CHAMBRES DE RECOURS
Décisions des Chambres de recours techniques
Décision de la Chambre de recours technique 3.3.1 en date du 27 juin 2003 - T 1020/98 - 3.3.1
(Traduction)
Composition de la Chambre :
Président : | A. J. Nuss |
Membres : | R. Freimuth |
| R. T. Menapace |
Demandeur : Bayer CropScience GmbH
Référence : Phytoprotecteur/BAYER
Articles : 84, 111(1) CBE
Mot-clé : "Clarté (oui) - revendication complexe non obscure - somme de temps raisonnable - formule de Markush - structure hiérarchisée des définitions des substituants" - "Concision (oui) - formule de Markush comme formulation la plus concise d'une classe de composés chimiques - exécution plus aisée de l'examen quant au fond non déterminante pour le contenu d'une revendication indépendante"
Sommaire :
I. La réalisation de l'exigence de clarté visée à l'article 84 CBE ne dépend pas de la somme de temps nécessaire pour répondre à la question de savoir si un composé donné est couvert ou non par la revendication de produit. Cette exigence ne fournit pas de base pour objecter qu'une revendication est complexe, car la complexité d'une revendication ne saurait être assimilée à un défaut de clarté. La simplicité d'une revendication n'est pas, en vertu de la CBE, une exigence pour la délivrance d'un brevet.
II. La définition d'une classe de composés chimiques à l'aide d'une formule de Markush dans la revendication représente la formulation la plus concise qui soit d'un tel objet.
III. L'exigence visant à une limitation du contenu d'une revendication indépendante en vue d'une exécution plus aisée de l'examen quant au fond est dépourvue de fondement juridique dans la CBE. Une telle simplification du travail de la division d'examen n'est pas, en vertu de la CBE, une condition préalable à l'examen quant au fond d'une demande de brevet.
Exposé des faits et conclusions
I. Le recours reçu le 15 juillet 1998 est dirigé contre la décision de la division d'examen, remise à la poste le 5 mai 1998, rejetant la demande n° 93112074.5 publiée sous le numéro 582 198.
II. La division d'examen a estimé que la demande ne remplissait pas les exigences de l'article 84 CBE. La décision a été rendue sur la base d'une requête principale contenant les revendications 1 à 14, modifiées par lettre en date du 20 mars 1997, et dans laquelle les revendications indépendantes 1 et 5 s'énonçaient comme suit :
"1. Utilisation de composés de formule I ou de leurs sels

où
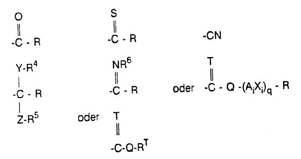
R1 et R2 représentent, chacun indépendamment, des restes de formule

où R, RT, R4, R5, R6, Y, T, Z, Q, Ai, Xi, q sont définis comme indiqué ci-après, ou R1 et R2 sont liés entre eux et forment ensemble un groupe de formule -CO-Q1-D-Q2-CO-
où
Q1, Q2 sont définis, chacun indépendamment, comme Q et
D représente un groupe divalent de formule CR'R'' ou C=O, R' et R'' étant, chacun indépendamment, hydrogène ou C1-C4 alkyle,
R3 représente hydrogène, halogène, C1-C18 alkyle, C2-C8 alcényle, C2-C8-alcynyle, C1-C18 alcoxy, C2-C8 alcényloxy, C2-C8 alcynyloxy, C1-C18 alkylthio, C2-C8 alcénylthio, C2-C8 alcynylthio, chacun de ces neuf derniers radicaux étant non substitué ou substitué par un ou plusieurs radicaux du groupe halogène, nitro et cyano, ou C3-C12 cycloalkyle non substitué ou substitué par un ou plusieurs radicaux C1-C4 alkyle, halogène, nitro et cyano, ou un groupe SiRaRbRc dans lequel Ra, Rb et Rc représentent, chacun indépendamment, C1-C4 alkyle, C2-C4 alcényle, C2-C4 alcynyle ou phényle non substitué ou substitué, ou un reste de formule Ar'X' dans laquelle Ar' et X' sont définis de manière analogue à Ar et respectivement à X,
