CHAMBRES DE RECOURS
Décisions des Chambres de recours techniques
Décision de la Chambre de recours technique 3.3.01, en date du 12 avril 2005 - T 713/02 - 3.3.01
(Traduction)
Composition de la Chambre :
Président : | A. J. Nuss |
Membres : | R. Freimuth |
| R. T. Menapace |
Demandeur : Avecia Biotechnology Inc.
Référence : Phosphoramidites/AVECIA
Article : 54, 111(1), 112(1)a) CBE
Mot-clé : "Correction d'indications relatives à la priorité après publication de la demande (non autorisée) - pas de décision positive distincte pendant la procédure d'examen - pas d'effet contraignant - pas d'autorité de la chose jugée - tiers pris au dépourvu - correction non demandée immédiatement" - "Nouveauté (non) - document publié antérieurement" - "Saisine de la Grande Chambre de recours (non) - questions non pertinentes pour la présente décision" - "Remboursement de la taxe de recours (non) - recours rejeté"
Sommaire
I. Même si l'agent des formalités a fait droit à une requête en rectification d'indications relatives à la priorité, cette question n'est pas pour autant tranchée de façon définitive en faveur du demandeur avant que la décision mettant fin à la procédure de délivrance n'ait été rendue, et elle peut donc être réexaminée par la chambre de recours (point 2.1 des motifs).
II. L'examen d'une requête en rectification d'indications relatives à la priorité après publication de la demande ne doit pas se limiter à la partie des faits et circonstances qui, dans une décision rendue par une chambre de recours dans une autre affaire, était considérée comme ne faisant pas obstacle à la correction. Par conséquent, on ne peut ignorer, dans la présente affaire, que la correction demandée par adjonction d'une date de priorité antérieure, aurait pour effet d'éliminer de l'état de la technique au sens de l'article 54(2) CBE un document très pertinent, que le demandeur avait auparavant reconnu de fait comme étant compris dans cet état de la technique (point 2.2 des motifs).
Exposé des faits et conclusions
I. Le recours, formé le 14 mars 2002, est dirigé contre la décision de la division d'examen, postée le 25 janvier 2002, de rejeter la demande de brevet européen n° 96 933 245.1 qui avait été déposée en tant que demande internationale, publiée sous le n° WO 97/42202.
II. La décision attaquée a été rendue sur la base d'un jeu de six revendications déposées le 21 décembre 2000, la revendication 1 indépendante s'énonçant comme suit :
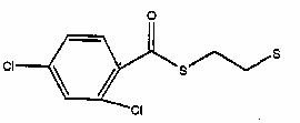
1. Un réactif de phosphitylation bifonctionnel ayant la structure générale :
, où
R représente 
ou
,
où le O, C, ou S le plus à droite est le point de liaison avec le phosphore ;
X représente

, ou
,
où le N le plus à gauche est le point de liaison avec le phosphore ;
et Y représente
, ou
,
où le N le plus à gauche est le point de liaison avec le phosphore.
III. La division d'examen a jugé que la présente demande était dépourvue de nouveauté et, en particulier, que l'objet revendiqué selon la requête en instance n'était pas nouveau eu égard au document
(1) Tetrahedron Letters, volume 37, numéro 3, 331 à 334 (15 janvier 1996).
Ce document divulgue, aux pages 332 (schéma 1) et 333 (schéma 2), un "composé 1" qui est un agent de phosphitylation selon la présente revendication 1.
Le document (1) a été considéré comme compris dans l'état de la technique au sens de l'article 54(2) CBE, parce qu'il ne pouvait être fait droit à la requête du requérant/demandeur visant à rectifier, conformément à la règle 88 CBE, les indications relatives à la priorité de la présente demande. La correction souhaitée, visant à ramener la date de priorité à la date antérieure du 6 octobre 1995 sur la base de la priorité américaine n° 08/539939, n'a pas été demandée immédiatement, ce qui constitue une des conditions à remplir pour autoriser la correction (en accord avec la décision J 6/91, JO OEB 1993, 657) ; en effet, le demandeur a présenté sa requête environ quatre ans après la date de dépôt et quelque trois ans après la date de publication de la présente demande, et après avoir reçu deux notifications soulevant des objections pour absence de nouveauté et défaut d'activité inventive sur la base du document (1) précité. Le requérant/demandeur n'a donc pas agi avec toute la diligence requise en demandant la correction des indications relatives à la priorité à un stade aussi tardif de la procédure. En outre, la correction des indications de priorité après publication de la demande ne doit être autorisée que dans des cas exceptionnels, afin de préserver la sécurité juridique dans l'intérêt des tiers. En effet, si la correction était autorisée en l'espèce, la portée de l'objet revendiqué pourrait s'en trouver considérablement étendue, ce qui léserait les intérêts des tiers. Or, ces intérêts sont d'une importance primordiale (en accord avec la décision J 7/94, JO OEB 1995, 817, point 9 des motifs).
