BESCHWERDEKAMMERN
Entscheidungen der Technische Beschwerdekammern
Entscheidung der Technischen Beschwerdekammer 3.3.01 vom 12. April 2005 - T 713/02 - 3.3.01
(Übersetzung)
Zusammensetzung der Kammer:
Vorsitzender: | A. J. Nuss |
Mitglieder: | R. Freimuth |
| R. T. Menapace |
Anmelder: Avecia Biotechnology Inc.
Stichwort: Phosphoramidite/AVECIA
Artikel: 54, 111 (1), 112 (1) a) EPÜ
Schlagwort: "Berichtigung von Prioritätsangaben nach Veröffentlichung der Anmeldung (nicht gestattet) - keine gesonderte positive Entscheidung im Prüfungsverfahren - keine Bindungswirkung - keine res judicata - Öffentlichkeit überrascht - Berichtigung nicht unverzüglich beantragt" - "Neuheit (verneint) - vorveröffentlichte Druckschrift" - "Befassung der Großen Beschwerdekammer (verneint) - Fragen für die Entscheidung unerheblich" - "Rückzahlung der Beschwerdegebühr (verneint) - Beschwerde erfolglos"
Leitsätze
I. Hat der Formalsachbearbeiter einem Antrag auf Berichtigung von Prioritätsangaben stattgegeben, so ist die Angelegenheit damit dennoch nicht bindend zu Gunsten des Anmelders entschieden, bevor nicht die das Erteilungsverfahren abschließende Entscheidung ergangen ist, und kann folglich von der Beschwerdekammer überprüft werden (Nr. 2.1 der Entscheidungsgründe).
II. Die Prüfung eines Antrags auf Berichtigung von Prioritätsangaben nach Veröffentlichung der Anmeldung darf nicht auf den Teil der Sachverhalte und Umstände beschränkt werden, der laut einer Beschwerdekammerentscheidung in einer anderen Sache einer Berichtigung nicht entgegenstand. So kann im vorliegenden Fall nicht darüber hinweggesehen werden, dass die beantragte Berichtigung durch Hinzufügung eines früheren Prioritätstags eine hoch relevante Druckschrift aus dem Stand der Technik gemäß Artikel 54 (2) EPÜ eliminiert hätte, die die Anmelderin zuvor de facto als zum Stand der Technik gehörend anerkannt hatte (Nr. 2.2 der Entscheidungsgründe).
Sachverhalt und Anträge
I. Die am 14. März 2002 eingereichte Beschwerde richtet sich gegen die Entscheidung der Prüfungsabteilung vom 25. Januar 2002 über die Zurückweisung der europäischen Patentanmeldung Nr. 96 933 245.1, die als internationale Anmeldung eingereicht und unter der Nummer WO 97/42202 veröffentlicht wurde.
II. Der angefochtenen Entscheidung lag ein Satz von sechs Ansprüchen zu Grunde, die am 21. Dezember 2000 eingereicht wurden. Der unabhängige Anspruch 1 lautet wie folgt:
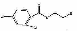
1. Ein bifunktionelles phosphitylierendes Reagens mit der allgemeinen Struktur:
, wobei
R gleich 
oder
ist,
wobei das am weitesten rechts stehende O, C oder S die Bindungsstelle zum Phosphor ist;
X gleich

oder
ist,
wobei das am weitesten links stehende N die Bindungsstelle zum Phosphor ist;
und Y gleich
oder
ist,
wobei das am weitesten links stehende N die Bindungsstelle zum Phospor ist.
III. Die Prüfungsabteilung hielt die vorliegende Anmeldung für nicht neu. Insbesondere erachtete sie den Gegenstand, der gemäß dem anhängigen Antrag beansprucht wurde, als nicht neu gegenüber der Druckschrift
(1) Tetrahedron Letters, Volume 37, Issue 3, 331 - 334 (15. Januar 1996).
In dieser Druckschrift sei auf Seite 332, Schaubild 1 und auf Seite 333, Schaubild 2 a eine "Verbindung 1" offenbart worden, die ein phosphitylierendes Agens gemäß dem vorliegenden Anspruch 1 sei.
Die Druckschrift (1) gelte als Stand der Technik im Sinne von Artikel 54 (2) EPÜ, weil dem Antrag der Beschwerdeführerin (Anmelderin) auf Berichtigung der Prioritätsangaben in der vorliegenden Anmeldung gemäß Regel 88 EPÜ nicht stattgegeben worden sei. Die gewünschte Berichtigung auf den früheren Prioritätstag 6. Oktober 1995 anhand der US-Priorität 08/539939 sei nicht unverzüglich beantragt worden, was eine der Voraussetzungen für die Zulassung einer Berichtigung gewesen wäre (in Anlehnung an die Entscheidung J 6/91, ABl. EPA 1993, 657); die Anmelderin habe ihren Antrag rund vier Jahre nach dem Anmeldetag und rund drei Jahre nach dem Veröffentlichungstag der vorliegenden Anmeldung sowie nach Erhalt zweier Bescheide eingereicht, in denen der Einwand mangelnder Neuheit und erfinderischer Tätigkeit auf der Grundlage der Druckschrift (1) erhoben worden sei. Die Beschwerdeführerin (Anmelderin) habe es somit, als sie die Berichtigung der Prioritätsangaben in einem so späten Stadium des Verfahrens beantragte, an der gebotenen Sorgfalt mangeln lassen. Außerdem sei eine Berichtigung der Prioritätsangaben nach Veröffentlichung der Anmeldung nur in Ausnahmefällen zu gestatten, damit im Interesse der Öffentlichkeit die Rechtssicherheit gewahrt bleibe. Ließe man nämlich im vorliegenden Fall die Berichtigung zu, so könnte der Umfang des beanspruchten Gegenstands erheblich erweitert werden, wodurch das Interesse der Öffentlichkeit - dem vorrangige Bedeutung zukomme - verletzt würde (in Anlehnung an die Entscheidung J 7/94, ABl. EPA 1995, 817, Nr. 9 der Entscheidungsgründe).