X représente O, S, NH-NH ou NRd, Rd étant défini de manière analogue à R4, ou -CH2O-, -CH2S-, -CH(Ar)O- ou -CH(Ar)S-
Ar représente un reste aromatique,
R représente hydrogène ou un reste aliphatique, aromatique, hétéroaromatique, araliphatique ou hétéroaraliphatique comptant de 1 à 30 atomes de carbone et éventuellement un ou plusieurs groupes fonctionnels,
RT représente un reste de formule -CO-R, -CS-R, -NRfRg, N=CRhRi ou SiRaRbRc, R ayant la signification mentionnée, Rf, Rg, Rh et Rireprésentant, chacun indépendamment, hydrogène, C1-C4 alkyle, C2-C4 alcényle, C2-C4 alcynyle, benzyle, phényle ou phényle substitué, ou Rf et Rg forment, conjointement avec l'atome d'azote, un hétérocycle à cinq ou six chaînons qui peut contenir encore jusqu'à deux autres hétéroatomes du groupe N, O et S et peut être substitué par C1-C4 alkyle, et Ra, Rb et Rc sont, chacun indépendamment, C1-C4 alkyle, C2-C4 alcényle, C2-C4 alcynyle, phényle ou phényle substitué,
Y et Z représentent, chacun indépendamment, l'oxygène, le soufre à ses différents degrés d'oxydation, ou -NRe, Re étant défini de manière analogue à R4,
R4 et R5 sont égaux ou différents et représentent, chacun indépendamment, hydrogène, C1-C6 alkyle, C2-C6 alcényle, C2-C6 alcynyle, (C1-C4 alkyle)-carbonyle, chacun de ces quatre derniers radicaux étant non substitué ou substitué par un ou plusieurs substituants du groupe halogène, C1-C8 halogénoalcoxy, nitro, cyano, hydroxy, C1-C8 alcoxy et C1-C8 alcoxy où un ou plusieurs groupes CH2, de préférence pas plus de trois, qui ne sont pas liés directement, sont remplacés par l'oxygène, et C1-C8alkylthio, C1-C6 alkylsulfonyle, C2-C8 alcénylthio, C2 -C8 alcynylthio, C2-C8 alcényloxy, C2-C8 alcynyloxy, C3-C7 cycloalkyle, C3-C7 cycloalcoxy ainsi que amino-, mono- et di-(C1-C4 alkyle)-amino substitué, ou formyle, SiRaRbRc où Ra, Rb et Rc représentent, chacun indépendamment, C1-C4 alkyle, C2-C4 alcényle, C2-C4 alcynyle ou phényle non substitué ou substitué, ou C3-C8 cycloalcyle, C3-C8 cycloalcényle, hétérocyclyle comprenant de trois à sept atomes cycliques, aryle, hétéroaryle ou arylcarbonyle, chacun de ces six derniers restes étant non substitué ou substitué par un ou plusieurs radicaux C1 -C8 alkyle, halogène, C1-C8 halogénoalcoxy, nitro, cyano, hydroxy, C1-C8 alcoxy et C1-C8 alcoxy où un ou plusieurs groupes CH2, de préférence pas plus de trois, qui ne sont pas liés directement, sont remplacés par l'oxygène, et C1-C8alkylthio, C1-C6 alkylsulfonyle, C2-C8 alcénylthio, C2-C8 alcynylthio, C2-C8 alcényloxy, C2-C8 alcynyloxy, C3-C7 cycloalkyle, C3-C7 cycloalcoxy ainsi que amino-, mono- et di-(C1-C4alkyle)-amino substitué, ou R4 et R5 représentent conjointement une chaîne C2-C4 alkylène ou C2-C4 alcénylène qui n'est pas substituée ou est substituée par un ou deux radicaux du groupe méthyle, éthyle, méthoxy, éthoxy et halogène,
