BESCHWERDEKAMMERN
Entscheidungen der Technische Beschwerdekammern
Entscheidung der Technischen Beschwerdekammer 3.3.1 vom 12. Februar 1998 - T 990/96 - 3.3.1
(Übersetzung)
Zusammensetzung der Kammer:
Vorsitzender: | A. J. Nuss |
Mitglieder: | P. Krasa |
S. C. Perryman |
Anmelder: Novartis AG
Stichwort: erythro-Verbindungen/NOVARTIS
Artikel: 54 EPÜ
Schlagwort: "Neuheit (verneint)" - "Reinheit der chemischen Verbindung kein neues Element"
Leitsätze
I. Für einen Fachmann auf dem Gebiet der präparativen organischen Chemie ist es üblich, eine nach einem bestimmten chemischen Herstellungsverfahren erzeugte Verbindung je nach Bedarf (weiter) zu reinigen. Da herkömmliche Verfahren zur Reinigung niedermolekularer organischer Verbindungen generell zu seinem allgemeinen Fachwissen gehören, macht ein Dokument, das eine niedermolekulare chemische Verbindung und ihre Herstellung offenbart, diese Verbindung in der Regel in allen gewünschten Reinheitsgraden im Sinne von Artikel 54 EPÜ der Öffentlichkeit zugänglich (Nr. 7 der Entscheidungsgründe).
II. Bringt ein Beteiligter vor, daß diese allgemeine Regel in einem Einzelfall nicht gilt, so trägt er auch die Beweislast für den Nachweis, daß ein solcher Ausnahmefall vorliegt, daß also beispielsweise alle früheren Versuche, mittels herkömmlicher Reinigungsverfahren einen bestimmten Reinheitsgrad zu erzielen, fehlgeschlagen sind (Nr. 8 der Entscheidungsgründe).
Sachverhalt und Anträge
I. Die Beschwerde richtet sich gegen die Entscheidung der Prüfungsabteilung, die europäische Patentanmeldung Nr. 93 106 005.7 mit der Veröffentlichungsnummer 0 562 643, die sich auf in 7-Stellung substituierte 6-Hepten- und Heptansäuren und deren Derivate bezieht, zurückzuweisen, weil sie die Erfordernisse der Artikel 52 (1), 54 und 56 EPÜ nicht erfülle.
II. In der angefochtenen Entscheidung wurde die Zurückweisung damit begründet, daß die gemäß einem Hauptantrag und zwei Hilfsanträgen beanspruchten chemischen Verbindungen, die erythro-Isomeren mit einer Diastereomeren-Reinheit von 99,5 % umfaßten, nicht neu seien gegenüber den Dokumenten
(1) Kau-Ming Chen et al., Tetrahedron Letters, Band 28, Nr. 2, 1987 und
(2) Kau-Ming Chen et al., Chemistry Letters, Seiten 1923 bis 1926, 1987
und für einen Fachmann naheliegend seien angesichts dieser beiden Entgegenhaltungen sowie des Dokuments
(3) US-A-4 650 890,
da für sie keine überraschende Wirkung offenbart worden sei.