Das Schreiben vom 18. April 2001, in dem ein Bediensteter, der kein Prüfer war, d. h. ein Formalsachbearbeiter, die Berichtigung der Prioritätsangaben gestattet hatte, betrachtete die Prüfungsabteilung nicht als Entscheidung, da es in Form einer "Kurzmitteilung" abgefasst und entgegen den Erfordernissen von Artikel 18 EPÜ nicht von den drei Mitgliedern der Prüfungsabteilung unterzeichnet worden sei. Zudem habe der Bedienstete, der kein Prüfer war, angesichts des Wortlauts von Regel 9 (3) EPÜ und Abschnitt III der Mitteilung des Vizepräsidenten GD 2 über die Wahrnehmung einzelner Geschäfte durch Bedienstete, die keine Prüfer sind (ABl. EPA 1999, 504) mit der Stellungnahme im Schreiben vom 18. April 2001 seine Befugnisse überschritten, weil damit technische und rechtliche Schwierigkeiten einhergegangen seien, die in der vorliegenden Sache den Ausgang der Sachprüfung erheblich beeinflusst hätten.
IV. Die Beschwerdeführerin reichte am 29. Mai 2002 zusammen mit der Beschwerdebegründung einen geänderten Satz von sechs Ansprüchen ein. Der unabhängige Anspruch 1 dieses Anspruchssatzes ist mit dem Anspruch 1 identisch, der am 21. Dezember 2000 bei der Prüfungsabteilung eingereicht wurde (vgl. oben Nr. II).
Die Beschwerdeführerin stellte nicht in Abrede, dass die Druckschrift (1) eine in Anspruch 1 definierte Verbindung offenbare, bestritt aber, dass sie Stand der Technik nach Artikel 54 EPÜ sei.
Die Beschwerdeführerin machte geltend, dass die Druckschrift (1) nach dem frühesten Prioritätstag der vorliegenden Anmeldung veröffentlicht worden sei, der - gestützt auf die US-Prioritätsunterlage 08/539939 - auf den 6. Oktober 1995 zu berichtigen sei. Sie habe es nicht an der gebotenen Sorgfalt mangeln lassen, als sie die Berichtigung in einem vorgerückten Verfahrensstadium beantragt habe, denn als der Fehler erkennbar geworden sei, habe sie die Berichtigung sofort veranlasst. Sie sei sich des Fehlers nicht bewusst gewesen, weil sie von ihren amerikanischen Patentvertretern die Auskunft erhalten habe, dass die Priorität der US-Anmeldung 08/539939 in Anspruch genommen worden sei. Nachdem der Fehler entdeckt worden sei, habe man unverzüglich seine Berichtigung beantragt. Im Übrigen blieben die Rechte der Öffentlichkeit durch die beantragte Berichtigung der Priorität aus denselben Gründen unverletzt, die in der Entscheidung J 6/91 (a. a. O.) genannt seien, und dort habe die Beschwerdekammer die Berichtigung gestattet. Das Interesse der Öffentlichkeit sei dadurch geschützt worden, dass die veröffentlichte Anmeldung ohne Weiteres habe erkennen lassen, dass bei der Angabe des beanspruchten Prioritätstags möglicherweise ein Fehler unterlaufen sei, denn in der Anmeldung heiße es, sie sei "eine Continuation-in-part-Anmeldung der US-Anmeldung Nr. 08/539939, die am 6. Oktober 1995 eingereicht wurde". Anmeldetag sei der 4. Oktober 1996 gewesen, d. h. nur zwei Tage vor Ablauf der zwölfmonatigen Frist für die Inanspruchnahme des betreffenden Prioritätsrechts, aber fünf Monate nach dem ursprünglich in Anspruch genommenen Prioritätstag. Dieser Umstand habe der Öffentlichkeit während der Anhängigkeit der Anmeldung als Hinweis gedient. Aus diesen Gründen sollte dem Antrag der Beschwerdeführerin auf Berichtigung des Prioritätstags stattgegeben werden.
Die Beschwerdeführerin bezweifelte, dass die Prüfungsabteilung befugt sei, die vom Formalsachbearbeiter gestattete Berichtigung des Prioritätstags rückgängig zu machen. Zwar habe der Formalsachbearbeiter dies in Form einer "Kurzmitteilung" formuliert, doch sei das von ihm Mitgeteilte eindeutig eine Entscheidung über den Antrag auf Berichtigung des Prioritätstags. Diese Entscheidung sei vom zuständigen Bediensteten im Namen der Prüfungsabteilung getroffen worden, so dass die Unterschriften der drei Mitglieder der Prüfungsabteilung - wie bei vielen anderen Entscheidungen von Formalsachbearbeitern auch - nicht erforderlich gewesen seien. Im vorliegenden Fall sei der Formalsachbearbeiter im Rahmen des Zuständigkeitsbereichs tätig gewesen, der ihm mit der Mitteilung des Vizepräsidenten GD 2 über die Wahrnehmung einzelner Geschäfte durch Bedienstete, die keine Prüfer sind, und hier insbesondere in Abschnitt I, Nummer 23, übertragen worden sei (a. a. O.). Diese Mitteilung stehe nicht im Widerspruch zu Regel 9 (3) EPÜ, die den Präsidenten des EPA ermächtige, die Wahrnehmung einzelner Geschäfte, die technisch oder rechtlich keine Schwierigkeiten bereiteten, auf Bedienstete zu übertragen, die keine Prüfer sind, wie die Große Beschwerdekammer in ihrer Entscheidung G 1/02 bestätigt habe (ABl. EPA 2003, 165). Infolgedessen sei die Entscheidung des Formalsachbearbeiters über die Berichtigung des Prioritätstags rechtswirksam ergangen und somit für die Prüfungsabteilung bindend.