R6 représente hydrogène, C1-C4 alkyle, C2-C4 alcényle, C2-C4 alcynyle, C6-C12 aryle, hétéroaryle, benzyle, C1-C4 alcoxy, acyloxy, hydroxy, -NH-CO-NH2-, -NH-CS-NH2, mono- et di-(C1-C4 alkyle)-amino, -NH-acyle, -NHSO2-(C1-C4 alkyle), C6-C12 aryloxy, hétéroaryloxy, NH-SO2-aryle ou NH-aryle où, pour ce qui est des quatre derniers restes, l'aryle et respectivement l'hétéroaryle ne sont pas substitués ou sont substitués par un ou plusieurs radicaux du groupe halogène, nitro, (C1-C4)-alkyle, (C1-C4)-alcoxy, (C1-C4)-halogénoalkyle et (C1-C4)-halogénoalcoxy,
T représente O ou S, NR7, NOR7 ou NO-acyle,
Q représente O ou S,
q représente un nombre entier de 0 à 4,
i un chiffre courant, qui, différent de 0, accepte tous les nombres entiers de 1 à q, q ayant la signification mentionnée,
Xi représente indépendamment O, S, NR7, N-(Ai-Xi-)q-R,
Ai représente indépendamment C1-C6 alkylène non substitué ou substitué, C2-C8 alcénylène, C2-C8 alcynylène, C3-C6 cycloalkylène, C3-C6 cycloalcénylène, hétérocyclyle, aryle ou hétéroaryle, et
R7 représente indépendamment H, C1-C4 alkyle, C2-C4 alcényle, C2-C4 alcynyle, C3-C6 cycloalkyle, C3-C6 cycloalcényle, hétérocyclyle, aryle ou hétéroaryle,
comme phytoprotecteur visant à protéger les plantes cultivées contre les effets secondaires phytotoxiques d'herbicides."
"5. Composés de formule I ou leurs sels tels que définis dans l'une des revendications 1 à 4, à l'exclusion
a) des composés de formule I où
Ar représente un phényle substitué par les restes U1, U2 et U3, U1 étant un radical du groupe halogène, C1-C4 alkyle, C1-C4 alcoxy, CF3 et C1-C4 alkylsulfonyle et U2 et U3 étant identiques et différents et choisis à partir du groupe hydrogène, halogène, C1-C4 alkyle, C1-C4 alcoxy, CF3 et C1-C4 alkylsulfonyle,
X représente un atome d'oxygène,
R1 représente un groupe de formule -COOR,
R2 représente un groupe de formule -COOR,
R3 représente C1-C4 alkyle et
R représente des radicaux identiques ou différents du groupe hydrogène et C1-C4 alkyle, ou
b) des composés de formule I où
Ar est un phényle, 1,3-dichlorophényle, 1,3,5-trichlorophényle, 3-méthoxyphényle, naphtyle, coumarinyle, 4-méthyl-coumarinyle ou 7-flavonyle,
X représente un atome d'oxygène,
R1 représente un groupe de formule -COOR,
R2 représente un groupe de formule -COOR,
R3 représente l'hydrogène et
R des radicaux identiques ou différents du groupe hydrogène, aryle, alkyle et aralkyle, ou
c) ester diéthylique d'acide 2-(quinoléine-8-yl-mercapto)-malonique
ester éthylique d'acide 2-(quinoléine-8-yl-mercapto)-acétylacétique
ester diéthylique d'acide 4-chlor-phénoxy malonique."
III. La division d'examen a motivé la décision attaquée comme suit :
"2). Pour qu'une revendication définissant des composés à l'aide d'une formule de Markush puisse être considérée comme claire au sens de l'article 84 CBE, il est estimé qu'il doit être possible de répondre avec une certitude absolue et dans un temps raisonnable à la question de savoir si un composé donné est couvert ou non par la revendication. La situation est déjà critique en ce qui concerne les revendications d'utilisation (bien qu'aucun disclaimer n'ait été nécessaire ici, le rapport de recherche n'ayant fait apparaître aucun état de la technique qui soit destructeur de nouveauté en ce qui concerne l'utilisation). La longueur exceptionnelle des revendications, le fait que la formule se compose exclusivement de variables et le nombre de ces variables, dont la plupart sont définies à l'aide d'autres variables, suscitent des problèmes particuliers.
