BESCHWERDEKAMMERN
Entscheidungen der Technische Beschwerdekammern
Entscheidung der Technischen Beschwerdekammer 3.3.1 vom 11. Mai 1992 - T 470/91 - 3.3.1
(Übersetzung)
Zusammensetzung der Kammer:
Vorsitzender: | K. J. A. Jahn |
Mitglieder: | R. W. Andrews |
| J.-C. Saisset |
Anmelder/Beschwerdeführer: Imperial Chemical Industries PLC
Stichwort: Einheitlichkeit/ICI
Artikel: 82 EPÜ
Regel: 67, 68 (2) EPÜ
Schlagwort: "Einheitlichkeit von Zwischenprodukt-Endprodukt-Erfindungen" - "einzige erfinderische Idee - struktureller Zusammenhang zwischen Zwischenprodukten nicht erforderlich" - "Rückzahlung der Beschwerdegebühr (nein)"
Leitsätze
I. Eine auf neue Zwischenprodukte und neue Endprodukte gerichtete Erfindung ist einheitlich, wenn die mit der Zielrichtung auf die Endprodukte bereitgestellten Zwischenprodukte durch Beisteuerung eines wesentlichen Strukturelements zu den Endprodukten mit diesen in hinreichend engem technischem Zusammenhang stehen und die Ordnungsfunktion von Artikel 82 EPÜ gewahrt ist.
II. Dies gilt auch dann, wenn die Zwischenprodukte zwei Gruppen von Verbindungen mit unterschiedlichen Grundstrukturen angehören (Entscheidungen T 110/82 "Benzylester", ABl. EPA 1983, 274, T 57/82 "Copolykarbonate", ABl. EPA 1982, 306 und T 35/87 "Hydroxypyrazole", ABl. EPA 1988, 134 (angewendet und fortentwickelt)).
Sachverhalt und Anträge
I. Die Europäische Patentanmeldung Nr. 86 306 769.0 (Veröffentlichungsnr. 0 216 541) wurde am 2. September 1986 eingereicht.
II. Mit Entscheidung vom 21. März 1991 wies die Prüfungsabteilung die Anmeldung zurück, da diese die Erfordernisse des Artikels 82 EPÜ nicht erfüllte. Der Entscheidung lagen zwölf Patentansprüche zugrunde; der Anspruch 1 und die Ansprüche 8 bis 10 lauteten wie folgt:
"1. Verbindung der Formel

worin X und Y jeweils unabhängig voneinander Halogene sind, n eine ganze Zahl von 1 bis 4 darstellt, Z jeweils unabhängig aus einem Halogen und einem Trihalogenmethyl ausgewählt ist und A Sauerstoff oder Schwefel bedeutet.
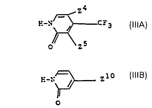
8. Verbindung der Formel (IIIA) oder (IIIB)

worin Z4 und Z5 unabhängig voneinander aus Wasserstoff, einem Halogen oder Trifluormethyl ausgewählt sind, mit der Maßgabe, daß Z4 und Z5 nicht beide Wasserstoff darstellen, und Z10 ein anderes Trihalogenmethyl bedeutet als Trifluormethyl.
9. Verbindung der Formel