Es sei daher nicht richtig, die vorliegende Anmeldung wegen mangelnder Neuheit gegenüber der Druckschrift (1) zurückzuweisen, die nach dem berichtigten Prioritätstag veröffentlicht worden sei.
Hilfsweise schlug die Beschwerdeführerin vor, der Großen Beschwerdekammer folgende Rechtsfragen vorzulegen:
"1. Schließt Nummer 23 der Mitteilung des Vizepräsidenten GD 2 vom 28. April 1999 über die Wahrnehmung einzelner den Prüfungsabteilungen obliegender Geschäfte durch Bedienstete, die keine Prüfer sind, die Berichtigung in Anspruch genommener Prioritätstage ein?
2. Falls Frage 1 zu bejahen ist, kann eine Prüfungsabteilung dann nachträglich eine Entscheidung aufheben, die von einem Bediensteten getroffen wurde, der im Rahmen seines Zuständigkeitsbereichs tätig war?
3. Falls Frage 2 zu bejahen ist, unter welchen Umständen kann die Entscheidung aufgehoben werden, und unterliegt die Möglichkeit zur Aufhebung einer solchen Entscheidung etwaigen Einschränkungen?
4. Falls Frage 2 zu verneinen ist, stellt die nachträgliche Aufhebung einer solchen Entscheidung einen wesentlichen Verfahrensmangel dar?"
Die Beschwerdeführerin machte ferner geltend, dass der Prüfungsabteilung ein wesentlicher Verfahrensmangel unterlaufen sei, als sie die Entscheidung des Formalsachbearbeiters aufgehoben habe, was die Rückzahlung der Beschwerdegebühr rechtfertige.
V. In ihrem Hauptantrag beantragte die Beschwerdeführerin die Aufhebung der angefochtenen Entscheidung und die Erteilung eines Patents auf der Grundlage des am 29. Mai 2002 eingereichten geänderten Anspruchssatzes; in ihrem ersten Hilfsantrag beantragte sie, die Entscheidung der Prüfungsabteilung in Bezug auf die vom Formalsachbearbeiter gestattete Berichtigung des Prioritätstags aufzuheben und den Fall zur Prüfung auf der Grundlage des berichtigten Prioritätstags an die erste Instanz zurückzuverweisen, und in ihrem zweiten Hilfsantrag, dass die Kammer die oben dargelegten Rechtsfragen der Großen Beschwerdekammer vorlege. Die Beschwerdeführerin beantragte ferner die Rückzahlung der Beschwerdegebühr.
Mit ihrem Schreiben vom 10. März 2005 zog die Beschwerdeführerin ihren Antrag auf mündliche Verhandlung zurück und beantragte eine Entscheidung auf der Grundlage der Schriftsätze.
VI. Die mündliche Verhandlung fand am 12. April 2005 in Abwesenheit der ordnungsgemäß geladenen Beschwerdeführerin statt. Am Ende der Verhandlung verkündete die Kammer ihre Entscheidung.
Entscheidungsgründe
1. Die Beschwerde ist zulässig.
2. Prioritätsrecht
Der Neuheitseinwand in der angefochtenen Entscheidung stützte sich auf die Druckschrift (1). Veröffentlicht wurde diese Druckschrift vor dem zunächst einzigen in der vorliegenden Anmeldung beanspruchten Prioritätstag, d. h. vor dem 9. Mai 1996, aber nach dem 6. Oktober 1995, dessen Hinzufügung als weiteren Prioritätstag die Beschwerdeführerin später im Wege einer Berichtigung gemäß Regel 88 EPÜ beantragte. Diese Berichtigung ist strittig, so dass ihre Rechtsgültigkeit zu prüfen ist, bevor festgestellt werden kann, ob die Druckschrift (1) als Stand der Technik gemäß Artikel 54 (2) EPÜ gewertet werden kann.
2.1 Rechtsprechung der Kammer
Nachdem der Formalsachbearbeiter der Beschwerdeführerin (Anmelderin) schriftlich mitgeteilt hatte, dass ihrem Antrag auf Berichtigung stattgegeben worden sei, bezog die Prüfungsabteilung in der angefochtenen Entscheidung eine entgegengesetzte Position. Diese wurde von der Beschwerdeführerin u. a. mit dem Argument angefochten, dass die Prüfungsabteilung nicht befugt sei, eine ihrer Ansicht nach bindende Entscheidung eines zuständigen EPA-Bediensteten aufzuheben, der ermächtigt sei, im Namen der Prüfungsabteilung in dieser Sache zu verfügen (vgl. oben Nr. IV).