III. Die Beschwerdeführerin (Anmelderin) reichte zusammen mit der Beschwerdebegründung zwei neue Anspruchssätze mit je fünf Ansprüchen ein. Auf Einwände der Kammer hin legte sie in der mündlichen Verhandlung vom 12. Februar 1998 einen einzigen Anspruch folgenden Wortlauts vor:
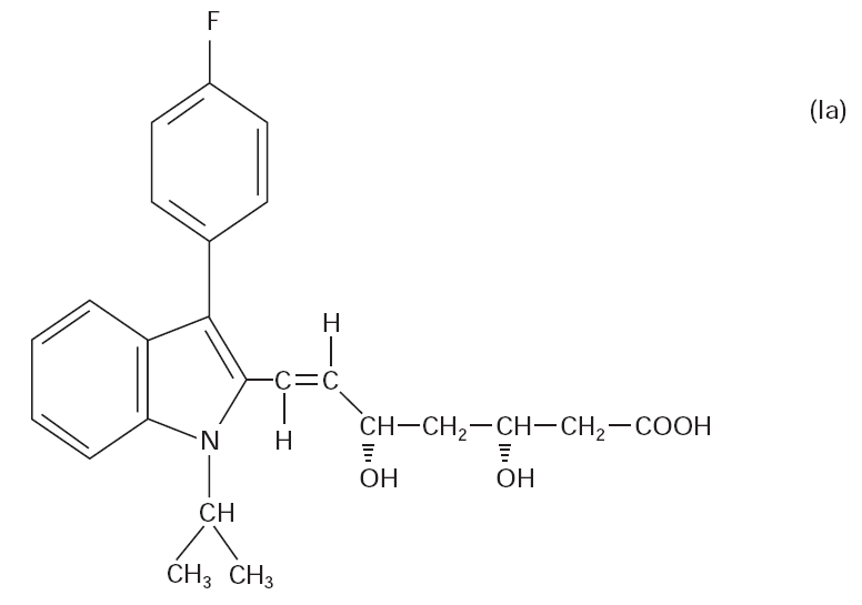
"Verbindung zur Anwendung als Arzneimittel mit der Formel Ia

in Racemat- oder Enantiomerenform; in Form einer freien Säure oder eines Salzes, Esters oder δ-Lactons, d. h. inneren Esters, wobei das Verhältnis von erythro- zu threo-Isomeren 99,5:0,5 oder höher ist."
IV. Die Beschwerdeführerin räumte ein, daß die beanspruchten Verbindungen zwar als solche aus der Literatur, beispielsweise aus den Entgegenhaltungen 1, 2 und 3, bekannt seien, allerdings nicht mit dem beanspruchten Reinheitsgrad, also mit einem Anteil des threo-Isomeren von nur 0,5 % oder weniger (siehe Nr. 1.2 der Beschwerdebegründung). Außerdem räumte sie ein, daß verschiedene Verfahren zur Reinigung von Verbindungen, die derselben Klasse angehörten wie die Verbindungen Ia, im Stand der Technik offenbart seien, beispielsweise im Dokument 3, das auch bestätige, daß diese Verbindungen zur Behandlung von Arteriosklerose eingesetzt werden könnten; alle diese Angaben seien im wesentlichen auch dem Dokument
(4) US-A-4 739 073
zu entnehmen. Sie behauptete aber, daß es mittels der bekannten Reinigungsverfahren offensichtlich niemals gelungen sei, den Anteil der threo-Verunreinigung auf weniger als rund 1 - 2 % zu senken (siehe Nr. 2.2 der Beschwerdebegründung). Zur Stützung dieser Behauptung führte sie das Dokument
(5) US-A-5 354 772
an.
Folglich müsse der ohne weiteres im industriellen Maßstab verfügbare Gegenstand des Anspruchs neu und erfinderisch sein.
V. Die Beschwerdeführerin beantragte die Aufhebung der angefochtenen Entscheidung und die Erteilung eines Patents auf der Grundlage des in der mündlichen Verhandlung vorgelegten Anspruchs. Am Ende der mündlichen Verhandlung verkündete der Vorsitzende die Entscheidung der Kammer, die Beschwerde zurückzuweisen.
Entscheidungsgründe
1. Die Beschwerde ist zulässig.
2. Nach Überzeugung der Kammer erfüllt der neue Anspruch die Erfordernisse der Artikel 84 und 123 (2) EPÜ.
3. Zu entscheiden ist über die Neuheit des beanspruchten Gegenstands, d. h. von (E)-erythro-3,5-Dihydroxy-7-[3'-(4"-fluorophenyl)-1'-(1"-methylethyl)-indol-2'-yl]-6-heptensäure (diese Verbindung wird im folgenden als erythro-Säure bezeichnet), ihres δ-Lactons sowie ihrer Salze und Ester zur Verwendung als Arzneimittel (die Gruppe der vom Anspruch der Streitanmeldung abgedeckten Verbindungen wird im folgenden als erythro-Verbindungen bezeichnet).