En ce qui concerne la lettre du 18 avril 2001, dans laquelle un agent qui n'était pas examinateur, mais agent des formalités, avait autorisé la correction des indications relatives à la priorité, la division d'examen a estimé qu'il ne s'agissait pas d'une décision, puisque cette lettre se présentait sous la forme d'une "brève notification" et qu'elle n'avait pas été signée par les trois membres de la division d'examen, contrairement aux exigences de l'article 18 CBE. En outre, étant donné le texte de la règle 9(3) CBE et de la section III du communiqué du Vice-Président chargé de la DG 2, visant à confier certaines tâches à des agents qui ne sont pas des examinateurs (JO OEB 1999, 504), l'avis émis par l'agent non examinateur dans sa lettre du 18 avril 2001 dépassait le cadre de ses compétences, puisque cet avis impliquait des difficultés techniques et juridiques ayant une influence considérable sur l'issue de l'examen quant au fond dans la présente affaire.
IV. Le requérant a joint au mémoire exposant les motifs du recours déposé le 29 mai 2002 un jeu modifié de six revendications, dont la revendication 1 indépendante était identique à la revendication 1 produite le 21 décembre 2000 auprès de la division d'examen (cf. point II ci-dessus).
Le requérant n'a pas nié que le document (1) divulguait un composé couvert par la revendication 1, mais a contesté le fait que ce document soit compris dans l'état de la technique, conformément à l'article 54 CBE.
Le requérant a fait valoir que le document (1) avait été publié après la date de priorité la plus ancienne de la présente demande, date qu'il fallait corriger par celle du 6 octobre 1995 sur la base du document de priorité américain n° 08/539939. Le fait qu'il ait demandé cette correction à un stade tardif de la procédure ne signifie pas pour autant qu'il n'ait pas agi avec toute la diligence nécessaire, puisqu'il est intervenu immédiatement pour corriger l'erreur dès que celle-ci lui est apparue. Il ne s'était pas rendu compte qu'une erreur avait été commise parce que ses conseils en brevets américains lui avaient dit que la priorité de la demande américaine n° 08/539939 avait été revendiquée. Une fois l'erreur constatée, la requête en rectification a été produite sans retard indu. En outre, les droits des tiers n'ont pas été lésés par cette requête en rectification de la date de priorité, et ce pour les mêmes raisons que celles qui sont exposées dans la décision J 6/91 (loc. cit.), où la chambre de recours a autorisé la correction. L'intérêt des tiers a été protégé par le fait qu'il ressortait de la demande publiée qu'une erreur avait peut-être été commise en ce qui concerne la date de priorité revendiquée, puisque la demande contenait une indication selon laquelle il s'agissait d'une "continuation-in-part de la demande américaine n° 08/539939, déposée le 6 octobre 1995". La date de dépôt était le 4 octobre 1996, soit deux jours seulement avant l'expiration du délai de douze mois prévu pour revendiquer le droit de priorité en question, mais cinq mois après la date de priorité initialement revendiquée. Cette situation a servi d'indication pour les tiers pendant toute la période d'instance de la demande. Par conséquent, le requérant est d'avis qu'il doit être fait droit à sa requête en rectification de la date de priorité.