2.1.1 Gemäß der ersten Alternative von Artikel 111 (1) Satz 2 EPÜ kann die Beschwerdekammer im Rahmen der Zuständigkeit des Organs tätig werden, das die angefochtene Entscheidung erlassen hat. Dies schließt auch Formalsachbearbeiter ein, die gemäß Regel 9 (3) EPÜ im Namen der Prüfungsabteilung tätig waren. Bei der Prüfung, ob die Beschwerde begründet ist (Artikel 110 (1) EPÜ), sind die Beschwerdekammern im Ex-parte-Verfahren weder auf die Überprüfung der Gründe der angefochtenen Entscheidung noch auf die dieser Entscheidung zu Grunde liegenden Tatsachen und Beweismittel beschränkt. Dies gilt auch für die Patentierungserfordernisse, die die Prüfungsabteilung in einem Bescheid oder in einer Entscheidung auf Zurückweisung der Anmeldung als erfüllt bezeichnet hat (vgl. Entscheidung G 10/93, ABl. EPA 1995, 172, Nr. 3 der Entscheidungsgründe), und erst recht für diejenigen Erfordernisse, die als nicht erfüllt angesehen wurden. Von der Überprüfung durch die Beschwerdekammern ausgeschlossen ist nur, was als res judicata gilt, d. h. Streitsachen, die nicht oder nicht mehr beschwerdefähig sind, weil sie Gegenstand einer anderen, rechtskräftig gewordenen Entscheidung sind.
2.1.2 Dies wirft die Frage nach der Rechtsnatur des amtlichen Schreibens des Formalsachbearbeiters auf, das der "Kurzmitteilung" vom 18. April 2001 beigefügt war (vgl. oben Nr. III); dieses beginnt mit der Feststellung "In Bezug auf die Anmeldung Nr. 96933245.1 wird Folgendes entschieden: Dem Antrag auf Hinzufügung der Priorität der (am 6. Oktober 1995 eingereichten) US-Anmeldung 08/539939 wird stattgegeben", es enthält anschließend eine kurze Begründung und endet mit dem Satz "Der Prioritätstag wird somit auf den 6. Oktober 1995 geändert".
2.1.3 Würde das Schreiben des Formalsachbearbeiters eine (Zwischen-)Entscheidung im Sinne von Artikel 106 EPÜ darstellen, wäre es rechtskräftig und für das herausgebende Organ des EPA bindend (vgl. Entscheidung T 222/85, ABl. EPA 1988, 128, Nr. 3 der Entscheidungsgründe). Eine Beschwerde gegen eine verwaltungsrechtliche Entscheidung, die einen Antrag des einzigen Verfahrensbeteiligten betrifft und diesem in vollem Umfang stattgibt, ist außerdem im Ex-parte-Verfahren gar nicht zulässig, weil die antragstellende Partei dadurch nicht beschwert wird. Dies gilt für alle derartigen Entscheidungen, die von einer Stelle des EPA (rechtswirksam) erlassen werden, die mit Verfahren im Rahmen des EPÜ befasst ist; dazu gehören auch Formalsachbearbeiter, die im Namen der Prüfungsabteilung tätig sind (Regel 9 (3) EPÜ und Mitteilung des Vizepräsidenten GD 2, a. a. O.).
2.1.4 Ob ein vom EPA herausgegebenes Dokument eine Entscheidung oder einen Bescheid darstellt, hängt von der Substanz seines Inhalts und nicht von seiner Form ab (vgl. z. B. Entscheidung J 8/81, ABl. EPA 1982, 10). Es ist daher unerheblich, dass der strittige Text formal ein bloßes Schreiben war und als Anlage zu einer "Kurzmitteilung" versandt wurde, und es ist auch nicht von Bedeutung, dass darin "entschieden" wurde, dem Antrag stattzugeben. Ebenso wenig spielt es eine Rolle, dass in der oben erwähnten Mitteilung des Vizepräsidenten GD 2 unter Abschnitt I Nr. 23 die Formulierung "Entscheidung über die Berichtigung von Mängeln [...] (Regel 88 EPÜ)" verwendet wird.
Das Kriterium der Substanz ist stets im Verfahrenskontext zu beurteilen, insbesondere auch unter Berücksichtigung der Folgen, die eine unwiderrufliche Festlegung der jeweiligen Angelegenheit - in diesem Fall die Hinzufügung einer früheren Priorität - im betreffenden Verfahrensstadium hätte, nämlich hier mitten in der Sachprüfung, bevor diese gemäß Artikel 97 EPÜ im Wege einer Entscheidung über die Erteilung eines Patents oder die Zurückweisung der Anmeldung abgeschlossen wurde.
Dies ist im vorliegenden Fall besonders kritisch, weil die Prüfungsabteilung bereits zwei Bescheide erlassen hatte, in denen sowohl mangelnde Neuheit als auch mangelnde erfinderische Tätigkeit geltend gemacht wurde, als der Formalsachbearbeiter einer Berichtigung der Prioritätsangaben zustimmte und der Beschwerdeführerin erlaubte, eine weitere Priorität hinzuzufügen; die daraus resultierende Vorverlegung des frühesten Prioritätstags vom 9. Mai 1996 auf den 6. Oktober 1995 wirkte sich störend auf die laufende Sachprüfung aus.