3). S'agissant des revendications de produit, la situation n'est pas acceptable au regard de l'article 84 CBE. Vu la portée considérable d'une revendication de produit (où, contrairement à une revendication d'utilisation, seule la structure des composés revendiqués définit l'étendue de la protection, indépendamment de l'utilisation qui est faite de ces composés), les exigences de l'article 84 CBE revêtent en l'espèce une importance particulière. Les présentes revendications de produit sont formulées de manière encore moins nette que les revendications d'utilisation (deux disclaimers compliqués de type "Markush" s'y ajoutent de surcroît), si bien qu'elles sont considérées comme n'étant plus conformes à l'article 84 CBE.
4). Le problème principal tient aux disclaimers, car ceux-ci tentent d'établir la nouveauté d'une manière qui se révèle plus compliquée et plus laborieuse que nécessaire. Ils ne remplissent donc ni la première exigence prévue à l'article 84 CBE, selon laquelle les revendications doivent être formulées de manière concise, ni la deuxième, selon laquelle elles doivent être claires. Pour conserver une vue d'ensemble claire de la portée des revendications de produit, il aurait été aisé d'établir la nouveauté en supprimant certaines significations de variables, ce qui permettrait par ailleurs de déterminer plus aisément le degré de chevauchement avec une formule de Markush d'une complexité comparable.
5). Depuis la décision T 12/90, il importe de déterminer le degré exact de chevauchement de deux formules de Markush pour apprécier la brevetabilité. La division d'examen estime qu'il est contrevenu à l'article 84 CBE dès lors que les revendications sont formulées de telle manière qu'elles compliquent inutilement les tâches routinières lors de l'examen quant au fond."
IV. Le 15 septembre 1998, le requérant (demandeur) a déposé, avec le mémoire exposant les motifs de son recours, deux nouvelles versions de la revendication 5 en tant que première et deuxième requêtes subsidiaires. Il a réfuté l'opinion émise dans la décision attaquée, selon laquelle la revendication 5 figurant dans la requête principale violait l'article 84 CBE. La formulation de cette revendication, combinée à la revendication 1, ne pose pas d'obstacle inhabituel nécessitant une somme de travail excessive pour l'examiner. Lorsqu'on vérifie si un composé chimique donné est couvert par la revendication 5, on s'aperçoit que les disclaimers (a) à (c) sont à la fois clairs et nets. Loin d'être compliquée, leur structure découle des documents cités. De plus, en l'espèce, il n'est pas possible de remplacer les disclaimers par une formulation positive et d'obtenir un résultat comparable.
Le requérant a demandé que la décision attaquée soit annulée et qu'un brevet soit délivré sur la base des revendications 1 à 14 selon la requête principale, ou sur la base des revendications 1 à 14, avec une revendication 5 modifiée, selon la première ou la seconde requête subsidiaire. A titre subsidiaire, il a demandé une procédure orale.
Motifs de la décision
1. Le recours est recevable.
2. Etendue de l'examen dans le cadre de la procédure de recours
Bien que l'article 111(1) CBE confère aux chambres de recours le pouvoir d'exercer, au-delà des motifs de la décision attaquée, les compétences de la division d'examen qui a pris la décision, cela ne signifie pas pour autant que les chambres de recours effectuent un examen complet de la demande de brevet à la base du recours au regard des conditions de brevetabilité. C'est la tâche de la division d'examen. La procédure devant les chambres de recours, y compris dans le cas d'une procédure ex parte, est en premier lieu destinée à contrôler la décision attaquée (cf. décision G 10/93, JO OEB 1995, 172, point 4 des motifs).
Dans le cas présent, la demande en litige a été rejetée au seul motif que la revendication de produit 5 manquait de clarté et de concision. En conséquence, la Chambre se borne à examiner et à trancher la question de savoir si la revendication 5 répond à ces exigences prévues à l'article 84 CBE. La Chambre ne se prononce donc pas sur l'admissibilité ou la non-admissibilité, au regard des exigences de l'article 123(2) CBE, des disclaimers contenus dans la revendication 5. Cette question de droit fait du reste l'objet des affaires G 1/03 et G 2/03 en instance devant la Grande Chambre de recours (JO OEB 2003, 113).