Le requérant a contesté la compétence de la division d'examen à annuler la correction de la date de priorité qui avait été autorisée par l'agent des formalités. Même si la réponse de l'agent des formalités avait la forme d'une "brève notification", il était clair que ce qu'il notifiait constituait une décision relative à la requête en rectification de la date de priorité. Cette décision a été rendue par l'agent compétent agissant au nom de la division d'examen, de sorte que les signatures des trois membres de cette division n'étaient pas nécessaires, comme c'est d'ailleurs le cas dans de nombreuses autres décisions rendues par des agents des formalités. En l'espèce, l'agent des formalités a agi dans le cadre des compétences qui lui ont été conférées par le communiqué du Vice-Président chargé de la DG 2, visant à confier certaines tâches à des agents qui ne sont pas des examinateurs (loc. cit.), notamment sa section I, point 23. Ce communiqué n'est pas contraire à la règle 9(3) CBE, qui donne au Président de l'OEB le pouvoir de déléguer certaines tâches ne présentant aucune difficulté technique ou juridique particulière à des agents qui ne sont pas des examinateurs, comme l'a confirmé la Grande Chambre de recours dans sa décision G 1/02 (JO OEB 2003, 165). Par conséquent, la décision de l'agent des formalités de corriger la date de priorité était valable et, à ce titre, s'imposait à la division d'examen.
Le rejet de la présente demande pour absence de nouveauté eu égard au document (1), qui a été publié après la date de priorité corrigée, était donc erroné.
A titre subsidiaire, le requérant a proposé de saisir la Grande Chambre de recours des questions de droit suivantes :
"1. Le point 23 du communiqué du Vice-Président chargé de la DG 2, en date du 28 avril 1999, visant à confier à des agents qui ne sont pas des examinateurs certaines tâches incombant normalement aux divisions d'examen, couvre-t-il la correction de dates de priorité revendiquées ?
2. Si la réponse à la question 1 est affirmative, une division d'examen peut-elle annuler ultérieurement une décision rendue par un membre du personnel agissant dans le cadre de ses compétences ?
3. Si la réponse à la question 2 est affirmative, dans quelles circonstances la décision peut-elle être annulée, et la possibilité d'annuler cette décision est-elle soumise à des restrictions ?
4. Si la réponse à la question 2 est négative, l'annulation ultérieure de cette décision constitue-t-elle un vice substantiel de procédure ?"
Le requérant a en outre fait valoir que la division d'examen avait commis un vice substantiel de procédure en annulant la décision de l'agent des formalités, ce qui justifie le remboursement de la taxe de recours.
V. Dans sa requête principale, le requérant a demandé que la décision faisant l'objet du recours soit annulée et qu'un brevet soit délivré sur la base du jeu modifié de revendications produit le 29 mai 2002 ; dans sa première requête subsidiaire, il a demandé que la décision de la division d'examen relative à la correction de la date de priorité autorisée par l'agent des formalités soit annulée et que l'affaire soit renvoyée devant la première instance pour examen sur la base de la date de priorité corrigée, et dans sa seconde requête subsidiaire, que la Chambre saisisse la Grande Chambre de recours des questions de droit précitées. Le requérant a également demandé le remboursement de la taxe de recours.
Dans sa lettre du 10 mars 2005, le requérant a retiré sa requête en procédure orale et demandé qu'une décision soit prise sur la base des documents.
VI. Le 12 avril 2005, la procédure orale a eu lieu en l'absence du requérant qui avait été dûment cité. A l'issue de la procédure, la décision de la Chambre a été prononcée.
Motifs de la décision
1. Le recours est recevable.
2. Droit de priorité
Dans la décision attaquée, l'objection d'absence de nouveauté était basée sur le document (1). Ce document a été publié avant la seule date de priorité initialement revendiquée dans la présente demande, à savoir le 9 mai 1996, mais après le 6 octobre 1995, date que le requérant a par la suite demandé d'ajouter comme nouvelle date de priorité par voie de correction au titre de la règle 88 CBE. Cette correction faisant l'objet d'un litige, il convient d'examiner sa validité avant de déterminer si le document (1) peut être considéré comme compris dans l'état de la technique au sens de l'article 54(2) CBE.
2.1 Compétence de la Chambre
Après que l'agent des formalités a fait savoir par écrit au requérant/demandeur qu'il avait été fait droit à sa requête en rectification, la division d'examen a adopté une position contraire dans la décision faisant l'objet du recours. Cette conclusion a été contestée par le requérant, au motif notamment que la division d'examen n'avait pas autorité pour annuler ce qui, selon lui, constituait une décision contraignante, rendue par un agent compétent de l'OEB habilité à statuer en la matière au nom de la division d'examen (cf. point IV ci-dessus).