2.1.5 Anders als in Fällen, in denen einem totalen Rechtsverlust gemäß den Artikeln 121 oder 122 EPÜ abgeholfen wird, kann das Erteilungsverfahren durchaus fortgesetzt werden, ohne dass eine endgültige und bindende Entscheidung darüber ergeht, ob eine Priorität wirksam in Anspruch genommen wurde. Die Rechtsgültigkeit eines Prioritätsanspruchs nach dem EPÜ wird daher während des Erteilungsverfahrens nicht mit einer gesonderten Entscheidung festgestellt, und zwar selbst dann nicht, wenn es auf Grund eines während der Prioritätsfrist zu Tage tretenden einschlägigen Stands der Technik wichtig wäre. Es gibt keinen triftigen Grund, diese Frage bindend zu Gunsten des Anmelders zu entscheiden, bevor nicht die das Erteilungsverfahren abschließende Entscheidung ergangen ist. Ebenso wird gemäß Regel 69 (2) EPÜ eine "Entscheidung [...] nur dann getroffen", wenn das Amt zu Ungunsten des Anmelders entscheidet; fällt die Entscheidung dagegen zu seinen Gunsten aus, so wird er lediglich "unterrichtet". Sofern nicht besondere Umstände vorliegen, besteht also keine Notwendigkeit, einem Antrag auf Berichtigung einer Prioritätserklärung im Wege einer gesonderten Zwischenentscheidung mit unmittelbarer und endgültiger Rechtswirkung stattzugeben.
2.1.6 Würde während des laufenden Prüfungsverfahrens die Berichtigung einer Prioritätserklärung im Wege einer endgültigen Entscheidung gestattet, würde sich dies insofern negativ auf den Ausgang der Sachprüfung auswirken, als die Prüfungsabteilung dann gezwungen sein könnte, ein Patent selbst dann zu erteilen, wenn sich herausstellen sollte, dass gar nicht alle Erfordernisse des EPÜ erfüllt sind. Eine solche Vorfestlegung im Wege einer formellen Entscheidung wäre aber unvereinbar damit, dass die Prüfungsabteilung, insbesondere gemäß den Artikeln 94 (1), 96 (2) und 97 (1) EPÜ, und der in ihrem Namen handelnde Formalsachbearbeiter verpflichtet sind, dafür zu sorgen, dass keine Patente erteilt werden, die den Erfordernissen des EPÜ nicht genügen (vgl. Entscheidung G 10/93, a. a. O., Nr. 3 der Entscheidungsgründe).
Würde einem solchen Berichtigungsantrag unwiderruflich stattgegeben, würde dem Anmelder außerdem ein ungerechtfertigter Vorteil gegenüber der Öffentlichkeit und anderen Anmeldern eingeräumt, deren Interessen es bei der verspäteten Berichtigung von Prioritätsangaben ebenfalls zu schützen gilt (vgl. unten Nr. 2.2).
2.1.7 In Anbetracht dessen gibt es keinen Grund zur Annahme, dass das amtliche Schreiben, in dem der Formalsachbearbeiter mitteilte, dass die beantragte Berichtigung gestattet wurde, eine formelle (Zwischen-)Entscheidung darstellte; ebenso wenig ist diese Mitteilung aus objektiven Gründen als eine Entscheidung zu werten, deren Inhalt - die Hinzufügung einer weiteren Priorität im Wege einer Berichtigung gemäß Regel 88 EPÜ - res judicata war, und die Herleitung einer solchen Wirkung aus dem Grundsatz des Vertrauensschutzes oder des guten Glaubens entbehrt jeglicher Grundlage.
2.1.8 Unabhängig davon, ob der Formalsachbearbeiter tatsächlich ultra vires handelte (wie die Prüfungsabteilung meinte), folgt aus dem oben Gesagten, dass die Frage, ob die zusätzliche Priorität im vorliegenden Fall wirksam in Anspruch genommen wurde, von der Beschwerdekammer im Rahmen der ihr in Artikel 111 (1) EPÜ verliehenen Befugnisse geprüft werden kann.
Mithin kann die von der Beschwerdeführerin aufgeworfene Frage, ob die Prüfungsabteilung nachträglich "eine Entscheidung" des Formalsachbearbeiters "aufheben" kann, im vorliegenden Fall unbeantwortet bleiben.
2.2 Berichtigung der Priorität
2.2.1 Auch wenn Regel 88 Satz 1 EPÜ im Falle eines unrichtigen Prioritätsanspruchs eine Berichtigung ohne jegliche zeitliche Beschränkung zulässt, liegt eine solche Berichtigung im Ermessen der zuständigen Stellen des EPA. Oberstes Prinzip bei der Ausübung des Ermessens ist eine gerechte Abgrenzung zwischen den Interessen der auf optimalen Schutz bedachten Anmelder und dem Rechtssicherheitsbedürfnis der Allgemeinheit, insbesondere was die Richtigkeit und Vollständigkeit der veröffentlichten Angaben betrifft (vgl. die Entscheidungen J 3/91, ABl. EPA 1994, 365, Nr. 4 der Entscheidungsgründe und J 14/82, ABl. EPA 1983, 121, Nr. 6 der Entscheidungsgründe). Aus diesem Grund muss ein Antrag auf Berichtigung eines Prioritätsanspruchs durch Hinzufügung einer Priorität so rechtzeitig gestellt werden, dass in die Veröffentlichung der Anmeldung ein entsprechender Hinweis aufgenommen werden kann. Als Ausnahme von dieser Regel ist die Berichtigung von Prioritätsangaben, die nicht so rechtzeitig beantragt wird, dass in die Veröffentlichung der Anmeldung ein entsprechender Hinweis aufgenommen werden kann, nur dann zuzulassen, wenn sie auf Grund besonderer Umstände gerechtfertigt ist und der Berichtigungsantrag unverzüglich gestellt wurde (vgl. Entscheidung J 6/91, a. a. O., Nrn. 3 (4) und 5.6 der Entscheidungsgründe; bestätigt durch J 7/94, a. a. O.). Damit soll der unbefriedigenden Situation vorgebeugt werden, dass die Öffentlichkeit, für die das Patent Konsequenzen hat, von einem Prioritätsanspruch überrascht wird, denn die Patentierbarkeit einer Erfindung lässt sich nur anhand des einschlägigen Stands der Technik beurteilen, der aber seinerseits nur ermittelt werden kann, wenn bekannt ist, ob eine Priorität rechtswirksam beansprucht wird. Um Beeinträchtigungen dieser Art auszuschließen, haben die Beschwerdekammern in Fällen, in denen die Berichtigung eines Prioritätstags nicht so rechtzeitig beantragt wurde, dass in die Veröffentlichung ein entsprechender Hinweis aufgenommen werden konnte, den Aspekt der Rechtssicherheit für die Öffentlichkeit mit besonderem Nachdruck hervorgehoben (vgl. die Entscheidung J 7/94, a. a. O., Nrn. 4 und 6 der Entscheidungsgründe).
