, Br, J, OH, OA, OAc, NO2, NH2, AcNH, HOOC oder AOOC substituiert und/oder partiell hydriert sein können und A und Ac die in Patentanspruch 1 (vgl. oben unter Ziffer I) angegebenen Bedeutungen haben oder mit einem ihrer Salze in Gegenwart einer Base und eines inerten Lösungsmittels, anschließende übliche Aufarbeitung und chromatographische Trennung des Chromens vom Chromanol."
Anspruch 11 betrifft ein Chromanolderivat vom F. 262 - 265°, erhältlich durch Umsetzung von 2,2-Dimethyl-3,4-epoxy-6-cyan-chroman mit 3-Hydroxy-1H-2-pyridon in Gegenwart von Natriumhydrid in Dimethylsulfoxid, übliche Aufarbeitung und chromatographische Abtrennung des entsprechenden Chromens an Kieselgel mit Dichlormethan.
Die Ansprüche 12 bis 16 betreffen weitere, in entsprechender Weise gekennzeichnete Einzelverbindungen.
Anspruch 17 richtet sich erstmalig auf Chromanderivate der Formel I' (siehe Ziffer I).
Die Beschwerdeführerin trug vor, daß die in den geltenden Ansprüchen 10 bis 16 enthaltenen Verfahrensmaßnahmen eindeutig zu den Stoffen der Formel I' führen. Stoffe der Formel I seien dabei nur analytisch nachgewiesen, aber nicht in isolierbaren Mengen gebildet worden, wie sich aus der im Prüfungsverfahren eingereichten, nachveröffentlichten Druckschrift
(1) J. Med. Chem. 33 (1990), 2759 - 2767
ergebe. Der neu aufgestellte Anspruch 17 betreffe dieselben Stoffe wie der "Product-by-process"-Anspruch 10, so daß bezüglich des Erfordernisses des Artikels 123 (2) EPÜ zwischen diesen Ansprüchen kein Unterschied bestehe. Wenn also die Aufstellung des Anspruchs 10 zulässig sei, so müsse dies ebenso für Anspruch 17 gelten, auch wenn die Voraussetzungen einer Berichtigung der allgemeinen Formel gemäß Regel 88 EPÜ fehlen. Dies sei auch im Einklang mit der deutschen Rechtsprechung, da das Bundespatentgericht in der Entscheidung "Cycloalkene" (GRUR 1973, 313) die Berichtigung einer ursprünglich falsch angegebenen Konstitutionsformel im Erteilungsverfahren zugelassen habe. Außerdem definiere Anspruch 17 den Gegenstand, für den Schutz begehrt werde, in erheblich klarerer Weise als Anspruch 10 und entspreche daher besser den Erfordernissen des Artikels 84 EPÜ.
V. Die Beschwerdeführerin beantragt, die Sache an die Prüfungsabteilung zur Fortsetzung des Prüfungsverfahrens aufgrund der in der mündlichen Verhandlung überreichten Patentansprüche 1 bis 17 (Hauptantrag), hilfsweise der Ansprüche 1 bis 16 (Hilfsantrag) zurückzuverweisen.
Am Ende der mündlichen Verhandlung wurde die Entscheidung der Kammer verkündet, dem Hilfsantrag stattzugeben.
Entscheidungsgründe
1. Die Beschwerde ist zulässig.
2. Die Prüfungsabteilung hat die Zurückweisung der Anmeldung darauf gestützt, daß durch die Aufstellung von "Product-by-process"-Ansprüchen für die Stoffgruppe, deren Formel sich im Laufe des Erteilungsverfahrens als unzutreffend erwiesen hat, Artikel 123 (2) EPÜ verletzt worden sei. Zudem entnimmt die Kammer der angefochtenen Entscheidung, daß gegen diese Ansprüche auch im Hinblick auf Artikel 84 EPÜ Bedenken bestanden. Solche Ansprüche, wenngleich in veränderter Form, liegen auch der Kammer vor. Zudem wurde erstmals im Beschwerdeverfahren eine Änderung der Strukturformel für diejenige Stoffgruppe vorgenommen, der die ursprünglich angenommene Konstitution nicht zukommt. Die einzigen hier zu entscheidenden Fragen betreffen somit die Zulässigkeit der geltenden Patentansprüche 10 bis 17 im Hinblick auf die Erfordernisse dieser Artikel.
