BESCHWERDEKAMMERN
Entscheidungen der Technische Beschwerdekammern
Entscheidung der Technischen Beschwerdekammer 3.3.1 vom 30. Januar 1996 - T 337/95 - 3.3.1
(Übersetzung)
Zusammensetzung der Kammer:
Vorsitzender: | A. J. Nuss |
Mitglieder: | P. Krasa |
R. E. Teschemacher |
Anmelder: Nihon Nohyaku Co., Ltd.
Stichwort: Niederalkyl/NIHON NOHYAKU
Artikel: 84 EPÜ
Regel: 29 (1), 35 (12) EPÜ
Schlagwort: "Klarheit von Ansprüchen für Verbindungen als solche" - "Bedeutung von 'Niederalkyl' unklar"
Leitsätze
I. Ansprüche müssen aus Gründen der Rechtssicherheit klar sein (Nrn. 2.2 bis 2.4 der Entscheidungsgründe).
II. Da ein relativer Begriff wie "Niederalkyl" ohne eindeutigen Bezugspunkt auf dem Gebiet der organischen Chemie keine allgemein anerkannte Bedeutung hinsichtlich seiner Höchstzahl an Kohlenstoffatomen hat, ist er mehrdeutig und deshalb nicht geeignet, den Gegenstand des Schutzbegehrens in einem Anspruch klar anzugeben, der auf eine Gruppe organischer Verbindungen als solche gerichtet ist (Nr. 2.8 der Entscheidungsgründe).
Sachverhalt und Anträge
I. Der Beschwerdeführer legte gegen die Entscheidung der Prüfungsabteilung, die Anmeldung Nr. 90 103 338.1 zurückzuweisen, Beschwerde ein.
Die Prüfungsabteilung hatte die Auffassung vertreten, die Anmeldung genüge nicht den Erfordernissen des Artikels 84 EPÜ, da sie der Begriff "nieder" unklar mache, der in den Definitionen von Substituenten in der generischen Strukturformel des ersten Anspruchssatzes verwendet werde, der am 22. April 1994 als Hauptantrag eingereicht worden sei. Ferner sei auch der Inhalt der Ansprüche gemäß einem Hilfsantrag vom gleichen Tag nach Artikel 123 (2) EPÜ nicht zulässig.
II. Der Beschwerdeführer beantragt die Aufhebung der angefochtenen Entscheidung und die Patenterteilung auf der Grundlage des am 22. April 1994 eingegangenen ersten Anspruchssatzes (Hauptantrag), hilfsweise auf der Grundlage der Ansprüche 1 bis 7, die in der am 30. Januar 1996 auf seinen Antrag durchgeführten mündlichen Verhandlung vorgelegt worden waren (erster Hilfsantrag), oder auf der Grundlage des am 28. Februar 1995 eingegangenen zweiten oder dritten Anspruchssatzes (zweiter und dritter Hilfsantrag).
III. Die folgenden Textstellen aus dem Anspruch 1 gemäß dem Hauptantrag reichen als Grundlage für diese Entscheidung aus:
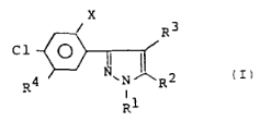
"1. 3-(substituiertes Phenyl)pyrazolderivat ... der allgemeinen Formel

worin
X ...,
R1 Niederalkyl oder Halogenniederalkyl bedeutet,
R2 ...,
R3 ... und
R4 ..."