2.1.1 Conformément à la première possibilité visée à l'article 111(1), deuxième phrase CBE, la chambre de recours peut effectivement exercer les compétences de l'instance qui a rendu la décision attaquée. Cela concerne également les agents des formalités qui agissent au nom de la division d'examen, conformément à la règle 9(3) CBE. Pour examiner le recours afin de déterminer s'il peut y être fait droit (article 110(1) CBE), les chambres de recours n'ont pas à se limiter, dans le cadre de procédures ex parte, à l'examen des motifs de la décision attaquée, ni aux faits et aux moyens de preuve sur lesquels cette décision est fondée. Cela vaut aussi pour les conditions de brevetabilité que la division d'examen a jugé remplies dans une notification ou dans une décision de rejet (cf. décision G 10/93, JO OEB 1995, 172, point 3 des motifs) et, à plus forte raison, pour les conditions qui ont été considérées comme non remplies. Les seules questions qui sont exclues d'un réexamen par les chambres de recours sont celles qui sont considérées comme passées en force de chose jugée, c'est-à-dire les questions qui ne sont pas ou plus susceptibles de recours parce qu'elles font l'objet d'une autre décision devenue définitive.
2.1.2 Cela pose la question du caractère juridique de la lettre officielle jointe par l'agent des formalités à la "brève notification" du 18 avril 2001 (cf. point III ci-dessus), lettre qui débutait par la déclaration suivante : "Dans l'affaire relative à la demande n° 96933245.1, il est décidé comme suit : il est fait droit à la requête visant à ajouter la priorité de la demande américaine 08/539939 (déposée le 6 octobre 1995)", et contenait ensuite un bref exposé des motifs, pour se terminer par la phrase "Par conséquent, la date de priorité est changée en celle du 6 octobre 1995".
2.1.3 Si cette lettre de l'agent des formalités constituait une décision (intermédiaire) au sens de l'article 106 CBE, elle serait finale et contraignante pour le service de l'OEB qui l'a envoyée (cf. par exemple décision T 222/85, JO OEB 1988, 128, point 3 des motifs). En outre, dans le cadre d'une procédure ex-parte, un recours dirigé contre une décision administrative relative à une requête présentée par l'unique partie à la procédure et faisant pleinement droit à cette requête n'est aucunement recevable, parce que la partie requérante ne s'en trouve pas lésée. C'est le cas de toutes les décisions de ce type (valablement) rendues par une instance de l'OEB chargée de procédures au titre de la CBE, y compris les agents des formalités agissant au nom d'une division d'examen (règle 9(3) CBE et communiqué du Vice-Président DG 2, loc. cit.).
2.1.4 C'est le contenu et non la forme d'un document émis par l'OEB qui permet de déterminer s'il s'agit d'une décision ou d'une communication (cf. par exemple décision J 8/81, JO OEB 1982, 10). Par conséquent, il importe peu que le texte en question ait eu la forme d'une simple lettre et qu'il ait été envoyé en annexe à une "brève notification", ou encore qu'il ait contenu les termes "...il est décidé" de faire droit à la requête. De même, le fait que le communiqué précité du Vice-Président chargé de la DG 2 utilise, en son point I.23, la formulation "Décision relative à la correction d'erreurs .... (règle 88 CBE)", n'est pas non plus un élément déterminant.
Le critère du contenu doit être évalué dans son contexte procédural, notamment en tenant aussi compte des conséquences qu'il y aurait à statuer irrévocablement sur la question en jeu - en l'occurrence l'adjonction d'une priorité antérieure - à un stade donné de la procédure, à savoir au milieu de la phase d'examen quant au fond, et avant que cette procédure ne soit conclue - comme le prévoit l'article 97 CBE - par une décision de délivrer un brevet ou de rejeter la demande.
Cet aspect est particulièrement crucial dans la présente affaire, parce que la division d'examen avait déjà émis deux notifications concluant à l'absence de nouveauté et au défaut d'activité inventive lorsque l'agent des formalités a accepté une correction des données relatives à la priorité en autorisant le requérant à ajouter une nouvelle priorité, ce qui a eu pour effet de ramener la date de priorité la plus ancienne du 9 mai 1996 au 6 octobre 1995, et donc d'interférer avec l'examen quant au fond en cours.