Requête principale
3. Clarté (article 84 CBE)
3.1 La décision attaquée objecte à la revendication de produit 5 son manque de clarté, au motif qu'elle définit les substances revendiquées à l'aide d'une formule de Markush et, de surcroît, de deux disclaimers "compliqués" de type Markush. Les constatations de fait qui ont amené la division d'examen à cette conclusion ne ressortent cependant pas de l'exposé des motifs de la décision attaquée.
La définition des substances revendiquées à l'aide de la formule de Markush résulte de la référence à la revendication d'utilisation 1 faite par la revendication de produit 5. La décision attaquée fait grief à cette dernière d'être obscure et "critique", mais n'en conteste pas la clarté au sens de l'article 84 CBE.
3.2 La Chambre fait observer en premier lieu que décrire la structure de substances chimiques à l'aide de formules générales de type Markush est une pratique classique qui fait partie des outils normaux de l'homme du métier concerné, à savoir en l'espèce le chimiste. Cela n'a d'ailleurs jamais été remis en question.
Dans le cas présent, la structure des substances chimiques revendiquées est décrite simplement à l'aide de la formule de Markush (I), qui comprend les cinq substituants variables Ar, X, R1, R2 et R3. La revendication définit ensuite ces substituants en indiquant pour chacun d'eux des listes de groupes chimiques décrits soit par leurs dénomination, soit par leur formule. Dans le cas des groupes chimiques définis par des formules générales, celles-ci comprennent à leur tour des restes variables pour lesquels la revendication donne des listes de groupes chimiques. Ainsi, par exemple, pour le substituant variable R3 de la formule de Markush (I), la revendication donne une liste de groupes chimiques qui contient entre autres le groupe de formule générale SiRaRbRc. Les restes variables Ra, Rb et Rc de ce groupe sont définis à leur tour, dans la revendication, par une liste de groupes chimiques décrits par leurs dénomination, à savoir C1-C4 alkyle, C2-C4 alcényle, C2-C4 alcynyle ou phényle substitué ou non substitué. Cette structure hiérarchisée de la définition des substituants variables Ar, X, R1, R2 et R3 de la formule de Markush (I) guide, tel un fil conducteur, l'homme du métier compétent à travers la revendication et lui enseigne clairement et sans ambiguïté si la revendication couvre un composé chimique particulier ou une classe de composés chimiques particulière.
3.3 La revendication de produit 5 contient, outre la formule de Markush (I) traitée ci-dessus, les deux disclaimers (a) et (b) critiqués ainsi qu'un troisième disclaimer (c) non critiqué, qui se réfère clairement à trois composés chimiques particuliers (cf. point II supra). Les deux premiers disclaimers excluent de l'objet de la revendication deux classes de composés décrites de manière plus détaillée. Ces deux classes de composés exclues sont définies par référence à la formule de Markush (I), en indiquant pour les substituants variables Ar, X, R1, R2 et R3des groupes chimiques identifiés soit par leur dénomination, soit par leur formule.
Dans le disclaimer (a), les substituants Ar, X, R1, R2 et R3 représentent chacun un seul groupe chimique, à savoir Ar un phényle substitué de manière spécifique, X un atome d'oxygène, R1 et R2 un groupe de formule -COOR, où le reste R est défini de manière plus détaillée, et R3 un C1-C4 alkyle. Dans le disclaimer (b), les substituants X, R1, R2 et R3 représentent là aussi un seul groupe chimique, à savoir X un atome d'oxygène, R1 et R2 un groupe de formule -COOR, où le reste R est défini de manière plus détaillée, et R3 l'hydrogène. Le substituant Ar est défini à l'aide d'une liste de huit radicaux chimiques décrits par leur dénomination.
Les disclaimers attaqués (a) et (b) définissent ainsi clairement et sans ambiguïté les deux classes de composés devant être exclues de l'objet de la revendication.
3.4 Pour ces raisons, la Chambre conclut que l'objet de la revendication de produit 5 critiquée est défini clairement par la formule de Markush (I) et les disclaimers (a) à (c) et qu'il est donc clair au sens de l'article 84 CBE.