3. Nach Kenntnis der Kammer stellt sich hier erstmals die Frage, ob und in welcher Form chemische Stoffgruppen und Einzelverbindungen geschützt werden können, deren ursprünglich offenbarte Strukturformel sich später als falsch erweist. Die Beschwerdeführerin versucht, diesen Schutz einerseits mit Hilfe eines weiteren Stoffanspruchs, der auf die Verbindungsgruppe mit der nachträglich als zutreffend erkannten Konstitutionsformel gerichtet ist (Hauptantrag), andererseits mit Hilfe von "Product-by-process"-Ansprüchen zu erlangen, in denen die als falsch erkannte Strukturformel fehlt (Hilfsantrag). Eigentlich müßte der Hauptantrag schon daran scheitern, daß, wie die Beschwerdeführerin selbst vorgetragen hat, die Ansprüche 10 und 17 denselben Gegenstand betreffen, so daß der Anspruchssatz als Ganzes nicht als knapp gefaßt im Sinne des Artikels 84 EPÜ gelten kann. Die Kammer hat davon abgesehen, auf die Beseitigung dieses Mangels hinzuwirken, weil dem Hauptantrag aus einem anderen Grund nicht stattgegeben werden kann.
4. Hauptantrag
4.1 Haupt- und Hilfsantrag unterscheiden sich nur dadurch, daß letzterer den Anspruch 17 nicht umfaßt. Die Kammer kann sich daher hier darauf beschränken, die Vereinbarkeit dieses Anspruchs mit den Vorschriften der Artikel 84 und 123 (2) EPÜ zu untersuchen.
4.2 Es mag sein, daß Anspruch 17 dem Erfordernis der Klarheit (Artikel 84 EPÜ) besser entspricht als der entsprechende "Product-by-process"-Anspruch 10. Die Berichtigung der fehlerhaften Formel durch Aufstellung dieses Anspruchs mag deshalb im Interesse der Rechtssicherheit wünschenswert erscheinen. Da jedoch die nachträglich vorgenommene Änderung der Formel I, die zur Formel I' in Anspruch 17 geführt hat, nicht als Beseitigung einer offensichtlichen Unrichtigkeit im Sinne der Regel 88 EPÜ anzusehen ist, wie die Beschwerdeführerin in der mündlichen Verhandlung eingeräumt hat, kann diese Änderung nur zugelassen werden, wenn sie nicht gegen die ebenfalls der Rechtssicherheit dienenden Vorschrift des Artikels 123 (2) EPÜ verstößt.
4.3 Diese Bestimmung schreibt vor, daß eine europäische Patentanmeldung nicht in der Weise geändert werden darf, daß ihr Gegenstand über den Inhalt der Anmeldung in der ursprünglich eingereichten Fassung hinausgeht. Unter "Inhalt" versteht die Kammer die gesamte technische Offenbarung, die der Fachmann der Anmeldung entnimmt (vgl. Singer, Kommentar zum EPÜ (1989), S. 591; T 514/88, ABl. EPA 1992, 570 und in anderem Zusammenhang auch G 3/89, ABl. EPA 1993, 117, Ziffer 2 der Gründe). Der Nachweis, daß durch eine Änderung der ursprünglichen Patentanmeldung kein "aliud", also kein anderer als der ursprünglich offenbarte Gegenstand beansprucht wird, reicht somit nicht aus, um die Zulässigkeit dieser Änderung gemäß Artikel 123 (2) zu begründen. Es kommt vielmehr darauf an, daß hierdurch der Anmeldung keine technisch relevanten Informationen hinzugefügt werden, die der Fachmann den ursprünglichen Unterlagen nicht entnehmen konnte.