Anspruch 1 gemäß dem ersten Hilfsantrag lautet wie folgt:
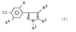
"1. 3-(substituiertes Phenyl)pyrazolderivat oder eines seiner Salze der allgemeinen Formel

worin
X Halogen bedeutet,
R1 CH3 bedeutet,
R2 Hydroxy, Mercapto, Alkylthio, Halogenalkoxy oder Halogenalkylthio bedeutet,
R3 Wasserstoff oder Halogen bedeutet und
R4 i) Formyl, ii) Nitro, iii) -CO-B-R6 bedeutet, worin B -O-, -S- oder -NR7 bedeutet; R6 und R7 sind gleich oder verschieden und bedeuten jeweils Wasserstoff oder Cycloalkyl, und wenn B -O- ist, kann R6 ein Alkalimetallatom oder ein quartäres Ammoniumsalz sein; oder -CO-B-R6 bedeutet Methoxy-, Ethoxy-, Propoxy- oder Butoxycarbonyl oder Methoxycarbonylmethoxy-, Ethoxycarbonylmethoxy-, Propoxycarbonylmethoxy-, Methoxycarbonylethoxy-, Ethoxycarbonylethoxy- oder
Propoxycarbonylethoxycarbonyl, iv) -D-R8 bedeutet, worin D
- O-, S(O)n, wobei n eine ganze Zahl zwischen 0 und 2 ist, oder -NR9- bedeutet; R8 und R9, die gleich oder verschieden sind, bedeuten jeweils Wasserstoff; Alkyl; Halogenalkyl; Aminosulfonyl; Phenylalkyl oder Phenoxyalkyl, die am Phenylring einen oder mehrere Halogensubstituenten aufweisen können, die gleich oder verschieden sind; oder -D-R8 bedeutet eine Alkenyloxy-Gruppe, die Propenyl, Butenyl oder Pentenyl enthält; eine Alkinyloxy-Gruppe, die Propinyl, Butinyl oder Pentinyl enthält; eine Alkenylamino-Gruppe, die Propenyl, Butenyl oder Pentenyl enthält; eine Alkoxycarbonylalkoxy- oder eine Alkylthiocarbonylalkoxy-Gruppe, die jeweils Methyl, Ethyl, Propyl oder Butyl enthält; oder v) -(CHR10)m-CO-E-R12 bedeutet, worin E -O-, -S- oder -NR11 bedeutet; R10 bedeutet Wasserstoff, und R11 und R12, die gleich oder verschieden sind, bedeuten jeweils Wasserstoff; Alkyl; Halogenalkyl; Phenyl, das am Phenylring einen oder mehrere Halogensubstituenten aufweisen kann; Phenylalkyl, das am Phenylring einen oder mehrere Halogensubstituenten aufweisen kann; oder R11 bildet gemeinsam mit R12 eine Piperidin- oder Morpholinyl-Gruppe, und wenn E -O- ist, kann R12 ein Alkalimetallatom oder ein quartäres Ammoniumsalz sein, und m steht für eine ganze Zahl zwischen 0 und 3."
IV. Der Beschwerdeführer machte schriftlich und mündlich sinngemäß folgendes geltend:
Erstens gehe die Behauptung der Prüfungsabteilung fehl, der Begriff "nieder" sei unklar, denn er sei bei Fachleuten allgemein gebräuchlich. Im Hinblick auf die Lehrbücher
(1) Robert T. Morrison/Robert N. Boyd, Lehrbuch der Organischen Chemie, 2., berichtigte Auflage, Verlag Chemie, Weinheim - New York (1978), 91
und
(2) Hans Breuer, dtv-Atlas zur Chemie, Band 2, Organische Chemie und Kunststoffe, Deutscher Taschenbuch Verlag, München (1983), 319
sei er außerdem eindeutig abgegrenzt.
Zweitens hätten die Ansprüche gemäß der Entscheidung T 860/93 unter Hinzuziehung der Beschreibung, insbesondere der Seiten 4 und 5 in der ursprünglich eingereichten Fassung, ausgelegt werden müssen, wodurch der Begriff "Niederalkyl" klar werde.
V. In der Anlage zur Ladung stellte die Kammer fest, daß der Beschwerdeführer nicht nachgewiesen habe, daß es auf dem einschlägigen Gebiet der Technik, d. h. der organischen Chemie, eine explizite Definition von Begriffen wie "Niederalkyl" gebe, geschweige denn, daß sie von den Fachleuten auf diesem Gebiet allgemein anerkannt werde.
Ferner wies die Kammer darauf hin, daß die vom Beschwerdeführer aus den beiden Entgegenhaltungen 1 und 2 gezogene Folgerung, es gebe eine eindeutige, implizite Definition von "Niederalkyl", offensichtlich nicht schlüssig sei; ein Blick in einige andere Lehrbücher der organischen Chemie zeige, daß der Begriff "Niederalkyl" auf diesem Gebiet der Technik mit mehreren unterschiedlichen Bedeutungen verwendet werde. Für die Zwecke dieser Entscheidung stützt sich die Kammer auf
(3) A. Streitwieser, Jr., C. H. Heathcock, "Organische Chemie", Weinheim - Deerfield Beach, Florida - Basel, Verlag Chemie, 1980, 257
und
(4) Carl R. Noller, "Lehrbuch der Organischen Chemie", Berlin -Göttingen - Heidelberg, Springer-Verlag, 1960, 100.