4. Da die Dokumente 3 und 4 nach Aussage der Beschwerdeführerin im wesentlichen identische Angaben enthalten, reicht es für diese Entscheidung aus, nur auf Dokument 4 einzugehen. Diese Entgegenhaltung offenbart die Herstellung des (racemischen) Methylesters der erythro-Säure, d. h. von (±)-(E)-erythro-3,5-Dihydroxy-7-[3'-(4"-fluorophenyl)-1'-(1"-methylethyl)-indol-2'-yl]-6-heptensäuremethylester, enthält aber keine Angaben zu seiner Reinheit. Außerdem wird - wie von der Beschwerdeführerin auch eingeräumt - offenbart, daß diese Verbindung zur Behandlung von Arteriosklerose eingesetzt werden kann (siehe Beispiel 5, Spalte 43, Zeile 65 bis Spalte 48, Zeile 68 und Spalte 2, Zeilen 15 bis 20 sowie Nr. IV). Das Dokument 4 offenbart somit auch die Verwendung des Methylesters der erythro-Säure als Arzneimittel, so daß diese Verwendung nicht als neues technisches Merkmal gemäß der Sonderregelung des Artikels 54 (5) EPÜ anzusehen ist. Damit ist das einzige Merkmal des Gegenstands des Anspruchs der Streitanmeldung, das im Dokument 4 nicht wörtlich offenbart ist, das Verhältnis erythro:threo von 99,5:0,5 oder höher.
5. Daher muß untersucht werden, ob dieses Merkmal, das eigentlich für einen bestimmten Grad der chemischen Reinheit (insbesondere der Diastereomeren-Reinheit) steht, ein "neues Element" in bezug auf diese Offenbarung im Sinne der Entscheidungen T 12/81 (ABl. EPA 1982, 296, Nr. 14.2 der Entscheidungsgründe) und T 12/90 (vom 23. August 1990, nicht im ABl. EPA veröffentlicht, Nr. 2.6 der Entscheidungsgründe) ist, das dem beanspruchten Gegenstand gegenüber der Entgegenhaltung 4 Neuheit verleiht.
6. Es gehört zum allgemeinen Fachwissen, daß jede mittels einer chemischen Reaktion erhaltene chemische Verbindung in der Regel aus verschiedenen Gründen - wie Nebenreaktionen oder unvollständige Umwandlung der Ausgangsstoffe - Verunreinigungen enthält und es aus thermodynamischen Gründen nicht möglich ist, eine - im engen Wortsinn - völlig reine, d. h. von jeglicher Verunreinigung freie Verbindung herzustellen.
7. Für einen Fachmann auf dem Gebiet der präparativen organischen Chemie ist es daher üblich, eine nach einem bestimmten chemischen Herstellungsverfahren erzeugte Verbindung je nach Bedarf - etwa als Probe für Analysezwecke - (weiter) zu reinigen. Herkömmliche Verfahren zur Reinigung niedermolekularer organischer Reaktionsprodukte wie Umkristallisation, Destillation oder Chromatographie gehören zum allgemeinen Fachwissen des Fachmanns. Daraus folgt, daß ein Dokument, das eine niedermolekulare chemische Verbindung und ihre Herstellung offenbart, diese Verbindung in der Regel in allen vom Fachmann gewünschten Reinheitsgraden im Sinne von Artikel 54 EPÜ der Öffentlichkeit zugänglich macht.
8. Nach Auffassung der Beschwerdeführerin gilt diese allgemeine Regel im vorliegenden Fall nicht. Die Kammer räumt ein, daß es Ausnahmefälle geben könnte, die einen anderen Schluß zulassen. Eine solche Ausnahme könnte - wie bereits die Prüfungsabteilung dargelegt hat (siehe Nr. 4 der Gründe der angefochtenen Entscheidung) - gegeben sein, wenn nachgewiesen wurde, daß aller Wahrscheinlichkeit nach alle früheren Versuche, mittels herkömmlicher Reinigungsverfahren einen bestimmten Reinheitsgrad zu erzielen, fehlgeschlagen sind. Die Beweislast für den Nachweis, daß ein solcher Ausnahmefall vorliegt, trägt aber der Beteiligte, der dies behauptet.