2.1.5 A la différence des cas où il est remédié à une perte totale de droits en application des articles 121 ou 122 CBE, la procédure de délivrance peut parfaitement se poursuivre en l'absence d'une conclusion définitive et contraignante selon laquelle une priorité a été valablement revendiquée. C'est pourquoi la validité d'une revendication de priorité selon la CBE n'est pas établie par une décision distincte au cours de la procédure de délivrance, même si cet aspect présente une importance capitale du fait qu'un état de la technique pertinent est apparu pendant le délai de priorité. Il n'y a aucune raison valable de trancher cette question de façon contraignante en faveur du demandeur avant que ne soit rendue la décision mettant fin à la procédure de délivrance. De la même façon, la règle 69(2) CBE énonce qu'une "décision n'est prise que dans le cas où" l'Office se prononce contre le demandeur ; si les conclusions lui sont favorables, il en est simplement "avisé". Il s'ensuit qu'il n'est pas nécessaire, en l'absence de circonstances particulières, de faire droit à une requête en rectification d'une déclaration de priorité au moyen d'une décision intermédiaire distincte prenant immédiatement effet et définitivement.
2.1.6 Si l'on autorisait en effet, pendant la procédure d'examen en cours, la correction d'une déclaration de priorité au moyen d'une décision définitive, l'issue de l'examen quant au fond s'en trouverait affectée, dans la mesure où la division d'examen pourrait alors se voir contrainte de délivrer un brevet, même s'il apparaît que toutes les conditions de la CBE n'ont en fait pas été remplies. Anticiper ainsi sur les conclusions de l'examen au moyen d'une décision formelle serait toutefois incompatible avec le fait que la division d'examen, tenue notamment par les articles 94(1), 96(2) et 97(1) CBE, et l'agent des formalités agissant en son nom, doivent veiller à ce qu'il ne soit délivré aucun brevet ne satisfaisant pas aux conditions de la CBE (cf. décision G 10/93, loc. cit., point 3 des motifs).
En outre, s'il était irrévocablement fait droit à cette requête en rectification, le demandeur s'en trouverait privilégié de façon injustifiée au détriment des tiers et des autres demandeurs, dont les intérêts doivent eux aussi être préservés lors d'une correction tardive des indications relatives à la priorité (cf. point 2.2 ci-dessous).
2.1.7 Compte tenu de ce qui précède, il n'y a pas lieu de supposer que la lettre officielle dans laquelle l'agent des formalités a déclaré qu'il avait été fait droit à la correction demandée, constituait une décision (intermédiaire) formelle ; de même, cette notification ne peut, pour des raisons objectives, être considérée comme une décision dont le contenu - à savoir l'adjonction d'une nouvelle priorité par voie de correction au titre de la règle 88 CBE - était contraignant ; enfin, il n'existe aucune base permettant de conclure à cet effet d'après le principe de la confiance légitime ou de la bonne foi.
2.1.8 Indépendamment du fait que l'agent des formalités ait ou non outrepassé ses pouvoirs (ultra vires), comme l'estime la division d'examen, il résulte de ce qui précède que la chambre de recours peut examiner, dans l'exercice des compétences que lui confère l'article 111(1) CBE, la question de savoir si la nouvelle priorité a été valablement revendiquée en l'espèce.
Il n'est donc pas nécessaire, dans la présente affaire, de répondre à la question soulevée par le requérant en vue de savoir si la division d'examen peut "annuler" après coup "une décision" de l'agent des formalités.
