CHAMBRES DE RECOURS
Décisions des Chambres de recours techniques
Décision de la Chambre de recours technique 3.3.1, en date du 11 mai 1992 - T 470/91 - 3.3.1
(Traduction)
Composition de la Chambre:
Président: | K.J.A. Jahn |
Membres: | R.W. Andrews |
Demandeur/requérant: Imperial Chemical Industries PLC
Référence: Unité/ICI
Article: 82 CBE
Règle: 67 et 68 (2) CBE
Mot-clé: "Unité d'inventions portant sur des produits intermédiaires et des produits finals" - "Concept inventif unique - lien structurel entre les produits intermédiaires non nécessaire" - "Remboursement de la taxe de recours (non)"
Sommaire
I. Une invention ayant pour objet des produits intermédiaires nouveaux et des produits finals nouveaux présente une unité si les produits intermédiaires préparés dans le but d'obtenir les produits finals ont, du fait qu'ils introduisent un élément essentiel dans la structure des produits finals, un lien technique suffisamment étroit avec ceux-ci, et s'il n'y a pas incompatibilité avec l'objectif poursuivi par les dispositions normatives de l'article 82 CBE.
II. Ce qui précède vaut également si les produits intermédiaires font partie de deux groupes de composés ayant des structures de base différentes (décision reprenant et développant les points de vue adoptés par les chambres dans les décisions T 110/82 "Esters benzyliques", JO OEB 1983, 274, T 57/82 "Copolycarbonates", JO OEB 1982, 306 et T 35/87 "Hydroxypyrazoles". JO OEB 1988, 134).
Exposé des faits et conclusions
I. La demande de brevet européen n° 86 306 769.0 (publiée sous le numéro 0 216 541) a été déposée le 2 septembre 1986.
II. Par décision en date du 21 mars 1991, la division d'examen a rejeté la demande au motif qu'elle ne satisfaisait pas aux exigences de l'article 82 CBE. Cette décision a été rendue sur la base de douze revendications, la revendication 1 et les revendications 8 à 10 s'énonçant comme suit:
"1. Un composé de formule:

dans laquelle chaque groupe X et Y pris à part représente un groupe halo, n'est un nombre entier compris entre 1 et 4; chaque groupe Z est sélectionné indépendamment parmi les groupes halo et trihalométhyle, et A est de l'oxygène ou du soufre
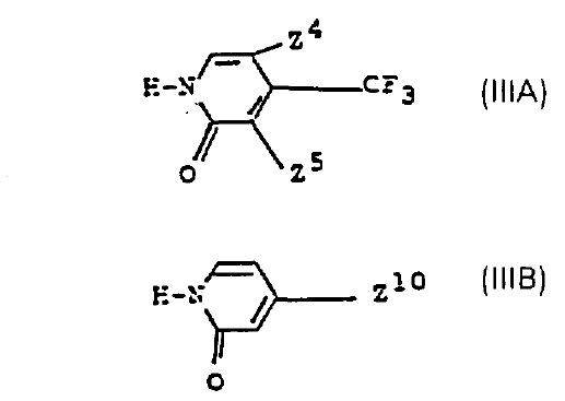
8. Un composé de formule (IIIA) ou (IIIB)

dans laquelle les groupes Z4 et Z5 sont sélectionnés indépendamment parmi les groupes hydrogène, halogène ou trifluorométhyle, à condition que Z4 et Z5 ne soient pas tous deux de l'hydrogène; Z10 est un trihalométhyle autre que le trifluorométhyle.
9. Un composé de formule:

10. Un composé de formule:

dans laquelle W est un groupe amino, X un groupe bromo, et Y un groupe chloro, ou W est un groupe fluoro, X un groupe bromo et Y un groupe chloro ou un groupe bromo".
Dans sa décision, la division d'examen a soutenu que le produit intermédiaire de la revendication 10 d'une part et des revendications 8 ou 9 d'autre part n'avaient pas de caractéristique structurale en commun comme l'exige l'article 82 CBE
La division d'examen estime que la situation n'est pas la même que dans les affaires T 57/82, T 35/87 et T 110/82, puisqu'il s'agissait de demandes dans lesquelles les produits intermédiaires revendiqués et le produit final avaient tous en commun une caractéristique unique La division d'examen a également considéré que l'expression l'"élément structurel essentiel" utilisée dans la décision T 35/87 désignait un seul élément de cette nature, et non deux (ou plus de deux) éléments différents.
III. Le 21 mai 1991, un recours a été formé contre cette décision et la taxe prévue a été acquittée. Dans l'exposé des motifs de son recours présenté le 3 juin 1991, le requérant a fait valoir que les chambres de recours techniques avaient estimé que si l'objet d'une demande concerne un nouveau produit chimique, les revendications indépendantes relatives aux produits intermédiaires peuvent concerner une seule invention au sens de l'article 82 CBE, puisque l'objet de ces revendications forme un seul concept inventif du fait qu'il tend à l'obtention de ce produit final. Contrairement à la division d'examen, le requérant a prétendu que si une revendication principale fournit le "parapluie" unificateur d'un seul concept inventif, il n'est pas nécessaire que les différents éléments abrités sous ce même "parapluie" constituent eux-mêmes une unité.
IV Le requérant demande que la décision incriminée soit annulée et que la procédure de délivrance puisse être poursuivie (ou que la demande soit renvoyée devant la première instance pour l'examen quant au fond des autres questions), et ceci sur la base des revendications actuelles Le requérant demande également le remboursement de la taxe de recours
Motifs de la décision
1. Le recours est recevable.
2. Selon la jurisprudence constante des chambres de recours techniques, il peut être considéré en général que plusieurs groupes de produits intermédiaires nouveaux et un groupe de produits finals nouveaux constituent une unité d'invention, si les groupes de produits intermédiaires préparés dans le but d'obtenir les produits finals ont, du fait qu'ils introduisent un élément essentiel dans la structure de ces produits finals, un lien technique suffisamment étroit avec ceux-ci, et s'il n'y a pas incompatibilité avec l'objectif poursuivi par les dispositions normatives de l'article 82 CBE. (cf. décisions T 110/82 "Esters benzyliques" JO OEB 1983, 274 et T 35/87 "Hydroxypyrazoles", JO OEB 1988, 134).
2.1 Or dans la présente demande, à la différence des affaires susmentionnées, les produits intermédiaires comportent tous deux les éléments structuraux essentiels présents dans les produits finals. En particulier, les produits intermédiaires de formule IIIA et IIIB et la 2-chloro -4,5-bis(trifluorométhyl)pyridine (produit intermédiaire pour la 4,5-bis (trifluorométhyl)-2-pyridone, cf. paragraphe commun aux pages 7 et 8) comportent le radical 2-oxopyridyle des produits finals, et les 4-fluorobenzotrifluorures de la revendication 10 ainsi que la 2-bromo-6-chloro-4-trifluoroaniline (produit intermédiaire pour le 2-bromo-6-chloro-4-fluorobenzotrifluorure, cf schéma A, page 9) contiennent le groupement 4-trifluorométhylphényle de ces produits finals. On obtient les produits finals en faisant réagir les composés de la revendication 10, où W représente un atome de fluor, avec les composés de formule IIIA ou IIIB.
Par conséquent, il ne fait aucun doute que les produits intermédiaires de la demande n'ont été préparés qu'en vue d'obtenir les produits finals, et qu'ils ont un lien technique suffisamment étroit avec ceux-ci Les produits intermédiaires ne forment donc qu'un seul concept inventif général, puisqu'ils tendent à l'obtention des produits finals, même si les deux groupes de produits intermédiaires n'ont entre eux aucun lien du point de vue de la structure: en effet, les produits intermédiaires visant à l'obtention des produits finals, les différents problèmes techniques qu'ils résolvent peuvent être combinés en un problème général unique, et ces deux groupes de produits intermédiaires préparés spécialement en vue d'obtenir le produit final contribuent à la résolution de ce problème général.
2.2 Il convient de signaler en outre que pour pouvoir satisfaire aux exigences de la division d'examen, il faudrait soit abandonner l'objet des revendications 8 et 9 ou l'objet de la revendication 10, soit maintenir chacun de ces objets dans le cadre d'une demande divisionnaire, ce qui reviendrait à subdiviser inutilement un objet en plusieurs objets liés entre eux sur le plan technique, et serait incompatible avec l'objectif poursuivi par les dispositions de l'article 82 CBE qui visent à faire traiter dans une procédure unique les objets qui ont un lien entre eux.
Par ailleurs, la première instance n'a pas prétendu que dans la présente affaire, il y avait incompatibilité avec l'objet poursuivi par les dispositions de l'article 82 CBE (qui visent à interdire au demandeur d'économiser indûment des taxes, et exigent que la demande soit immédiatement compréhensible), et la Chambre elle-même n'a pu détecter une telle incompatibilité.
3. Par conséquent, la Chambre estime que la demande en litige a trait à un groupe d'inventions liées entre elles de telle sorte qu'elles ne forment qu'un seul concept inventif général.
4. Conformément aux dispositions de la règle 67 CBE, le remboursement d'une taxe de recours est ordonné lorsqu'il est fait droit au recours par une chambre, si le remboursement est équitable en raison d'un vice substantiel de procédure. Pour justifier sa demande de remboursement de la taxe de recours, le requérant a allégué que la division d'examen n'avait pas fondé son interprétation de l'article 82 CBE sur une argumentation solide. La Chambre estime quant à elle que le rejet de la demande par la division d'examen était basé sur une interprétation trop étroite et trop restrictive de la jurisprudence en la matière. Toutefois, une interprétation erronée de la jurisprudence par la Chambre ne saurait être considérée comme un vice substantiel de procédure justifiant le remboursement de la taxe de recours.
Dispositif
Par ces motifs, il est statué comme suit:
1. La décision attaquée est annulée
2. L'affaire est renvoyée devant la première instance pour suite à donner sur la base des revendications annexées à la décision attaquée.
3. La demande de remboursement de la taxe de recours est rejetée.