9. Nach Auffassung der Kammer hat sich die Beschwerdeführerin dieser Beweislast nicht entledigt.
9.1 Nach der Beweislage liegt ein solcher Ausnahmefall hier nicht vor. In Dokument 4 heißt es im Gegenteil, daß das Produkt jeder offenbarten Reaktion, d. h. auch der Methylester der erythro-Säure, "auf Wunsch mittels herkömmlicher Verfahren wie Umkristallisation gereinigt werden kann" (Spalte 29, Zeilen 36 ff.). Diese Lehre ist aus folgendem Grund in Verbindung mit der des Beispiels 5 dieses Dokuments zu sehen:
9.2 Entscheidend für die Feststellung, ob ein Dokument einen neuheitsschädlichen Stand der Technik offenbart, ist die Gesamtoffenbarung, die ein Fachmann diesem Dokument eindeutig entnehmen kann. Sofern dem keine Gründe entgegenstehen, kann die technische Lehre eines Beispiels daher mit der allgemeinen technischen Lehre kombiniert werden, die an anderer Stelle dieses Dokuments offenbart ist (siehe T 332/87 vom 23. November 1990, nicht im ABl. EPA veröffentlicht, Nrn. 2.2 und 2.3).
9.3 Damit offenbart die oben zitierte allgemeine Lehre des Dokuments 4 (siehe Nr. 9.1) in Verbindung mit der des Beispiels 5 dieses Dokuments dem Fachmann, daß der Methylester der erythro-Säure bei Bedarf auf herkömmliche Weise gereinigt werden kann. Somit hat das Dokument 4 diese Verbindung der Öffentlichkeit mit jedem gewünschten Reinheitsgrad und damit auch mit einer Diastereomeren-Reinheit von mindestens 99,5 % zugänglich gemacht. Der im Anspruch angegebene Grad der Diastereomeren-Reinheit kann also nicht als neues Element gelten, durch das sich der beanspruchte Gegenstand von dem im Dokument 4 offenbarten Stand der Technik unterscheidet.
10. Die Beschwerdeführerin hat vorgebracht, daß es sich hier um einen Ausnahmefall im Sinne der Nummer 8 handle, weil eine Reinheit der erythro-Verbindungen von 99,5 % oder höher im Stand der Technik nicht zu finden sei. Daß dieser Wert (oder besser gesagt dieser Reinheitsgrad) in keiner der Entgegenhaltungen 1, 2 oder 4 offenbart sei, beweise, daß es vor dem Prioritätstag der strittigen Anmeldung nicht möglich gewesen sei, eine solche Diastereomeren-Reinheit der erythro-Verbindungen zu erzielen.
11. Dieses Argument ist nicht stichhaltig. In der Akte gibt es keine Beweise dafür, daß jemals Versuche fehlgeschlagen wären, die erythro-Verbindungen bis zu einem gewünschten Grad der Diastereomeren-Reinheit - beispielsweise 99,5 % - zu reinigen.
11.1 Das Dokument 4 lehrt unmißverständlich, daß eine solche Reinigung vorgesehen ist (siehe Nr. 9.3). In diesem Zusammenhang ist darauf hinzuweisen, daß die Bedeutung des Begriffs "zugänglich" in Artikel 54 (2) EPÜ eindeutig über die schriftliche Beschreibung hinausgeht und auch die implizite Offenbarung technischer Informationen umfaßt, beispielsweise der zwangsläufigen, wenn auch nicht explizit offenbarten Ergebnisse eines im Stand der Technik beschriebenen Verfahrens. Daher kann der Gegenstand durch ein solches Dokument der Öffentlichkeit zugänglich geworden sein, auch wenn er dort nicht schriftlich offenbart war (siehe z. B. T 666/89, ABl. EPA 1993, 495, Nr. 6 der Entscheidungsgründe).