VI. Am Ende der mündlichen Verhandlung verkündete der Vorsitzende die Entscheidung der Kammer, dem ersten Hilfsantrag stattzugeben.
Entscheidungsgründe
1. Die Beschwerde ist zulässig.
2. Hauptantrag
2.1 Hier geht es nur um die Frage, ob die Ansprüche dieses Antrags, insbesondere Anspruch 1, den Erfordernissen des Artikels 84 EPÜ genügen, die wie folgt lauten:
"Die Patentansprüche müssen den Gegenstand angeben, für den Schutz begehrt wird. Sie müssen deutlich, knapp gefaßt und von der Beschreibung gestützt sein" (Hervorhebung durch die Kammer).
Regel 29 EPÜ enthält die Ausführungsbestimmungen zu Artikel 84. Regel 29 (1) Satz 1 EPÜ lautet wie folgt:
"Der Gegenstand des Schutzbegehrens ist in den Patentansprüchen durch Angabe der technischen Merkmale der Erfindung anzugeben" (Hervorhebung durch die Kammer).
2.2 Die Große Beschwerdekammer hat auf die zentrale Rolle der Ansprüche im europäischen Patentsystem hingewiesen, als sie feststellte, die Ansprüche dienten dazu, den Schutzbereich des Patents festzulegen (G 2/88, ABl. EPA 1990, 93; Corrigendum ABl. EPA 1990, 469, Nrn. 2.4 und 2.5 der Entscheidungsgründe).
2.3 Ferner bestätigte die Große Beschwerdekammer, daß es bei der Formulierung eines Anspruchs vor allem darauf ankomme, daß das Erfordernis erfüllt werde, den Gegenstand des Schutzbegehrens durch Angabe der technischen Merkmale der Erfindung anzugeben (und zwar auch unter Berücksichtigung der Regel 29 (1) EPÜ; G 2/88, a.a.O., Nr. 2.5 der Entscheidungsgründe).
2.4 Dieses Konzept gewährleistet, daß die Öffentlichkeit nicht im unklaren darüber bleibt, welcher Gegenstand unter ein bestimmtes Patent fällt. Dies ist ein Aspekt der Rechtssicherheit, ein Grundsatz, der in jedem System von größter Wichtigkeit ist, in dem die Rechte der Öffentlichkeit durch die Verleihung eines Ausschließungsrechts berührt werden (siehe J 34/92, nicht im ABl. EPA veröffentlicht, Nr. 4.1 der Entscheidungsgründe).
2.5 Nach Auffassung der Kammer kommt dieser Grundsatz der Rechtssicherheit auch in dem Erfordernis des Artikels 84 Satz 2 EPÜ zum Ausdruck, d. h., daß die Ansprüche deutlich sein müssen. Regel 35 (12) letzter Satz EPÜ dient demselben Zweck, denn sie schreibt für die Form der Anmeldungsunterlagen und deshalb auch der Ansprüche folgendes vor:
"Grundsätzlich sind nur solche technische Bezeichnungen, Zeichen und Symbole zu verwenden, die auf dem Fachgebiet allgemein anerkannt sind" (Hervorhebung durch die Kammer).
2.6 Im vorliegenden Fall sind organische Verbindungen als solche der Gegenstand des Schutzbegehrens in Anspruch 1. Diese Verbindungen werden als Mitglieder einer Gruppe chemischer Verbindungen der generischen Strukturformel I definiert (siehe Nr. III). Damit das in Artikel 84 EPÜ enthaltene Erfordernis der Deutlichkeit erfüllt wird, muß diese Gruppe chemischer Verbindungen so definiert werden, daß der fiktive Fachmann eindeutig unterscheiden kann, welche Verbindungen zu der beanspruchten Gruppe gehören und welche nicht.