2.2 Correction de la priorité
2.2.1 Bien que la règle 88, première phrase CBE permette, dans le cas d'une revendication de priorité incorrecte, de procéder à une correction sans conditions de délai, une telle correction est laissée à l'appréciation des autorités compétentes de l'OEB. Le principe central qui régit l'exercice de ce pouvoir discrétionnaire est de peser l'intérêt du demandeur, qui est d'obtenir une protection optimale, et celui du public, qui est d'obtenir une sécurité juridique, en garantissant notamment que les données de la demande qui sont publiées sont exactes et complètes (cf. décisions J 3/91, JO OEB 1994, 365, point 4 des motifs et J 14/82, JO OEB 1983, 121, point 6 des motifs). Par conséquent, une requête en rectification d'une revendication de priorité par adjonction d'une priorité doit être présentée suffisamment tôt pour être signalée dans la publication de la demande. Par dérogation à cette règle, la correction d'indications relatives à la priorité qui n'est pas demandée suffisamment tôt pour être signalée dans la publication de la demande, ne peut être autorisée que si des circonstances particulières le justifient et que la requête en rectification a été présentée immédiatement (cf. décision J 6/91, loc. cit., points 3(4) et 5.6 des motifs, confirmée par J 7/94, loc. cit.). Ces règles visent à éviter de créer une situation insatisfaisante où la revendication de priorité prend au dépourvu les tiers affectés par le brevet, puisque la brevetabilité d'une invention ne saurait être appréciée indépendamment de l'état de la technique pertinent, lequel ne peut être déterminé qu'à condition de savoir si une priorité a été valablement revendiquée. Pour éviter cette situation insatisfaisante, les chambres de recours ont mis l'accent sur la sécurité juridique des tiers lorsque la requête en rectification d'une date de priorité n'a pas été présentée suffisamment tôt pour être signalée dans la publication (cf. décision J 7/94, loc. cit., points 4 et 6 des motifs).
2.2.2 Dans la présente affaire, la demande avait été publiée le 13 novembre 1997 et revendiquait exclusivement la priorité de la demande américaine n° 08/647354 en date du 9 mai 1996, sans toutefois signaler quoi que ce soit concernant les indications de priorité. Dans une lettre datée du 21 décembre 2000, le requérant a demandé que les indications relatives à la priorité soient corrigées par l'adjonction d'une revendication de priorité de la demande américaine n° 08/539939 du 6 octobre 1995. Ainsi, la requête en rectification des données de priorité n'ayant pas été présentée suffisamment tôt pour être signalée dans la publication de la demande, il ne pouvait y être fait droit que si des circonstances particulières le justifiaient et que le requérant avait agi immédiatement.
2.2.3 En ce qui concerne l'obligation de présenter immédiatement la requête en rectification, il est à noter qu'en l'espèce, il s'est écoulé plus de trois ans depuis la date de publication de la demande avant que le requérant ne présente, après plusieurs notifications de l'Office, une requête en rectification de la date de priorité, ce long délai impliquant à lui seul déjà d'examiner de plus près la rapidité de la correction. Dans sa première notification, la division d'examen a soulevé une objection pour absence de nouveauté sur la base du document (1) qui, à ce moment-là, constituait l'état de la technique au sens de l'article 54(2) CBE, puisqu'il avait été publié avant la date de priorité initiale qui était alors effective. Le requérant devait s'attendre à cette objection, étant donné que le rapport de recherche avait déjà classé ce document dans la catégorie "X", ce qui signifie qu'il était considéré comme destructeur de nouveauté.
2.2.4 C'est au plus tard au moment où il a été confronté, dans la première notification, à l'objection pour absence de nouveauté sur la base du document (1), que le requérant aurait dû déceler une erreur effective concernant la date de priorité revendiquée, ce qui l'aurait amené à présenter immédiatement une requête en rectification des indications relatives à la priorité. Ainsi, une correction aurait permis de répondre à cette objection pour absence de nouveauté en éliminant le très pertinent document (1) de l'état de la technique selon l'article 54(2) CBE, et ce pour la simple raison que la date de priorité corrigée est antérieure à la date de publication de ce document. Au lieu de cela, le requérant, en réponse à la première notification de la division d'examen et afin de répondre à l'objection relative à la nouveauté, a restreint l'objet de la revendication 1 au moyen d'un disclaimer, délimitant donc l'invention revendiquée par rapport au document (1). Le requérant a ainsi reconnu de fait que ce document faisait partie de l'état de la technique. Par cet acte, dont les tiers pouvaient avoir connaissance grâce à l'inspection publique, le requérant a donné lieu de croire au public que les données de la demande publiée, y compris les indications relatives à la priorité, étaient exactes, complètes et dénuées d'erreur.