11.2 Das Dokument 1 offenbart, daß die Reduktion von β-Hydroxyketonen durch Natriumborhydrid in Gegenwart von Alkoxydialkylboranen 1,3-syn-Diole (d. h. erythro-Diole) mit einer Diastereomeren-Reinheit von mindestens 98 % (siehe Zusammenfassung) und den Methylester der erythro-Säure mit einer Diastereomeren-Reinheit von 98 % ergibt (Seite 152, Tabelle 1, Verbindung 14). Über Versuche zur weiteren Reinigung des Endprodukts wird nicht berichtet, was aber nicht weiter verwunderlich ist, weil sie mit dem eigentlichen Thema dieser wissenschaftlichen Veröffentlichung unvereinbar gewesen wären, nämlich der Stereoselektivität dieser Reduktion als solcher. Jede weitere Reinigung wäre unsinnig gewesen oder hätte ein falsches Bild von der Stereoselektivität der untersuchten Reaktion vermittelt.
11.3 Dieselben Überlegungen gelten auch für das Dokument 2, eine wissenschaftliche Veröffentlichung über die Stereoselektivität der Reduktion von β-Hydroxyketonen durch Natriumborhydrid in Gegenwart von insbesondere Diethylmethoxyboran, wobei eine Diastereomeren-Reinheit des gewonnenen Methylesters der erythro-Säure von über 98 % erzielt wird (Zusammenfassung und Seite 1925, Tabelle 2, Verbindung 4). Wie im Falle des Dokuments 1 wäre es unsinnig gewesen, den Methylester der erythro-Säure weiter zu reinigen oder zu untersuchen, welcher Reinheitsgrad der Verbindung mittels herkömmlicher Reinigungsschritte erzielt werden könnte.
11.4 In der mündlichen Verhandlung legte die Beschwerdeführerin das Dokument 5, das nicht zum Stand der Technik gehört, als Gutachten vor. Es offenbart Verfahren zur Herstellung des Methylesters der erythro-Säure mit einem Anteil von 2 - 4 % bzw. von höchstens 2 % des entsprechenden threo-Isomeren (Spalte 55, Zeilen 39 bis 42 und Spalte 56, Zeilen 42 bis 46 in Verbindung mit Spalte 54, Zeilen 34 und 35). Auch das Dokument 5 enthält keinen Anhaltspunkt dafür, daß versucht worden wäre, die erythro-Verbindungen mittels herkömmlicher Verfahren (z. B. fraktionierte Kristallisation laut Spalte 34, Zeilen 8 bis 10 dieser Entgegenhaltung) weiter zu reinigen, und daß alle diese Versuche fehlgeschlagen wären.
11.5 Die vorliegende Anmeldung ist eine Teilanmeldung. Auf die Stammanmeldung wurde ein Patent für ein bestimmtes Verfahren zur Gewinnung des jetzt beanspruchten Erzeugnisses erteilt. Es ist unstreitig, daß dieses Verfahren neu und erfinderisch ist; die Verwendung eines neuen und erfinderischen Verfahrens bedeutet aber noch nicht, daß das danach hergestellte Erzeugnis neu ist. Wie in der vorliegenden Anmeldung beschrieben, kann das jetzt beanspruchte Erzeugnis nach seiner Herstellung gemäß diesem neuen und erfinderischen Verfahren mittels herkömmlicher Umkristallisation weiter gereinigt werden. Damit ist aber nicht gesagt, daß das vorbekannte Erzeugnis des Dokuments 4 nicht ebenfalls mittels herkömmlicher Umkristallisation bis zu jedem gewünschten Grad gereinigt werden könnte.
11.6 Für das jetzt beanspruchte hochreine Erzeugnis werden keine anderen Verwendungsmöglichkeiten beschrieben als für das aus dem Dokument 4 bekannte Erzeugnis, und es ist auch nicht von nachteiligen Auswirkungen der threo-Verunreinigung die Rede. Es wird lediglich vorgebracht, daß Gesundheitsbehörden Wert auf möglichst reine Substanzen legten. Eine neue Verwendungsmöglichkeit als solche könnte einem bekannten Erzeugnis ohnehin keine Neuheit verleihen, und daß weiter gereinigte Erzeugnisse nicht dokumentiert sind, hängt damit zusammen, daß sich solche hochreinen Erzeugnisse routinemäßig gewinnen lassen und nicht wegen ihrer Reinheit von besonderem technischem Interesse sind. Interessant wäre lediglich, sie möglichst preisgünstig herstellen zu können.
