BESCHWERDEKAMMERN
Entscheidungen der Technische Beschwerdekammern
Entscheidung der Technischen Beschwerdekammer 3.3.1 vom 27. Juni 1998 - T 1020/98 - 3.3.1
(Verfahrenssprache)
Zusammensetzung der Kammer:
Vorsitzender: | A. J. Nuss |
Mitglieder: | R. Freimuth |
| R. T. Menapace |
Anmelder: Bayer CropScience GmbH
Stichwort: Safener/BAYER
Artikel: 84, 111(1) EPÜ
Schlagwort: "Deutlichkeit (ja) - komplexer Anspruch nicht undeutlich - zumutbarer Zeitaufwand - Markush-Formel - hierarchischer Aufbau der Substituentendefinitionen" - "Knappheit (ja) - Markush-Formel knappste Fassung einer chemischen Verbindungsklasse - mühelosere Durchführbarkeit der Sachprüfung nicht bestimmend für Inhalt eines unabhängigen Anspruchs"
Leitsätze:
I. Die Erfüllung des Deutlichkeitserfordernisses gemäß Artikel 84 EPÜ ist nicht von dem für die Feststellung erforderlichen Zeitaufwand abhängig, ob eine bestimmte Verbindung unter den Stoffanspruch fällt oder nicht. Dieses Erfordernis bietet keine Grundlage für die Beanstandung, ein Anspruch sei komplex, denn Komplexität und mangelnde Deutlichkeit eines Anspruchs sind nicht gleichzusetzen. Einfachheit des einzelnen Anspruchs ist nach dem EPÜ kein Erfordernis für die Erteilung eines Patents.
II. Die Definition einer chemischen Verbindungsklasse mittels Markush-Formel im Anspruch stellt die knappste Formulierung eines solchen Gegenstandes dar.
III. Für die Forderung nach einer Beschränkung des Inhalts eines unabhängigen Anspruchs zur leichteren und müheloseren Durchführbarkeit der Sachprüfung besteht keine Rechtsgrundlage im EPÜ. Eine derartige Arbeitserleichterung für die Prüfungsabteilung ist gemäß EPÜ auch keine Voraussetzung für die Aufnahme der Sachprüfung einer Patentanmeldung.
Sachverhalt und Anträge
I. Die am 15. Juli 1998 eingegangene Beschwerde richtet sich gegen die am 5. Mai 1998 zur Post gegebene Entscheidung der Prüfungsabteilung, mit der die Anmeldung Nr. 93112074.5 mit der Veröffentlichungsnummer 582 198 zurückgewiesen wurde.
II. Die Prüfungsabteilung vertrat die Auffassung, daß die Anmeldung gegen die Erfordernisse des Artikels 84 EPÜ verstoße. Der Entscheidung lagen als Hauptantrag die mit Schriftsatz vom 20. März 1997 geänderten Ansprüche 1 bis 14 zugrunde, deren unabhängige Ansprüche 1 und 5 wie folgt lauteten:
"1. Verwendung von Verbindungen der Formel I oder deren Salzen,

worin
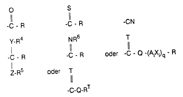
R1 und R2 unabhängig voneinander Reste der Formel

worin R, RT, R4, R5, R6, Y, T, Z, Q, Ai, Xi, q wie weiter unten definiert sind,
oder
R1 und R2 miteinander verbunden sind und gemeinsam eine Gruppe der Formel -CO-Q1-D-Q2-CO-
worin
Q1, Q2 unabhängig voneinander wie Q definiert sind und
D eine divalente Gruppe der Formel CR'R'' oder C=O, wobei R' und R'' unabhängig voneinander Wasserstoff oder C1-C4-Alkyl bedeuten,
R3 Wasserstoff, Halogen, C1-C18-Alkyl, C2-C8-Alkenyl, C2-C8-Alkinyl, C1-C18-Alkoxy, C2-C8-Alkenyloxy, C2-C8-Alkinyloxy, C1-C18-Alkylthio, C2-C8-Alkenylthio, C2-C8-Alkinylthio, wobei jeder der letztgenannten 9 Reste jeweils unsubstituiert oder durch einen oder mehrere Reste aus der Gruppe Halogen, Nitro und Cyano substituiert ist, oder C3-C12-Cycloalkyl, das unsubstituiert oder durch einen oder mehrere Reste aus der Gruppe C1-C4-Alkyl, Halogen, Nitro und Cyano substituiert ist, oder SiRaRbRc, worin Ra, Rb und Rc unabhängig voneinander C1-C4-Alkyl, C2-C4-Alkenyl, C2-C4-Alkinyl oder unsubstituiertes oder substituiertes Phenyl bedeuten, oder einen Rest der Formel Ar'X'-, worin Ar' und X' analog Ar bzw. X definiert sind,
X O, S, NH-NH oder NRd, wobei Rd analog R4 definiert ist, oder -CH2O-, -CH2S-, -CH(Ar)O- oder -CH(Ar)S-
Ar einen aromatischen Rest,