3.5 A l'appui de la décision attaquée, la division d'examen a notamment avancé qu'une revendication est claire dès lors qu'on peut "répondre avec une certitude absolue et dans un temps raisonnable à la question de savoir si un composé donné est couvert ou non par la revendication" (c'est la Chambre qui souligne).
3.5.1 La décision attaquée ne dit rien sur le sens à donner au critère de "temps raisonnable", car elle ne contient ni constatations ni explications sur la somme de temps requise pour répondre à cette question ou sur la limite éventuelle du raisonnable. Les motifs invoqués par la division d'examen sont donc inopérants du seul fait qu'ils sont insuffisamment fondés.
La Chambre estime que la somme de temps effective n'est pas déterminante tant que la revendication elle-même est claire. C'est le cas en l'espèce, à la lumière des constatations faites aux points 3.2 et 3.3 supra, étant donné que la revendication de produit 5 présente une structure hiérarchisée permettant au lecteur averti d'en déterminer l'objet sans effort. La réalisation de l'exigence de clarté en tant que telle ne dépend pas de la somme de temps nécessaire pour répondre à la question de savoir si un composé donné est couvert ou non par la revendication de produit. Cela érigerait le critère purement quantitatif de "somme de temps" en condition indépendante pour la délivrance d'un brevet, qui ne trouve aucun fondement dans l'exigence qualitative - par sa nature même - de clarté de l'article 84 CBE, ni ailleurs dans la Convention.
3.5.2 Ce point de vue rejoint la décision T 574/96 (non publiée au Journal officiel de l'OEB) qui, au point 3.1 des motifs, constate déjà que l'exigence de clarté de l'article 84 CBE ne fournit pas de base pour objecter qu'une revendication n'est pas simple mais complexe et qu'il faut donc investir trop de temps pour la comprendre, car la complexité d'une revendication ne saurait être assimilée à un défaut de clarté. La simplicité d'une revendication n'est pas, en vertu de la CBE, une exigence indépendante pour la délivrance d'un brevet. Une telle exigence ne serait au demeurant pas pertinente, puisqu'elle conduirait à exclure de la protection par brevet toute invention dont l'objet ne pourrait être décrit par une formulation simple de la revendication. La clarté au sens de l'article 84 CBE exige uniquement que les revendications indiquent à l'homme du métier de manière claire et sans ambiguïté, éventuellement à la lumière de la description, l'objet de la protection demandée. Cette exigence est remplie en l'espèce, comme il ressort des développements ci-dessus.
4. Concision (article 84 CBE)
4.1 La décision attaquée critique en outre que la revendication de produit 5 manque de concision, étant donné que son objet est défini de surcroît par les disclaimers se référant à la formule de Markush (I) selon la revendication, bien que la nouveauté eût également pu être établie en supprimant certaines significations des listes de substituants variables selon la revendication.
4.2 Il convient de relever en premier lieu à ce sujet qu'il est admis que la définition d'une classe de composés chimiques à l'aide de la formule de Markush, telle que cette dernière est utilisée dans la revendication de produit 5 en litige, représente la formulation la plus concise qui soit d'un tel objet. Toute autre formulation, par exemple à l'aide d'une énumération de toutes les sous-classes concernées, voire de tous les composés individuels couverts, serait plus longue et donc moins concise. Cela s'applique nécessairement aux disclaimers (a) et (b), qui se réfèrent à cette formule de Markush et qui sont structurés en conséquence.
La Chambre ne peut suivre la division d'examen lorsque celle-ci affirme dans la décision attaquée que ces disclaimers auraient aisément pu être remplacés en supprimant certaines significations des listes de substituants variables de la formule de Markush selon la revendication, si bien que l'objet de la revendication aurait pu être formulé de manière encore plus concise, étant donné qu'aucune constatation de fait n'étaie concrètement cette affirmation. L'examen des faits par la Chambre ne lui permet pas non plus de parvenir à cette conclusion. Limiter, comme le demande la décision attaquée, l'objet de la revendication de produit 5 en supprimant certaines significations des listes de substituants variables selon la revendication ne donne pas une portée identique, mais plus réduite de la revendication par rapport à la présente version de la revendication contenant les disclaimers (a) et (b). Si l'on supprime par exemple la signification "oxygène" indiquée dans les disclaimers (a) et (b) de la liste des significations précisées pour le substituant X dans la revendication, tous les composés couverts par la formule de Markush (I) et ayant cette signification pour X seraient exclus, alors que la revendication telle qu'elle est formulée n'exclut que les composés pour lesquels, en même temps, les substituants R1 et R2 représentent le groupe -COOR et le substituant R3 l'hydrogène ou un C1-C4 alkyle. Dans le mémoire exposant les motifs de son recours, le requérant a signalé expressément et à juste titre les conséquences pour lui négatives et inacceptables qu'une telle modification aurait sur la portée de la revendication.