2.7 In Anspruch 1 sind die einzigen technischen Merkmale, die den Gegenstand des Schutzbegehrens angeben, die Strukturmerkmale der betreffenden Verbindungen. Mithin ist zu untersuchen, ob die technischen Bezeichnungen für diese Strukturmerkmale, d. h. die Strukturelemente oder Substrukturen der Gruppe chemischer Verbindungen der generischen Strukturformel I, auf dem betreffenden Fachgebiet allgemein anerkannt sind. Diese Untersuchung kann sich auf die Bezeichnung "Niederalkyl" beschränken. Wie bereits erwähnt, ist der Gegenstand des Anspruchs 1 eine Gruppe organischer Verbindungen. Das einschlägige Fachgebiet ist deshalb die organische Chemie. Dies wird dadurch bestätigt, daß der Beschwerdeführer die Druckschriften 1 und 2 eingereicht hat, die sich beide auf dieses Gebiet beziehen.
2.7.1 Der Beschwerdeführer hat nicht nachgewiesen, daß es für die Bezeichnung "Niederalkyl" als solche eine explizite Definition gibt, und der Kammer ist auch keine bekannt. Er hat auch nicht nachgewiesen, daß der Begriff von den Fachleuten auf dem betreffenden Fachgebiet allgemein anerkannt wird.
2.7.2 Der Beschwerdeführer folgerte jedoch aus der Druckschrift 1 - offensichtlich aus dem ersten Absatz nach der Überschrift auf Seite 91 -, daß die höheren Alkane mit Hexan beginnen, und gelangte offensichtlich zu dem Schluß, der Begriff "Niederalkyl" sei deshalb in der Druckschrift 1 implizit als Alkylrest mit bis zu fünf Kohlenstoffatomen definiert. Die einschlägige Textstelle lautet wie folgt:
"Für Alkane mit einem, zwei, drei, vier und fünf Kohlenstoffatomen werden ... die Namen Methan, Äthan, Propan, Butan und Pentan verwendet. In Tabelle 3.2 sind die Namen höherer Alkane aufgeführt."
2.7.3 Die Kammer kann sich zwar der Auslegung der Druckschrift 1 durch den Beschwerdeführer anschließen, aber nicht gelten lassen, daß die Druckschrift 2 als zusätzlicher Beweis für die vorstehend genannte Definition von "Niederalkyl" anzusehen ist. Die einschlägige Textstelle dieser Entgegenhaltung lautet wie folgt:
"Die Anfangsglieder der homologen Alkanreihe tragen Trivialnamen: Methan CH4, Ethan C2H6, Propan C3H8, Butan C4H10. Die Namen der höheren Alkane beginnen mit einem lateinischen oder griechischen Zahlwort und enden auf -an. Beispiele: ..." (Hervorhebung durch die Kammer). Als Beispiele sind n-Hexan, n-Decan, n-Heptadecan und n-Eicosan zusammen mit ihren Formeln aufgeführt (Seite 319, linke Spalte, Zeilen 32 bis 45).
Es ist darauf hinzuweisen, daß das in der vorstehend zitierten Textstelle nicht erwähnte Pentan das erste Alkan mit einem Namen ist, der aus einem Zahlwort gemäß der vorstehenden Definition und der Endung - an besteht. Somit entspricht Pentan der Definition von höheren Alkanen gemäß der Druckschrift 2. Dies bedeutet, daß "Niederalkyl" gemäß der Druckschrift 2 und im Gegensatz zur Behauptung des Beschwerdeführers einem Alkylrest mit nicht mehr als vier Kohlenstoffatomen entspricht. Dem steht nicht entgegen, daß die kurze Aufzählung von Beispielen für "höhere Alkane" mit Hexan (nicht Pentan) beginnt, denn es handelt sich dabei offensichtlich nur um eine rudimentäre Aufzählung einiger willkürlich ausgewählter höherer Alkane.
2.7.4 Somit erhält sowohl in der Druckschrift 1 als auch in der Druckschrift 2 der Begriff "nieder", wenn er sich auf Alkylgruppen bezieht, eine eindeutige Bedeutung erst in einem bestimmten Zusammenhang, d. h. in bezug auf eine konkrete Kohlenstoffatomzahl; eine allgemeine Definition für diesen Begriff wird nicht gegeben. Wie vorstehend erläutert, kann der Begriff "Niederalkyl" gemäß der Druckschrift 1 als "alle Alkylgruppen mit weniger als sechs Kohlenstoffatomen" und gemäß der Druckschrift 2 als "alle Alkylgruppen mit weniger als fünf Kohlenstoffatomen" verstanden werden. Diese Diskrepanz zwischen den Druckschriften 1 und 2 reicht aus, um die Behauptung des Beschwerdeführers zu widerlegen, "Niederalkyl" habe eine auf dem betreffenden Fachgebiet allgemein anerkannte Bedeutung (R. 35 (12) letzter Satz EPÜ).