R Wasserstoff oder einen aliphatischen, aromatischen, heteroaromatischen, araliphatischen oder heteroaraliphatischen Rest mit 1 bis 30 C-Atomen und mit gegebenenfalls einer oder mehreren funktionellen Gruppen,
RT einen Rest der Formel -CO-R, -CS-R, -NRfRg, N=CRhRi oder SiRaRbRc,
wobei R die genannte Bedeutung hat und Rf, Rg, Rh und Ri unabhängig voneinander Wasserstoff, C1-C4-Alkyl, C2-C4-Alkenyl, C2-C4-Alkinyl, Benzyl, Phenyl oder substituiertes Phenyl sind oder Rf und Rg gemeinsam mit dem N-Atom einen 5- oder 6gliedrigen Heterocyclus, der noch bis zu 2 weitere Heteroatome aus der Gruppe N, O und S enthalten und durch C1-C4-Alkyl substituiert sein kann, bedeuten und
Ra, Rb und Rc unabhängig voneinander C1-C4-Alkyl, C2-C4-Alkenyl, C2-C4-Alkinyl, Phenyl oder substituiertes Phenyl sind,
Y und Z unabhängig voneinander Sauerstoff, Schwefel in seinen verschiedenen Oxidationstufen oder -NRe, worin Re analog R4 definiert ist,
R4 und R5 gleich oder verschieden sind und unabhängig voneinander Wasserstoff, C1-C6-Alkyl, C2-C6-Alkenyl, C2-C6-Alkinyl, (C1-C4-Alkyl)-carbonyl, wobei jeder der 4 letztgenannten Reste unsubstituiert oder durch einen oder mehrere Substituenten aus der Gruppe enthaltend Halogen, C1-C8-Haloalkoxy, Nitro, Cyano, Hydroxy, C1-C8-Alkoxy und C1-C8-Alkoxy, worin eine oder mehrere, vorzugsweise bis zu drei nicht direkt aneinander gebundene CH2-Gruppen durch Sauerstoff ersetzt sind, und C1-C8-Alkylthio, C1-C6-Alkylsulfonyl, C2-C8-Alkenylthio, C2-C8-Alkinylthio, C2-C8-Alkenyloxy, C2-C8-Alkinyloxy, C3-C7-Cycloalkyl, C3-C7-Cycloalkoxy sowie Amino-, Mono- und Di-(C1-C4-alkyl)-amino substituiert ist, oder Formyl, SiRaRbRc, worin Ra, Rb und Rc unabhängig voneinander C1-C4-Alkyl, C2-C4-Alkenyl, C2-C4-Alkinyl oder unsubstituiertes oder substituiertes Phenyl bedeuten, oder C3-C8-Cycloalkyl, C3-C8-Cycloalkenyl, Heterocyclyl mit 3 bis 7 Ringatomen, Aryl, Heteroaryl oder Arylcarbonyl, wobei jeder der letztgenannten 6 Reste unsubstituiert oder durch einen oder mehrere Reste aus der Gruppe C1-C8-Alkyl, Halogen, C1-C8-Haloalkoxy, Nitro, Cyano, Hydroxy, C1-C8-Alkoxy und C1-C8-Alkoxy, worin eine oder mehrere, vorzugsweise bis zu drei nicht direkt aneinander gebundene CH2-Gruppen durch Sauerstoff ersetzt sind, und C1-C8-Alkylthio, C1-C6-Alkylsulfonyl, C2-C8-Alkenylthio, C2-C8-Alkinylthio, C2-C8-Alkenyloxy, C2-C8-Alkinyloxy, C3-C7-Cycloalkyl, C3-C7-Cycloalkoxy sowie Amino-, Mono- und Di-(C1-C4-alkyl)-amino substituiert ist, oder
R4 und R5 gemeinsam eine C2-C4-Alkylen-kette oder C2-C4-Alkenylenkette, welche unsubstituiert oder durch 1 oder 2 Reste aus der Gruppe Methyl, Ethyl, Methoxy, Ethoxy und Halogen substituiert ist,
R6 Wasserstoff, C1-C4-Alkyl, C2-C4-Alkenyl, C2-C4-Alkinyl, C6-C12-Aryl, Heteroaryl, Benzyl, C1-C4-Alkoxy, Acyloxy, Hydroxy, -NH-CO-NH2, -NH-CS-NH2, Mono- und Di-(C1-C4-alkyl)-amino, -NH-Acyl, -NHSO2-(C1-C4-alkyl), C6-C12-Aryloxy, Heteroaryloxy, NH-SO2-Aryl oder NH-Aryl, worin Aryl bzw. Heteroaryl in den letztgenannten 4 Resten unsubstituiert oder durch einen oder mehrere Reste aus der Gruppe Halogen, Nitro, (C1-C4)-Alkyl, (C1-C4)-Alkoxy, (C1-C4)-Haloalkyl und (C1-C4)-Haloalkoxy substituiert ist,
T O oder S, NR7, NOR7 oder NO-Acyl,
Q O oder S,
q eine ganze Zahl von 0 bis 4,
i eine Laufziffer, welche bei q ungleich 0 alle ganzen Zahlen von 1 bis q annimmt, wobei q die oben angegebene Bedeutung hat,
Xi unabhängig voneinander O, S, NR7, N-(Ai-Xi-)q-R,
Ai unabhängig voneinander unsubstituiertes oder substituiertes C1-C6-Alkylen, C2-C8-Alkenylen, C2-C8-Alkinylen, C3-C6-Cycloalkylen, C3-C6-Cycloalkenylen, Heterocyclyl, Aryl oder Heteroaryl und
R7 unabhängig voneinander H, C1-C4-Alkyl, C2-C4-Alkenyl, C2-C4-Alkinyl, C3-C6-Cycloalkyl, C3-C6-Cycloalkenyl, Heterocyclyl, Aryl oder Heteroaryl
bedeuten, als Safener zum Schützen von Kulturpflanzen gegen phytotoxische Nebenwirkungen von Herbiziden."