4.4 Hiergegen verstößt die Aufstellung des Anspruchs 17; denn die nachträglich geänderte allgemeine Formel vermittelt dem Fachmann erst die entscheidende Information über die wahre chemische Konstitution der Stoffgruppe und damit die Kenntnis von der inneren Beschaffenheit der damit bezeichneten Stoffe. Daraus resultieren Erkenntnisse über deren physikalische, chemische und anwendungstechnisch nutzbare Eigenschaften. Die der Anmeldung durch die Änderung der allgemeinen Formel hinzugefügten Informationen über die wahre Beschaffenheit der von Anspruch 17 umfaßten Stoffgruppe waren jedoch aus deren ursprünglicher Fassung, in der diesen Stoffen eine andere Konstitution zugeschrieben worden war, nicht zu gewinnen. Dies wurde auch von der Beschwerdeführerin nicht bestritten. Die Änderung der Anmeldung durch Aufnahme des Anspruchs 17 verstößt daher gegen die Vorschrift des Artikels 123 (2) EPÜ. Aus diesem Grunde kann dem Hauptantrag nicht stattgegeben werden.
4.5 Zur Stütze ihrer gegenteiligen Auffassung beruft sich die Beschwerdeführerin vergeblich auf die deutsche Rechtspraxis. Zum einen ist die Kammer nicht davon überzeugt, daß eine vergleichbare Praxis auch in den übrigen Vertragsstaaten des EPÜ besteht; zum anderen ist der Kammer bekannt, daß sich die Änderungen der ursprünglichen Anmeldungsunterlagen betreffende deutsche Praxis von der des EPA unterscheidet. So wird die nachträgliche Aufnahme von Äquivalenten, Vorteilsangaben oder Beispielen, die aus den in Ziffer 4.3 genannten Gründen gegen Artikel 123 (2) EPÜ verstößt, als konform mit dem deutschen Patentgesetz betrachtet (Siehe Schäfers in "Benkard, Patentgesetz, 9. Auflage 1993, § 38, Rdn. 19 ff.). Im übrigen betrifft die in diesem Zusammenhang angezogene Entscheidung "Cycloalkene" nicht die Frage, ob die Korrektur einer später als falsch erkannten Strukturformel im Rahmen einer Stofferfindung möglich ist, sondern erlaubt lediglich die Aufnahme der geänderten Konstitutionsformel in den Patentanspruch bei einem Verfahren zur Herstellung chemischer Verbindungen, weil hierdurch die zur Gewinnung der Verfahrensprodukte anzuwendenden Maßnahmen, die allein Gegenstand des Schutzes sind, nicht verändert werden.
5. Hilfsantrag
5.1 Die Anmeldung in der ursprünglich eingereichten Fassung enthält außer der zwar allgemeinen, aber zutreffenden Bezeichnung "Chromanol- oder Chromenderivate" und dem Herstellungsverfahren keine Angaben, mit deren Hilfe die Stoffe, die mit Anspruch 10 (siehe Ziffer IV) unter Schutz gestellt werden sollen, auf statthafte Weise klarer gekennzeichnet werden können. Entsprechend sichert die Angabe des Schmelzpunkts und der jeweils zutreffenden allgemeinen Bezeichnung neben den Herstellungsmaßnahmen in den Ansprüchen 11 bis 16 deren im Rahmen des Statthaften größtmögliche Klarheit. Die Formulierung der Ansprüche 10 bis 16 als "Product-by-process"-Ansprüche ist daher mit dem Klarheitserfordernis des Artikels 84 EPÜ vereinbar.
5.2 Die Kammer entnimmt der angefochtenen Entscheidung die Rechtsauffassung, daß für formelmäßig definierte Stoffe, deren urprünglich angegebene Konstitution sich später als falsch herausstellt, auch durch Aufstellen eines "Product-by-process"-Anspruchs kein Stoffschutz erlangt werden kann, weil hierdurch implizit Stoffe beansprucht werden, denen eine ursprünglich nicht offenbarte Formel zukommt. Das läuft darauf hinaus, daß in einem solchen Fall Stoffschutz generell an der Offenbarung einer fehlerhaften (und nach Regel 88 nicht korrigierbaren) Formel scheitert.