2.2.2 Im vorliegenden Fall wurde die Anmeldung am 13. November 1997 veröffentlicht, wobei nur die Priorität der US-Anmeldung 08/647354 vom 9. Mai 1996 in Anspruch genommen wurde und kein Hinweis bezüglich der Prioritätsangaben enthalten war. Mit Schreiben vom 21. Dezember 2000 beantragte die Beschwerdeführerin die Berichtigung der Prioritätsangaben durch Hinzufügung eines Anspruchs auf die Priorität der US-Anmeldung 08/539939 vom 6. Oktober 1995. Da die Berichtigung der Prioritätsangaben nicht so rechtzeitig beantragt wurde, dass in die Veröffentlichung der Anmeldung ein entsprechender Hinweis aufgenommen werden konnte, konnte sie nur unter der Bedingung zugelassen werden, dass sie durch besondere Umstände gerechtfertigt war und die Beschwerdeführerin unverzüglich gehandelt hatte.
2.2.3 Im Hinblick auf das Erfordernis, wonach Berichtigungen unverzüglich beantragt werden müssen, ist festzuhalten, dass im vorliegenden Fall mehr als drei Jahre nach dem Veröffentlichungstag der Anmeldung vergingen und es mehrerer Bescheide seitens des Amts bedurfte, ehe die Beschwerdeführerin die Berichtigung des Prioritätstags beantragte, wobei allein schon die lange Verzögerung Anlass gibt, eingehender zu prüfen, ob dies unverzüglich geschah. Die Prüfungsabteilung machte in ihrem ersten Bescheid einen Neuheitseinwand auf der Grundlage der Druckschrift (1) geltend, die zum damaligen Zeitpunkt Stand der Technik gemäß Artikel 54 (2) EPÜ war, da sie vor dem damals rechtswirksamen ursprünglichen Prioritätstag veröffentlicht wurde. Mit diesem Einwand hatte die Beschwerdeführerin zu rechnen, weil diese Druckschrift bereits im Recherchenbericht als "X"-Dokument und damit als neuheitsschädlich ausgewiesen worden war.
2.2.4 Einen echten Fehler in Bezug auf den beanspruchten Prioritätstag hätte die Beschwerdeführerin spätestens dann erkennen müssen, als sie im ersten Bescheid mit dem auf die Druckschrift (1) gestützten Neuheitseinwand konfrontiert wurde, und dies hätte sie dazu veranlasst, unverzüglich eine Berichtigung der Prioritätsangaben zu beantragen, denn eine Berichtigung hätte die hoch relevante Druckschrift (1) aus dem Stand der Technik gemäß Artikel 54 (2) EPÜ eliminiert und so den Neuheitseinwand ausgeräumt, und zwar aus dem einfachen Grund, dass der berichtigte Prioritätstag vor dem Veröffentlichungstag dieser Druckschrift liegt. Stattdessen schränkte die Beschwerdeführerin in Erwiderung auf den ersten Bescheid der Prüfungsabteilung und mit dem Ziel, den Neuheitseinwand auszuräumen, den Gegenstand von Anspruch 1 durch einen Disclaimer ein und grenzte so die beanspruchte Erfindung von der Druckschrift (1) ab, die sie damit de facto als Stand der Technik anerkannte. Mit dieser Vorgehensweise, von der die Öffentlichkeit durch Akteneinsicht Kenntnis nehmen konnte, bewegte die Beschwerdeführerin die Öffentlichkeit dazu, sich darauf zu verlassen, dass die Angaben der veröffentlichten Anmeldung, einschließlich der Prioritätsangaben, richtig und vollständig und nicht mit Fehlern behaftet seien.
2.2.5 Erst nach einem zweiten Bescheid, in dem die Prüfungsabteilung auf Neuheit erkannte, aber einen Einwand gegen die erfinderische Tätigkeit gegenüber der Druckschrift (1) erhob, reichte die Beschwerdeführerin einen Antrag auf Berichtigung der Prioritätsangaben ein. Angesichts der Vorgehensweise, die die Beschwerdeführerin bis dahin im Prüfungsverfahren verfolgt hatte, kam dieser Antrag für die Öffentlichkeit überraschend und verstieß in Bezug auf den rechtswirksamen Prioritätstag und damit die Frage, ob die Druckschrift (1) einschlägiger Stand der Technik war, gegen den Grundsatz der Rechtssicherheit. Diese für die Öffentlichkeit unbefriedigende Situation soll durch die auf verspätete Berichtigungen anwendbaren Beschränkungen gerade verhindert werden (vgl. oben Nr. 2.2.1).