"5. Verbindungen der Formel I oder deren Salze, wie sie in einem der Ansprüche 1 bis 4 definiert sind, ausgenommen
a) Verbindungen der Formel I, worin
Ar Phenyl, das durch die Reste U1, U2 und U3 substituiert ist, wobei U1 ein Rest aus der Gruppe Halogen, C1-C4-Alkyl, C1-C4-Alkoxy, CF3 und C1-C4-Alkylsulfonyl ist und U2 und U3 gleich und verschieden sind und jeweils aus der Gruppe bestehend aus Wasserstoff, Halogen, C1-C4-Alkyl, C1-C4-Alkoxy, CF3 und C1-C4-Alkylsulfonyl ausgewählt sind,
X ein Sauerstoffatom,
R1 eine Gruppe der Formel -COOR,
R2 eine Gruppe der Formel -COOR,
R3 C1-C4-Alkyl und
R gleiche oder verschiedenen Reste aus der Gruppe Wasserstoff und C1-C4-Alkyl
bedeuten, oder
b) Verbindungen der Formel I, worin
Ar Phenyl, 1,3-Dichlorphenyl, 1,3,5-Trichlorphenyl, 3-Methoxyphenyl, Naphthyl, Cumarinyl, 4-Methylcumarinyl oder 7-Flavonyl,
X ein Sauerstoffatom,
R1 eine Gruppe der Formel -COOR,
R2 eine Gruppe der Formel -COOR,
R3 Wasserstoff und
R gleiche oder verschiedenen Reste aus der Gruppe Wasserstoff, Aryl, Alkyl und Aralkyl
bedeuten, oder
c) 2-(Chinolin-8-yl-mercapto)-malonsäurediethylester,
2-(Chinolin-8-yl-mercapto)-acetessigsäureethylester oder
4-Chlorphenoxymalonsäurediethylester."
III. Die Prüfungsabteilung hat die angefochtene Entscheidung mit folgendem Wortlaut begründet:
"2). Damit ein Anspruch, der Verbindungen mittels einer Markush-Formel definiert, im Sinne von Art. 84 EPÜ als klar angesehen werden kann, wird die Ansicht vertreten, daß mit zumutbarem Zeitaufwand mit absoluter Sicherheit festgestellt werden kann, ob eine bestimmte Verbindung unter den Anspruch fällt oder nicht. Die Situation für die Verwendungsansprüche ist bereits kritisch (obwohl hier keine Disclaimer notwendig waren, denn es konnte bezüglich der Verwendung kein neuheitsschädlicher Stand der Technik im Recherchenbericht ermittelt werden). Besondere Probleme werden durch die außerordentliche Länge der Ansprüche, durch die Tatsache, daß die Formel ausschließlich aus Variablen besteht, und durch die Zahl der Variablen, die meistens mittels weiteren Variablen definiert werden, verursacht.
3). Bezüglich der Stoffansprüche ist die Situation im Hinblick auf Art. 84 EPÜ nicht akzeptabel. Wegen des erheblichen Schutzumfangs eines Stoffanspruches (hier bestimmt im Gegensatz zum Verwendungsanspruch nur die Struktur der beanspruchten Verbindungen den Schutzumfang, unabhängig von deren Verwendung) sind hier die Anforderungen nach Art. 84 EPÜ besonders von Bedeutung. Die vorliegenden Stoffansprüche sind noch unübersichtlicher formuliert als die Verwendungsansprüche (zwei komplizierte Markush-artige Disclaimer kommen noch dazu), so daß die vorliegenden Stoffansprüche als nicht mehr im Einklang mit Art. 84 EPÜ stehend angesehen werden.