Die Kammer teilt diese Auffassung nicht, denn sie läßt außer Acht, daß ein Stoffanspruch den Stoff selbst und nicht eine Formel schützen soll. Letztere dient lediglich der Definition des zu schützenden Stoffes. Erweist sich daher die ursprünglich gewählte Definition durch eine Strukturformel später als unzutreffend und stehen in den ursprünglichen Unterlagen andere Hilfsmittel zur eindeutigen Charakterisierung des offenbarten Stoffes zur Verfügung, so können diese ersatzweise zur Formulierung eines auf diesen Stoff gerichteten Patentanspruchs herangezogen werden. Hierfür bietet sich in erster Linie ein Herstellungsverfahren an, das in der Regel zur Sicherstellung der ausreichenden Offenbarung der Stofferfindung ohnehin in der ursprünglichen Anmeldung angegeben ist. In einem solchen Falle ist es jedoch erforderlich, alle zur eindeutigen Definition der beanspruchten Stoffe als zwangsläufige Verfahrensprodukte (siehe T 12/81, ABl. EPA 1982, 296, Ziffer 8 der Gründe) notwendigen Verfahrensparameter in den Anspruch aufzunehmen. Da chemische Reaktionen nur selten in einer einzigen Richtung ablaufen und daher nur selten zu einheitlichen Stoffen führen, bedarf es neben der Angabe der Ausgangsstoffe und Reaktionsbedingungen im allgemeinen auch der Angabe der Art und Weise der Aufarbeitung des Reaktionsgemischs zur Gewinnung der beanspruchten Stoffe, besonders dann, wenn, wie im vorliegenden Falle, deren Isolierung durch das Verbot der Angabe der zutreffenden Struktur der zu isolierenden Produkte behindert wird.
5.3 Es ist offensichtlich, daß diese Voraussetzungen für den auf eine umfängliche Stoffgruppe gerichteten Anspruch 10 schwerer zu erfüllen sind als für die Einzelverbindungen betreffenden Ansprüche 11 bis 16, die darüber hinaus noch den (in der Erstanmeldung angegebenen) Schmelzpunkt als zusätzlichen Parameter zur Charakterisierung der beanspruchten Stoffe enthalten; denn Isolierungsmaßnahmen, die eindeutig zu bestimmten Einzelstoffen führen, müssen nicht zwangsläufig bei allen Individuen einer Stoffgruppe erfolgreich sein.
5.4 Im vorliegenden Falle hält es die Kammer für glaubhaft, daß die im geltenden Patentanspruch 10 enthaltenen Maßnahmen, nämlich die Umsetzung des Epoxychromans der Formel II gemäß Patentanspruch 3 mit einer Verbindung der Formel R5''-H (III'') oder einem ihrer Salze in Gegenwart einer Base und eines inerten Lösungsmittels und die anschließende übliche Aufarbeitung und chromatographische Trennung des Chromens vom Chromanol, zwangsläufig zu einheitlichen Produkten führen; denn auf die Frage der Kammer, ob hierbei nicht doch Verbindungen der ursprünglich offenbarten Formel I als Nebenprodukte entstehen, hat die Beschwerdeführerin unter Hinweis auf den die Seiten 2765 und 2766 überbrückenden Absatz der gutachtlich zu wertenden Druckschrift (1) und damit derzeit unwiderlegbar erklärt, daß solche Verbindungen nur in analytisch nachweisbaren, aber nicht isolierbaren Mengen gebildet werden. Die vorstehend angegebenen Maßnahmen und damit ihr zwangsläufiges Ergebnis sind in den ursprünglichen Unterlagen durch Anspruch 3 in Verbindung mit der Beschreibung, Seite 6, Zeilen 25 bis 39 und Seite 8, Zeilen 33 bis 36 in Verbindung mit Beispiel 1 offenbart. Der Ausdruck "Umsetzung" impliziert dabei eindeutig, daß dieser "Product-by-process"-Anspruch nur Chromanol- oder Chromenderivate umfaßt, in denen die wesentlichen Strukturelemente der Formeln II und III'' vorhanden sind. Der geltende geänderte Anspruch 10 ist daher mit der Vorschrift des Artikels 123 (2) EPÜ vereinbar.