Dans ces conditions, la présente version de la revendication de produit 5 est donc concise au sens de l'article 84 CBE.
4.3 Dans la décision attaquée, la division d'examen a en outre exigé que le contenu de la revendication de produit soit, en définitive, limité, considérant qu'il est contrevenu à l'article 84 CBE si "les revendications sont formulées de telle manière qu'elles compliquent inutilement les tâches routinières lors de l'examen quant au fond".
L'article 84 CBE dispose que les revendications définissent l'objet de la protection demandée et qu'elles doivent en outre être claires et concises et se fonder sur la description. A ces exigences exhaustives posées aux revendications, la décision attaquée ajoute une exigence supplémentaire, à savoir que la formulation des revendications ne doit pas compliquer inutilement les tâches routinières lors de l'examen quant au fond, la division d'examen cherchant, ce faisant, à limiter le contenu de la revendication de produit. Elle lie ainsi son exigence visant à une limitation du contenu d'une revendication indépendante à une exécution plus aisée de l'examen quant au fond. Or, cette exigence supplémentaire émise par la division d'examen en ce qui concerne la formulation de l'objet d'une invention dans une revendication indépendante est dépourvue de fondement juridique dans la Convention sur le brevet européen, et ce même si elle vise à accroître l'efficacité de l'examen quant au fond. Elle est donc illicite.
Il s'ensuit qu'on ne peut soulever, au titre de l'article 84 CBE, une objection contre la formulation d'une revendication qui est sans rapport avec l'exigence de clarté et de concision, par exemple parce que cette formulation "complique inutilement les tâches routinières lors de l'examen quant au fond". L'unique obligation du demandeur est de se conformer à toutes les dispositions de la CBE, y compris à celles dont le but est de maintenir dans des limites acceptables le travail de la division d'examen au cours de la procédure de délivrance. La division d'examen a en revanche pour obligation de conduire la procédure de manière optimale, également sous l'aspect de la somme de travail, dans le cadre juridique fixé par la CBE, et d'exiger à cette fin le respect par le demandeur de toutes les dispositions prévues à cet effet. Limiter le contenu d'une revendication indépendante pour faciliter le travail de la division d'examen n'est pas, en vertu de la CBE, une condition préalable à l'examen quant au fond d'une demande de brevet.
5. Renvoi
Etant donné que la demande en litige a été rejetée au seul motif que la revendication 5 manquait de clarté et de concision, et que la décision attaquée ne saurait se fonder sur ce motif, il y a lieu d'annuler la décision. La division d'examen n'a pas rendu jusqu'ici de décision susceptible de recours pour ce qui est des autres questions relatives à la brevetabilité de toutes les revendications. Il reste à la première instance de procéder à l'examen définitif. La Chambre considère par conséquent qu'il n'est pas indiqué de trancher ces questions à sa place, afin de conserver la possibilité d'un examen par deux instances. Aussi renvoie-t-elle, dans l'exercice des compétences, que lui confère l'article 111(1) CBE, l'affaire à la première instance pour suite à donner.
6. Requêtes subsidiaires
Etant donné qu'il est fait droit à la requête principale du requérant, il n'est pas nécessaire d'examiner plus avant les première et deuxième requêtes subsidiaires, ni de tenir la procédure orale demandée à titre subsidiaire.
Dispositif
Par ces motifs, il est statué comme suit :
1. La décision attaquée est annulée.
2. L'affaire est renvoyée à la première instance afin qu'elle poursuive l'examen sur la base des revendications 1 à 14 selon la requête principale.