2.2.6 Bei einer gerechten Abgrenzung zwischen den Interessen der auf optimalen Schutz bedachten Beschwerdeführerin und dem Rechtssicherheitsbedürfnis der Allgemeinheit, insbesondere im Hinblick auf die Richtigkeit und Vollständigkeit der veröffentlichten Anmeldungsdaten, rechtfertigen es die hier vorliegenden Umstände, u. a. die fehlende Unverzüglichkeit, nicht, eine Ausnahme von der allgemeinen Regel zu machen, wonach ein Antrag auf Berichtigung bzw. Hinzufügung einer Priorität so rechtzeitig gestellt werden muss, dass in die Veröffentlichung der Anmeldung ein Hinweis aufgenommen werden kann.
2.2.7 Zur Stützung ihres Antrags auf Berichtigung des Prioritätstags argumentierte die Beschwerdeführerin, die Rechte der Öffentlichkeit würden durch die beantragte Berichtigung nicht verletzt, da der vorliegende Fall mit der in der Entscheidung J 6/91 (a. a. O.) behandelten Sache vergleichbar sei, in der man die Berichtigung gestattet habe. Genau wie damals sei das Interesse der Öffentlichkeit dadurch geschützt worden, dass die veröffentlichte Anmeldung ohne Weiteres habe erkennen lassen, dass bei der Angabe des beanspruchten Prioritätstags möglicherweise ein Fehler unterlaufen war, denn in der Anmeldung heiße es, sie sei "eine Continuation-in-part-Anmeldung" einer am 6. Oktober 1995 eingereichten US-Anmeldung. Der Anmeldetag der vorliegenden Anmeldung (4. Oktober 1996) liege nur zwei Tage vor Ablauf der zwölfmonatigen Frist für die Inanspruchnahme des Prioritätsrechts aus der erwähnten Continuation-in-part-Anmeldung. Diese Umstände hätten der Öffentlichkeit, solange die Anmeldung anhängig gewesen sei, als Hinweis gedient.
Die Beschreibung der vorliegenden Anmeldung enthält in der Tat einen Hinweis darauf, dass es sich um eine "Continuation-in-part"-Anmeldung einer bestimmten US-Anmeldung handelte. Die Beschwerdeführerin beruft sich zur Stützung ihres Anliegens auf die Entscheidung J 6/91, übersieht dabei aber deren Feststellung, dass "die Bezeichnung der [...] Anmeldung als Continuation-in-part-Anmeldung der informierten Öffentlichkeit allein noch keinen ausreichenden Hinweis darauf [gibt], dass möglicherweise die erste Priorität fehlt" (Nr. 5.5, dritter Absatz der Entscheidungsgründe). Anders als in der Sache J 6/91 kam im vorliegenden Fall der sehr verspätete Berichtigungsantrag auf Grund der spezifischen Handlungsweisen der Beschwerdeführerin für die Öffentlichkeit überraschend, selbst wenn alle maßgeblichen Informationen gebührend berücksichtigt werden, die in der veröffentlichten Anmeldung enthalten waren; auch wurde der Antrag nicht unverzüglich gestellt (vgl. oben Nrn. 2.2.4 bis 2.2.6). Insofern unterscheiden sich die maßgeblichen Umstände im vorliegenden Fall erheblich von denen, die der Entscheidung J 6/91 zu Grunde lagen, so dass sich die Beschwerdeführerin zur Stützung ihres Anliegens nicht mit Erfolg auf diese Entscheidung berufen kann.
2.2.8 Die Beschwerdeführerin machte ferner geltend, dass sie die Berichtigung der Prioritätsangaben unverzüglich veranlasst habe, als sie den Fehler erkannt habe. Der Fehler sei auf eine falsche Information seitens ihrer amerikanischen Patentvertreter zurückzuführen. Da sich die deutschen Patentvertreter auf den Erstbescheid der Prüfungsabteilung hin nicht weiter um die tatsächlichen Veröffentlichungsdaten gekümmert hätten, sei der Fehler in Bezug auf den Prioritätsanspruch erst erkannt worden, als die Zuständigkeit für die Weiterverfolgung der vorliegenden Anmeldung auf die IP-Abteilung der Beschwerdeführerin übergegangen sei. Als der Fehler festgestellt worden sei, habe man ohne ungebührliche Verzögerung die Berichtigung beantragt.
Bei einer objektiven Bewertung des Berichtigungsantrags der Beschwerdeführerin ergibt sich jedoch, dass dieser in Anbetracht des unter Nummer 2.2.4 Gesagten nicht als unverzüglich gestellt gelten kann. Die Argumentation der Beschwerdeführerin hinsichtlich der Unverzüglichkeit stützt sich vielmehr auf Mängel, die sie ausschließlich selbst zu vertreten hat. Diese Mängel können bei der Abgrenzung zwischen ihrem eigenen Interesse an optimalem Schutz und dem Rechtssicherheitsbedürfnis der Öffentlichkeit nicht in Betracht gezogen werden, da die Anmelder sonst auf Kosten des öffentlichen Interesses Vorteile aus Fehlern und Mängeln ziehen könnten, die in ihrem Einfluss- und Zuständigkeitsbereich liegen, und dies kann die Kammer nicht gutheißen.