5.5 Hinsichtlich der auf Einzelverbindungen gerichteten Ansprüche 11 bis 16 hat die angefochtene Entscheidung zutreffend festgestellt, daß die darin genannten Ausgangsstoffe der Formel III' in der ursprünglichen Beschreibung nicht explizit erwähnt sind. Sie sind jedoch nach Überzeugung der Kammer den Angaben in Beispiel 1 der Anmeldung in der ursprünglichen Fassung (vgl. Seite 8, Zeile 40 bis Seite 11, Zeile 53 der mit der Erstanmeldung inhaltlich übereinstimmenden veröffentlichten Anmeldung) eindeutig zu entnehmen. Dort wird zunächst die Umsetzung von 2,2-Dimethyl-3,4-epoxy-6-cyan-chroman mit 1H-2-Pyridon in Dimethylsulfoxid als Lösungsmittel in Gegenwart von NaH und nachfolgender Chromatographie an Kieselgel mit Dichlormethan als Elutionsmittel beschrieben, die zwei Produkte liefert, nämlich 2,2-Dimethyl-4-(1H-2-pyridon-1-yl)-6-cyan-2H-chromen mit F. 146 - 148 °C und 2,2-Dimethyl-4-(1H-2-pyridon-1-yl)-6-cyan-chroman-3-ol mit F. 244 °C. Es folgt, eingeleitet mit den Worten "analog erhält man" eine lange Liste von chemischen Bezeichnungen, teilweise mit Schmelzpunktangaben. Darunter befinden sich die Angaben
2,2-Dimethyl-4-(1H-3-hydroxy-2-pyridon-1-yl)-6-cyan-chroman-3-ol, F. 262 - 265 °C (Seite 9, Zeile 1 der veröffentlichten Anmeldung),
2,2-Dimethyl-4-(1H-3-hydroxy-2-pyridon-1-yl)-6-cyan-2H-chromen, F. 290 - 295 °C (Seite 9, Zeile 2 der veröffentlichten Anmeldung),
2,2-Dimethyl-4-(1H-4-hydroxy-2-pyridon-1-yl)-6-cyan-chroman-3-ol, F. 248 - 250 °C (Seite 9, Zeile 3 der veröffentlichten Anmeldung),
2,2-Dimethyl-4-(1H-5-hydroxy-2-pyridon-1-yl)-6-cyan-chroman-3-ol, F. 256,5 - 258 °C (Seite 9, Zeile 5 der veröffentlichten Anmeldung),
2,2-Dimethyl-4-(1H-3-hydroxy-6-pyridazinon-1-yl)-6-cyan-chroman-3-ol, F. 254 - 256 °C (Seite 11, Zeile 40 der veröffentlichten Anmeldung) und
2,2-Dimethyl-4-(1H-4-hydroxy-6-pyrimidinon-1-yl)-6-cyan-chroman-3-ol, F. 235 - 237 °C (Seite 11, Zeile 50 der veröffentlichten Anmeldung).
Die Kammer teilt die Auffassung der Beschwerdeführerin, daß der Fachmann diesen Angaben die Anweisung entnimmt, die aus den vorstehend genannten Bezeichnungen ablesbaren Ausgangsstoffe unter den im Beispiel angegebenen Bedingungen zur Reaktion zu bringen und anschließend durch chromatographische Auftrennung aus dem Reaktionsgemisch das Produkt mit dem angegebenen Schmelzpunkt zu isolieren. Die so durch Ausgangsstoffe, Reaktionsbedingungen, Isolierungsbedingungen, Schmelzpunkt und eine zwar allgemeine, aber zutreffende Bezeichnung definierten Produkte sind nach Überzeugung der Kammer eindeutig mit den vorstehend genannten ursprünglich offenbarten (fehlerhaft bezeichneten) Produkten identisch. Die Ansprüche 11 bis 16 verstoßen daher ebenfalls nicht gegen die Vorschrift des Artikels 123 (2) EPÜ.
5.6 Die Anmeldung war daher auf der Grundlage der Patentansprüche nach dem Hilfsantrag zur Fortsetzung der Prüfung an die Vorinstanz zurückzuverweisen. Dabei wird auch Anspruch 8 im Hinblick auf seine Vereinbarkeit mit Artikel 52 (4) EPÜ zu prüfen sein.
Entscheidungsformel
Aus diesen Gründen wird wie folgt entschieden:
Die angefochtene Entscheidung wird aufgehoben. Die Sache wird an die Vorinstanz zur Fortsetzung des Prüfungsverfahrens auf der Grundlage der Ansprüche gemäß Hilfsantrag zurückverwiesen.