2.2.5 Ce n'est qu'après une seconde notification, dans laquelle la division d'examen a reconnu la nouveauté, mais objecté le défaut d'activité inventive eu égard au document (1), que le requérant a présenté une requête en rectification des données de priorité. Etant donné la ligne de conduite adoptée jusqu'alors par le requérant pendant la procédure d'examen, cette requête a pris les tiers au dépourvu et était contraire au principe de sécurité juridique en ce qui concerne la date de priorité valable et, partant, la question de savoir si le document (1) faisait ou non partie de l'état de la technique pertinent. C'est justement cette situation insatisfaisante pour les tiers que l'on cherche à éviter en imposant des restrictions aux corrections tardives (cf. point 2.2.1 ci-dessus).
2.2.6 Ainsi, lorsque l'on pèse l'intérêt du requérant, qui est d'obtenir une protection optimale, et celui du public, qui est d'obtenir une sécurité juridique, en garantissant notamment que les données publiées de la demande sont exactes et complètes, les circonstances de l'espèce, en particulier le manque de rapidité, ne justifient pas qu'il soit dérogé au principe général selon lequel une requête en rectification (adjonction) d'une priorité doit être présentée suffisamment tôt pour pouvoir être signalée dans la publication de la demande.
2.2.7 A l'appui de sa requête en rectification de la date de priorité, le requérant a allégué que la correction demandée ne portait pas préjudice aux droits des tiers, la présente affaire étant comparable à celle qui a fait l'objet de la décision J 6/91 (loc. cit.), où la correction a été autorisée. Le requérant a soutenu que, comme dans l'affaire précitée, l'intérêt des tiers était préservé, puisqu'il ressortait de la demande publiée qu'une erreur avait peut-être été commise en ce qui concerne la date de priorité revendiquée ; en effet, la demande contenait une indication selon laquelle il s'agissait d'une "continuation-in-part" d'une demande américaine déposée le 6 octobre 1995. La date de dépôt de la présente demande (4 octobre 1996) se situait deux jours seulement avant l'expiration du délai de douze mois prévu pour revendiquer le droit de priorité de la demande "continuation-in-part" en question. Par conséquent, ces circonstances ont servi d'information pour les tiers pendant toute la période d'instance de la demande.
La description de la présente demande comprend effectivement une indication selon laquelle il s'agit d'une "continuation-in-part" d'une demande américaine déterminée. Lorsqu'il invoque la décision J 6/91 à l'appui de sa cause, le requérant ignore toutefois les conclusions de cette décision, à savoir que "le fait que cette demande a été elle-même présentée comme une demande continuation-in-part ne suffit pas, à lui seul, pour informer le public avisé qu'il manque peut-être une première priorité" (point 5.5, troisième paragraphe des motifs). A la différence de l'affaire J 6/91, la ligne de conduite spécifique adoptée par le requérant dans la présente affaire était telle que la requête en rectification, très tardive, a pris les tiers au dépourvu, même si l'on tient dûment compte de toutes les informations pertinentes figurant dans le fascicule publié de la demande ; la requête n'a pas non plus été présentée immédiatement (cf. points 2.2.4 à 2.2.6 ci-dessus). Les circonstances pertinentes de l'espèce sont donc très différentes de celles qui ont conduit à la décision J 6/91, de sorte que le requérant ne peut valablement invoquer cette décision à l'appui de sa cause.
2.2.8 Le requérant a en outre fait valoir qu'il avait immédiatement fait corriger les données de priorité dès qu'il s'était aperçu de l'erreur. Selon lui, cette erreur était due à une information erronée de la part de ses conseils en brevets américains. Etant donné que les conseils allemands ne se sont pas attardés sur les dates effectives de publication, au moment où ils ont traité la première notification de la division d'examen, l'erreur commise dans la revendication de priorité n'est apparue qu'après que le service de propriété intellectuelle du requérant est devenu compétent pour poursuivre la demande. Une fois l'erreur découverte, la requête en rectification a été présentée sans retard indu.
Toutefois, une analyse objective de la requête en rectification du requérant ne permet pas, au vu des éléments exposés au point 2.2.4 ci-dessus, de la considérer comme ayant été présentée immédiatement. L'argument du requérant concernant sa rapidité d'action se fonde plutôt sur des lacunes dont il est seul à répondre. Ces lacunes ne peuvent être prises en considération lorsque l'on pèse l'intérêt du requérant, qui est d'obtenir une protection optimale, et celui du public, qui est d'obtenir une sécurité juridique, car le demandeur pourrait sinon profiter des erreurs et lacunes qui sont de sa responsabilité et en tirer parti au détriment des intérêts du public, ce que la Chambre ne saurait accepter.