11.7 Daher gelangt die Kammer zu dem Schluß, daß weder die vorliegende Anmeldung noch eines der Dokumente 1, 2 und 5 darauf schließen läßt, daß ein Ausnahmefall im Sinne der Nummer 8 vorliegt, wie von der Beschwerdeführerin behauptet wird. Nichts spricht dagegen, daß die technische Lehre des Dokuments 4 so ist, wie unter der Nummer 9.3 ausgeführt.
12. Außerdem berief sich die Beschwerdeführerin auf die Entscheidungen T 296/87, T 1048/92 und T 595/90. Die Kammer kann dieser Argumentation nicht folgen und schließt sich auch in diesem Punkt der Prüfungsabteilung an.
12.1 In der Entscheidung T 296/87 (ABl. EPA 1990, 195) war zu untersuchen, "ob das Bekanntsein einer chemischen Formel, die erkennbar ein (einziges) asymmetrisches Kohlenstoffatom enthält, die Neuheit nicht nur der betreffenden Verbindung in Racematform, sondern auch der zugrundeliegenden Enantiomeren ... zerstört", obwohl die Enantiomeren darin überhaupt nicht erwähnt werden (Nr. 6 der Entscheidungsgründe). Es wurde entschieden, daß ein Enantiomer durch seine spezifische Raumform gekennzeichnet ist, die durch ein Dokument, das lediglich das Racemat beschreibt, nicht offenbart wird (Nr. 6.1 der Entscheidungsgründe). Somit galt die spezifische Raumform des Enantiomers als Merkmal, das dieses vom Racemat unterschied. Nach Auffassung der Kammer war die Sache T 296/87 anders gelagert als der vorliegende Fall, wo die zur Verwendung als Arzneimittel beanspruchten Verbindungen genau dieselben strukturellen Merkmale aufweisen wie die des Stands der Technik. Daher gelangt die Kammer zu dem Schluß, daß die Entscheidung T 296/87 nicht auf den vorliegenden Fall übertragbar ist.
12.2 Aus denselben Gründen ist auch die Entscheidung T 1048/92 vom 5. Dezember 1994 für den vorliegenden Fall nicht relevant. Ihr lag insofern ein ähnlicher Sachverhalt wie der Entscheidung T 296/87 zugrunde, als ein angeblich neuheitsschädliches Dokument die spezifische Raumform des in der Streitanmeldung beanspruchten Enantiomeren nicht eindeutig offenbarte (siehe T 1048/92, nicht im ABl. EPA veröffentlicht, Nr. 2.5 der Entscheidungsgründe).
12.3 Die Entscheidung T 595/90 (ABl. EPA 1994, 695) ist ebenfalls nicht relevant, weil es darin lediglich um die erfinderische Tätigkeit eines Erzeugnisses ging, das zwar als solches vorstellbar war, für das aber kein Herstellungsverfahren bekannt war (Nr. 5 der Entscheidungsgründe, l. c., insbesondere Seiten 702 und 703). Im vorliegenden Fall geht es um die Neuheit und nicht um die erfinderische Tätigkeit, und herkömmliche Verfahren zur Gewinnung des beanspruchten Erzeugnisses gemäß der Streitanmeldung gehören zum allgemeinen Fachwissen des Fachmanns (siehe Nrn. 8 und 9.1).
13. Daraus folgt, daß dem Antrag der Beschwerdeführerin nicht stattgegeben werden kann, weil die beanspruchte Erfindung die Erfordernisse der Artikel 52 (1) und 54 EPÜ nicht erfüllt, und die Beschwerde somit zurückzuweisen ist.
14. Unter diesen Umständen muß auf die Frage der erfinderischen Tätigkeit nicht mehr eingegangen werden.
Entscheidungsformel
Aus diesen Gründen wird entschieden:
Die Beschwerde wird zurückgewiesen.