2.3 Aus allen vorstehend genannten Gründen ist die von der Beschwerdeführerin beantragte Berichtigung der Prioritätsangaben gemäß Regel 88 EPÜ zurückzuweisen, was zur Folge hat, dass für die vorliegende Anmeldung als einzig wirksamer Prioritätstag der 9. Mai 1996 bestehen bleibt.
Hauptantrag
3. Neuheit
Die einzige substanzielle Frage in Zusammenhang mit dieser Beschwerde lautet, ob der beanspruchte Gegenstand neu gegenüber dem Stand der Technik ist.
3.1 Die Druckschrift (1) wurde am 15. Januar 1996 veröffentlicht, d. h. vor dem einzigen wirksamen Prioritätstag der vorliegenden Anmeldung, wie oben unter Nummer 2 ausgeführt, und bildet damit den Stand der Technik gemäß Artikel 54 (2) EPÜ. Die Beschwerdeführerin hat nie bestritten, dass diese Druckschrift ein phosphitylierendes Agens offenbart, das Gegenstand des vorliegenden Anspruchs 1 ist. So wird auf Seite 332, Schaubild 1 und auf Seite 333, Schaubild 2 ein phosphitylierendes Agens beschrieben, das als "Verbindung 1" bezeichnet wird und auf einer Formel beruht, die der allgemeinen Formel des vorliegenden Anspruchs 1 entspricht, in dem der Substituent R die Bedeutung NC-CH2-CH2-O- hat, der Substituent X als 3-Nitrotriazol-Gruppe vorliegt und der Substituent Y aus einer Diisopropylamino-Gruppe besteht.
3.2 Die Kammer gelangt daher zu dem Schluss, dass die Druckschrift (1) den Gegenstand von Anspruch 1 vorwegnimmt. Da über einen Antrag nur als Ganzes entschieden werden kann, muss keiner der übrigen Ansprüche geprüft werden.
Vor diesem Hintergrund ist der Hauptantrag der Beschwerdeführerin wegen mangelnder Neuheit gemäß den Artikeln 52 (1) und 54 EPÜ zurückzuweisen.
Erster Hilfsantrag
4. Aus den unter Nummer 2 genannten Gründen wurde die Berichtigung der Prioritätsangaben bei der vorliegenden Anmeldung zurückgewiesen. Daher muss der erste Hilfsantrag der Beschwerdeführerin, die Sache zur Fortsetzung der Prüfung auf der Grundlage eines berichtigten Prioritätstags an die erste Instanz zurückzuverweisen, zwangsläufig scheitern.
Zweiter Hilfsantrag
5. Befassung der Großen Beschwerdekammer
Gemäß Artikel 112 (1) a) EPÜ befasst eine Kammer die Große Beschwerdekammer, wenn sie eine Entscheidung für erforderlich hält, um eine einheitliche Rechtsanwendung sichern zu können oder wenn sich eine Rechtsfrage von grundsätzlicher Bedeutung stellt. Im Falle einer Rechtsfrage von grundsätzlicher Bedeutung wird die Große Beschwerdekammer aber nur dann befasst, wenn die Antwort notwendig ist, um über die jeweilige Sache zu entscheiden.
Im vorliegenden Fall hat die Beschwerdeführerin Fragen formuliert (vgl. oben Nr. IV), in denen es vor dem Hintergrund von Nummer 23 der Mitteilung des Vizepräsidenten GD 2 über die Wahrnehmung einzelner Geschäfte durch Bedienstete, die keine Prüfer sind (a. a. O.), darum geht, ob Formalsachbearbeiter für die Berichtigung von Prioritätsangaben zuständig sind und inwieweit deren Auffassung für die Prüfungsabteilung bindend ist. Unabhängig davon, ob die Berichtigung eines Prioritätstags im Prüfungsverfahren vom Formalsachbearbeiter oder von der Prüfungsabteilung gestattet wurde, hat eine solche Entscheidung, bevor nicht endgültig über die Anmeldung, d. h. über deren Zurückweisung oder die Erteilung eines Patents entschieden wurde, aber keine Bindungswirkung und kann im Wege einer Beschwerde von den Beschwerdekammern überprüft werden (vgl. oben Nr. 2.1.8).
Damit ist die Beantwortung von Frage 1 der Beschwerdeführerin für die Entscheidung in der vorliegenden Sache unerheblich. Da die Fragen 2 bis 4 von der ersten Frage abhängig sind, gilt für sie dasselbe.
Unter diesen Umständen kann dem Antrag der Beschwerdeführerin auf Befassung der Großen Beschwerdekammer nicht stattgegeben werden.
Rückzahlung der Beschwerdegebühr (Regel 67 EPÜ)
6. Regel 67 EPÜ setzt voraus, dass der Beschwerde stattgegeben wird, damit die Rückzahlung der Beschwerdegebühr angeordnet werden kann. Da die Beschwerde im vorliegenden Fall erfolglos ist, ist der Antrag der Beschwerdeführerin auf Rückzahlung der Beschwerdegebühr schon aus diesem Grund zurückzuweisen.
Entscheidungsformel
Aus diesen Gründen wird entschieden:
1. Der Antrag auf Befassung der Großen Beschwerdekammer wird zurückgewiesen.
2. Die Beschwerde wird zurückgewiesen.
3. Der Antrag auf Rückzahlung der Beschwerdegebühr wird zurückgewiesen.