2.7.5 Darüber hinaus zeigt ein Blick in andere Lehrbücher der organischen Chemie, daß der Begriff "Niederalkyl" auf diesem Gebiet der Technik sogar mit noch mehr Bedeutungen verwendet wird. In der Druckschrift 3 sind in der Tabelle 11-2 einige physikalische Eigenschaften "niederer" Alkohole einschließlich n-Hexylalkohol aufgeführt. Diesem Lehrbuch zufolge würde "Niederalkyl" auch Hexyl umfassen. Andererseits wird n-Butylalkohol in der Druckschrift 4 unter der Überschrift "Höhere Alkohole" behandelt, was darauf hindeutet, daß "Niederalkyl" mit Propyl endet.
2.8 Die vorstehenden Überlegungen zeigen, daß der Begriff "Niederalkyl" allein, d. h. ohne eindeutigen Bezugspunkt, keine "allgemein anerkannte Bedeutung" auf dem Gebiet der organischen Chemie hat. Dies wäre aber erforderlich, wenn die Verwendung eines solchen relativen Begriffs in Anspruch 1 zulässig sein soll (siehe Richtlinien für die Prüfung im EPA, C-III, 4.5). Den vorliegenden Beweismitteln zufolge gibt es keine von den Fachleuten allgemein anerkannte Bedeutung von "Niederalkyl". Insbesondere ist unklar, wie hoch die Kohlenstoffatomzahl eines (gesättigten) Kohlenwasserstoff-Radikals höchstens sein darf, damit es ein "Niederalkyl" ist. Dieser Begriff ist deshalb nicht geeignet, den Gegenstand des Schutzbegehrens in Anspruch 1, der auf eine Gruppe organischer Verbindungen als solche gerichtet ist, klar anzugeben.
2.9 Die Kammer kann auch nicht das zweite, auf der Entscheidung T 860/93 (ABl. EPA 1995, 47) beruhende Argument des Beschwerdeführers gelten lassen, d. h., daß der Begriff "Niederalkyl" angesichts der Beschreibung und insbesondere der ursprünglichen Offenbarung auf den Seiten 4 und 5 in der eingereichten Fassung für einen Fachmann klar sei.
2.9.1 Auf diesen Seiten werden (bevorzugte) Beispiele für die verschiedenen Substituenten der Verbindungen der Formel I offenbart. In bezug auf Niederalkyle heißt es: "von denen Niederalkyle einschließlich Methyl bevorzugt werden" und "eine Niederalkyl-Gruppe wie zum Beispiel Methyl, Ethyl, Propyl oder Butyl" (Seite 4, Zeilen 14 und 15 und Seite 5, Zeilen 17 und 18; Hervorhebung durch die Kammer). Somit kann der Fachmann in beiden Fällen keine Definition des Begriffs "Niederalkyl" finden, sondern lediglich eine offene Aufzählung von Beispielen.
2.9.2 Selbst wenn die Kammer zugunsten des Beschwerdeführers theoretisch gelten ließe, daß die Angaben über Niederalkoxy-, Niederalkenyl- und Niederalkynylgruppen auf Seite 5, Zeilen 5 bis 15 der Anmeldung in der eingereichten Fassung die beabsichtigte Bedeutung von "Niederalkyl" erhellen, würde dies dem Beschwerdeführer nichts nützen. Alle auf Seite 5 offenbarten Beispiele sind nur als bevorzugte Beispiele angegeben und keinesfalls erschöpfend aufgezählt. Darüber hinaus sind sie nicht einmal einheitlich in bezug auf die Obergrenze für die mögliche Zahl der Kohlenstoffatome. Für Niederalkoxy werden als höchste Glieder entweder Butoxy (für Niederalkoxycarbonyl; Seite 5, Zeilen 5 und 7) oder Propoxy (für Niederalkoxycarbonylalkoxycarbonyl; Seite 5, Zeilen 5, 8 und 9) genannt; die höchsten für Alkenyl und Alkynyl offenbarten Glieder sind Pentenyl beziehungsweise Pentynyl (Seite 5, Zeilen 13 und 14). Im vorliegenden Fall liefert deshalb die Beschreibung keine schlüssigen Beweise dafür, wie viele Kohlenstoffatome eine "Niederalkyl"-Gruppe höchstens enthalten darf.