10. Verbindung der Formel

worin W ein Amin, X Brom und Y Chlor oder W Fluor, X Brom
und Y Chlor oder Brom sind."
Die Prüfungsabteilung befand in ihrer Entscheidung, daß das Zwischenprodukt des Anspruchs 10 bzw. der Ansprüche 8 oder 9 nicht das zur Erfüllung der Erfordernisse nach Artikel 82 EPÜ erforderliche gemeinsame Strukturmerkmal aufweise.
Nach Auffassung der Prüfungsabteilung unterschieden sich die in den Entscheidungen T 57/82, T 35/87 und T 110/82 behandelten Fälle vom vorliegenden Fall, da sie Anmeldungen betrafen, in denen alle beanspruchten Zwischenprodukte und das Endprodukt ein einziges gemeinsames Merkmal aufwiesen. Darüber hinaus befand die Prüfungsabteilung, daß das in der Entscheidung T 35/87 angeführte "wesentliche Strukturelement" ein einziges und nicht zwei (oder mehr als zwei) verschiedene Elemente betraf.
III. Gegen diese Entscheidung wurde am 21. Mai 1991 unter Entrichtung der vorgeschriebenen Gebühr Beschwerde eingereicht. In ihrer am 3. Juni 1991 vorgelegten Beschwerdebegründung verwies die Beschwerdeführerin auf die ständige Rechtsprechung der Technischen Beschwerdekammern; wenn sich der Gegenstand einer Anmeldung demnach auf ein neues chemisches Produkt beziehe, seien unabhängige Zwischenproduktansprüche als einheitlich im Sinne von Artikel 82 EPÜ anzusehen, da deren Gegenstände durch die Zielrichtung auf diese Produkte zu einer einzigen erfinderischen Idee verbunden seien. Anders als die Prüfungsabteilung hielt es die Beschwerdeführerin nicht für erforderlich, daß einzelne Elemente untereinander einheitlich zu sein hätten, wenn sie nur im Rahmen eines Hauptanspruchs zu einer einzigen erfinderischen Idee verbunden seien.
IV. Die Beschwerdeführerin stellte den Antrag, die angefochtene Entscheidung aufzuheben und auf die Anmeldung ein Patent auf der Grundlage der vorliegenden Ansprüche zu erteilen (oder die Anmeldung an die Vorinstanz zur weiteren Sachprüfung hinsichtlich verbleibender Fragen zurückzuverweisen). Die Beschwerdeführerin beantragte ferner die Rückzahlung der Beschwerdegebühr.
Entscheidungsgründe
1. Die Beschwerde ist zulässig.
2. Nach der ständigen Rechtsprechung der Technischen Beschwerdekammern ist bei Vorliegen mehrerer Gruppen neuer Zwischenprodukte und einer Gruppe neuer Endprodukte grundsätzlich Einheitlichkeit der Erfindung gegeben, wenn die mit der Zielrichtung auf die Endprodukte bereitgestellten Zwischenproduktgruppen durch Beisteuerung eines wesentlichen Strukturelements zu den Endprodukten mit diesen in hinreichend engem technischem Zusammenhang stehen und die Ordnungsfunktion von Artikel 82 EPÜ gewahrt ist (vgl. T 110/82 "Benzylester", ABl. EPA 1983, 274 und T 35/87 "Hydroxypyrazole", ABl. EPA 1988, 134).
2.1 Anders als in den oben genannten Fällen weisen die Zwischenprodukte im vorliegenden Fall beide in den Endprodukten vorhandenen wesentlichen Strukturmerkmale auf. Insbesondere die Zwischenprodukte der Formeln IIIA und IIIB sowie 2-Chlor-4,5-bis(trifluormethyl)pyridin (ein Zwischenprodukt für 4,5-Bis(trifluormethyl)-2-pyridon, vgl. Ende Seite 7 bis 8) liefern den 2-Oxopyridyl-Rest der Endprodukte, und die 4-Fluorbenzotrifluoride in Anspruch 10 und 2-Brom-6-chlor-4-trifluoranilin (ein Zwischenprodukt für 2-Brom-6-chlor-4-fluorbenzotrifluorid, vgl. Schema A auf Seite 9) enthalten die 4-Trifluormethylphenylgruppierung. Die Endprodukte ergeben sich durch die Reaktion der Verbindungen des Anspruchs 10, in dem W ein Fluoratom bedeutet, mit den Verbindungen der Formel IIIA oder IIIB.
Damit besteht kein Zweifel, daß die anmeldungsgemäßen Zwischenprodukte nur im Hinblick auf die Herstellung der Endprodukte bereitgestellt wurden und in hinreichend engem technischem Zusammenhang mit den Endprodukten stehen. Somit sind sie durch die Zielrichtung auf die Endprodukte zu einer einzigen allgemeinen erfinderischen Idee verbunden. Dem steht nicht entgegen, daß die beiden Gruppen von Zwischenprodukten in keinem strukturellen Zusammenhang zueinander stehen, denn durch die Zielrichtung der Zwischenprodukte auf die Endprodukte können die den Zwischenprodukten zugrunde liegenden Teilaufgaben zu einer einheitlichen Gesamtaufgabe zusammengefaßt werden, zu deren Lösung beide Gruppen der hierfür geschaffenen Zwischenprodukte beitragen.
2.2 Außerdem ist zu berücksichtigen, daß bei Anwendung des von der Prüfungsabteilung gesetzten Bewertungsmaßstabs der Gegenstand der Ansprüche 8 und 9 oder der des Anspruchs 10 entweder aufgegeben oder mit einer Teilanmeldung weiterverfolgt werden müßte, was eine unnötige Zerstückelung technisch zusammenhängender Gegenstände bedeutete und mit der Ordnungsfunktion von Artikel 82 EPÜ unvereinbar wäre, wonach zusammenhängende Sachfragen in einem Verfahrenszug zu behandeln sind.
Darüber hinaus hatte die Erstinstanz im vorliegenden Fall gar nicht damit argumentiert, daß die Ordnungsfunktion von Artikel 82 EPÜ (Verbot ungerechtfertigter Gebührenersparnis, Gebot der Übersichtlichkeit) geschmälert werde, und auch die Kammer selbst vermag etwas Derartiges nicht zu erkennen.
3. Somit bezieht sich die Streitanmeldung nach Auffassung der Kammer auf eine Gruppe von Erfindungen, die untereinander in der Weise verbunden sind, daß sie eine einzige allgemeine erfinderische Idee verwirklichen.
4. Nach Regel 67 EPÜ wird die Rückzahlung der Beschwerdegebühr angeordnet, wenn der Beschwerde durch die Beschwerdekammer stattgegeben wird und die Rückzahlung wegen eines wesentlichen Verfahrensmangels der Billigkeit entspricht. Die Beschwerdeführerin begründete ihren Antrag auf Rückzahlung der Beschwerdegebühr damit, daß die Prüfungsabteilung ihre Auslegung von Artikel 82 EPÜ nicht begründet habe. Nach Auffassung der Kammer basierte die Zurückweisung der Anmeldung durch die Prüfungsabteilung aber auf einer zu engen und restriktiven Auslegung der einschlägigen Rechtsprechung. Eine Fehlinterpretation der Rechtsprechung der Kammer ist jedoch nicht als wesentlicher Verfahrensmangel anzusehen, der die Rückzahlung der Beschwerdegebühr rechtfertigen würde.
Entscheidungsformel
Aus diesen Gründen wird entschieden:
1. Die angefochtene Entscheidung wird aufgehoben.
2. Die Sache wird zur weiteren Entscheidung auf der Grundlage der der angefochtenen Entscheidung beigefügten Ansprüche an die Vorinstanz zurückverwiesen.
3. Der Antrag auf Rückzahlung der Beschwerdegebühr wird zurückgewiesen.