2.3 Pour toutes ces raisons, il convient de rejeter la requête en rectification des indications de priorité présentée par le requérant au titre de la règle 88 CBE, avec pour conséquence que la seule date de priorité valable pour la présente demande reste celle du 9 mai 1996.
Requête principale
3. Nouveauté
La seule question de fond soulevée par ce recours est de savoir si l'objet revendiqué est nouveau par rapport à l'état de la technique.
3.1 Le document (1) a été publié le 15 janvier 1996, c'est-à-dire avant la seule date de priorité valable de la présente demande, comme indiqué au point 2 ci-dessus, et est donc compris dans l'état de la technique au sens de l'article 54(2) CBE. Le requérant n'a jamais contesté que ce document divulgue un agent de phosphitylation couvert par la présente revendication 1. Les schémas 1 (page 332) et 2 (page 333) du document (1) décrivent un agent de phosphitylation, appelé "composé 1", ayant une formule qui correspond à la formule générale de la présente revendication 1, dans laquelle le substituant R signifie NC-CH2-CH2-O-, le substituant X représente un groupe 3-nitrotriazole et le substituant Y est un groupe diisopropylamino.
3.2 La Chambre conclut de ce qui précède que le document (1) détruit la nouveauté de l'objet de la revendication 1. Etant donné qu'une décision rendue sur une requête ne se divise pas, il est inutile d'examiner les autres revendications.
Dans ces conditions, il convient de rejeter la requête principale du requérant pour absence de nouveauté, conformément aux articles 52(1) et 54 CBE.
Première requête subsidiaire
4. Pour les raisons indiquées au point 2 ci-dessus, la correction des indications relatives à la priorité a été rejetée pour la présente demande. Par conséquent, la première requête subsidiaire du requérant visant à renvoyer l'affaire devant la première instance pour poursuite de l'examen sur la base d'une date de priorité corrigée doit être nécessairement rejetée.
Seconde requête subsidiaire
5. Saisine de la Grande Chambre de recours
Conformément à l'article 112(1)a) CBE, une chambre saisit la Grande Chambre de recours lorsqu'une décision est nécessaire afin d'assurer une application uniforme du droit ou si une question de droit d'importance fondamentale se pose. La Grande Chambre de recours n'est toutefois saisie d'une question de droit d'importance fondamentale que si la réponse à cette question est nécessaire pour statuer dans l'affaire concernée.
En l'espèce, le requérant a formulé des questions (cf. point IV ci-dessus) qui ont trait à la compétence des agents des formalités pour corriger des indications de priorité compte tenu du point 23 du communiqué du Vice-Président chargé de la DG 2, visant à confier certaines tâches à des agents qui ne sont pas des examinateurs (loc. cit.), et au caractère contraignant de leur avis pour la division d'examen. Toutefois, que ce soit l'agent des formalités ou la division d'examen qui a autorisé la correction d'une date de priorité pendant la procédure d'examen, cette décision n'a pas d'effet contraignant avant qu'il n'ait été définitivement statué sur la demande, c'est-à-dire sur son rejet ou la délivrance d'un brevet, et cette décision peut être réexaminée par les chambres de recours à la suite d'un recours (cf. point 2.1.8 ci-dessus).
Par conséquent, la réponse à la question 1 du requérant n'est pas pertinente pour statuer dans la présente affaire. Etant donné que les questions 2 à 4 du requérant sont dépendantes de la question 1, elles suivent le même sort.
Dans ces conditions, il ne peut être fait droit à la demande du requérant visant à saisir la Grande Chambre de recours.
Remboursement de la taxe de recours (règle 67 CBE)
6. En vertu de la règle 67 CBE, le remboursement de la taxe de recours ne peut être ordonné qu'à condition qu'il ait été fait droit au recours. Etant donné que le recours est rejeté dans la présente affaire, la requête en remboursement de la taxe de recours présentée par le requérant doit être rejetée, ne fût-ce que pour cette raison.
Dispositif :
Par ces motifs, il est statué comme suit :
1. La demande de saisine de la Grande Chambre de recours est rejetée.
2. Le recours est rejeté.
3. La requête en remboursement de la taxe de recours est rejetée.