2.9.3 Infolgedessen muß hier nicht darüber entschieden werden, ob es (zur Erfüllung der Erfordernisse des Artikels 84 EPÜ) ausgereicht hätte, wenn ein fachkundiger Leser eine etwaige mangelnde Klarheit in Anspruch 1 durch Hinzuziehung der Beschreibung hätte beseitigen können (vgl. Richtlinien für die Prüfung im EPA, C-III, 4.2).
2.10 Was die vom Beschwerdeführer angezogene Entscheidung T 860/93 angeht, so hält sie die Kammer für nicht relevant, denn darin wurde die Auffassung vertreten, der Begriff "wasserlöslich" sei ausreichend deutlich, um den Patentanspruch angesichts der vorliegenden Beweismittel klar zu machen (T 860/93 a.a.O., Nrn. 4.1, 4.2 und 4.5). Im vorliegenden Fall geht jedoch aus den vorliegenden Beweismitteln das Gegenteil hervor, nämlich daß der Begriff "Niederalkyl" nicht deutlich, sondern ungenau ist (siehe Nr. 2.8).
2.11 Aus den vorstehend genannten Gründen kommt die Kammer zu dem Schluß, daß Anspruch 1 des Hauptantrags dem in Artikel 84 EPÜ enthaltenen Erfordernis der Deutlichkeit nicht genügt.
3. Erster Hilfsantrag
3.1 Der geänderte Anspruch 1 wird von den ursprünglichen Anmeldungsunterlagen ausreichend gestützt; die Offenbarung der Bedeutung von X und R3 findet sich im ursprünglichen Anspruch 1, die der Bedeutung von R1 und R2 jeweils auf der ursprünglichen Seite 4, Zeile 15 und Zeilen 16 bis 18 der Beschreibung und die der Definition von R4 im ursprünglichen Anspruch 1 in Verbindung mit der Offenbarung auf Seite 5, Zeilen 5 bis 9 und 12 bis 18. Anspruch 2 ist de facto eine Sammlung ursprünglich offenbarter Beispiele. Anspruch 3 wird vom ursprünglichen Anspruch 6 in Verbindung mit dem ursprünglichen Anspruch 1 und Seite 5, Zeilen 12 bis 18 der Beschreibung in der eingereichten Fassung gestützt. Anspruch 4 wird vom ursprünglichen Anspruch 7 in Verbindung mit dem ursprünglichen Anspruch 1 und der Offenbarung auf Seite 5, Zeilen 5 bis 9 der Beschreibung in der eingereichten Fassung gestützt. Den Ansprüchen 5, 6 und 7 liegen jeweils die ursprünglichen Ansprüche 8, 13 und 18 zugrunde. Mithin sind die Ansprüche 1 bis 7 nach Artikel 123 (2) EPÜ nicht zu beanstanden.
3.2 Die Ansprüche im ersten Hilfsantrag enthalten keine beanstandeten Begriffe wie "Niederalkyl" mehr. Der Grund für die Zurückweisung der Anmeldung ist damit entfallen.
4. Es folgt aus Nummer 3.2, daß die Entscheidung der Prüfungsabteilung aufzuheben ist. Allerdings müssen die Anmeldung und die Erfindung, die sie zum Gegenstand hat, noch daraufhin geprüft werden, ob sie allen übrigen Erfordernissen des EPÜ genügen. Die Sache wird deshalb nach Artikel 111 (1) EPÜ zur weiteren Entscheidung an die Prüfungsabteilung zurückverwiesen. Bei dieser Gelegenheit kann sie auch prüfen, ob der Begriff "Ammoniumsalz" in den Definitionen von R6 und R12 (z. B. in Anspruch 1) angebracht ist.
Unter diesen Umständen müssen der zweite und der dritte Hilfsantrag des Beschwerdeführers nicht geprüft werden.
Entscheidungsformel
Aus diesen Gründen wird entschieden:
1. Die Entscheidung der Prüfungsabteilung wird aufgehoben.
2. Die Sache wird zur weiteren Entscheidung auf der Grundlage der in der mündlichen Verhandlung eingereichten Ansprüche 1 bis 7 an die Prüfungsabteilung zurückverwiesen.