4). Das Hauptproblem wird in den Disclaimern gesehen, denn diese versuchen, die Neuheit auf eine Weise herzustellen, die komplizierter und aufwendiger ist als notwendig. Sie verstoßen somit sowohl gegen die Forderung des Art. 84 EPÜ, daß die Ansprüche knapp formuliert sein müssen, wie auch gegen die Forderung, daß sie klar formuliert sein müssen. Um eine klare Übersicht über den Schutzumfang der Stoffansprüche zu behalten, hätte die Neuheit leicht durch das Streichen von Definitionen der Variablen hergestellt werden können, was auch die Feststellung des genauen Überlappungsgrades mit einer ähnlich komplizierten Markush-Formel erleichtern würde.
5). Seit der Beschwerdekammerentscheidung T 12/90 ist die Feststellung des genauen Überlappungsgrades zweier Markush-Formeln bei der Beurteilung der Patentfähigkeit wichtig geworden. Wo durch die Art der Formulierung der Ansprüche routinemäßige Aufgaben in der Sachprüfung unnötig erschwert werden, liegt nach Auffassung der Prüfungsabteilung ein Verstoß gegen Art. 84 EPÜ vor."
IV. Der Beschwerdeführer (Anmelder) reichte mit seiner Beschwerdebegründung am 15. September 1998 zwei weitere Fassungen des Anspruchs 5 als Hilfsanträge 1 und 2 ein. Er widersprach der Auffassung in der angefochtenen Entscheidung, daß der Anspruch 5 gemäß Hauptantrag den Artikel 84 verletze. Sein Wortlaut werfe in Verbindung mit dem Anspruch 1 keine unüblichen Hürden auf, die einen unzumutbaren Aufwand bei dessen Prüfung bedeuten könnten. Bei der Überprüfung, ob eine bestimmte chemische Verbindung unter den Anspruch 5 falle, seien die Disclaimer a) bis c) klar und übersichtlich. Der Aufbau der Disclaimer sei nicht kompliziert, sondern leite sich von den entgegengehaltenen Druckschriften ab. Im vorliegenden Falle könnten die Disclaimer auch nicht mit vergleichbarem Ergebnis durch eine positive Formulierung ersetzt werden.
Der Beschwerdeführer hat beantragt, die angefochtene Entscheidung aufzuheben und ein Patent auf Grundlage der Ansprüche 1 bis 14 gemäß Hauptantrag oder auf Grundlage der Ansprüche 1 bis 14 mit einem abgeänderten Anspruch 5 gemäß Hilfsantrag 1 oder 2 zu erteilen. Hilfsweise hat er eine mündliche Verhandlung beantragt.
Entscheidungsgründe
1. Die Beschwerde ist zulässig.
2. Prüfungsumfang im Beschwerdeverfahren
Zwar verleiht Artikel 111 (1) EPÜ den Beschwerdekammern die Befugnis, im Rahmen der Zuständigkeit der Prüfungsabteilung, welche die angefochtene Entscheidung erlassen hat, über die Gründe der angefochtenen Entscheidung hinaus tätig zu werden; dies bedeutet aber nicht, daß die Beschwerdekammern die Prüfung der einer Beschwerde zugrunde liegenden Anmeldung auf Patentierungserfordernisse in vollem Umfang durchführen. Dies ist Aufgabe der Prüfungsabteilung. Das Verfahren vor den Beschwerdekammern ist auch im Ex-parte-Verfahren primär auf die Überprüfung der angefochtenen Entscheidung abgestellt (siehe Entscheidung G 10/93, ABl. EPA 1995, 172, Punkt 4 der Entscheidungsgründe).
Im vorliegenden Fall ist die Streitanmeldung ausschließlich wegen mangelnder Deutlichkeit und Knappheit des Stoffanspruchs 5 zurückgewiesen worden. Die Kammer beschränkt sich folglich darauf, zu überprüfen und zu entscheiden, ob der Anspruch 5 diesen Erfordernissen des Artikels 84 EPÜ genügt. Über die Zulässigkeit oder Unzulässigkeit der in Anspruch 5 enthaltenen Disclaimer im Hinblick auf die Erfordernisse des Artikels 123 (2) EPÜ trifft die Kammer daher im vorliegenden Fall keine Entscheidung. Diese Rechtsfrage ist im übrigen Gegenstand der zwei Vorlagen G 1/03 und G 2/03 an die Große Beschwerdekammer (ABl. EPA 2003, 113).
Hauptantrag
3. Deutlichkeit (Artikel 84 EPÜ)
3.1 Die angefochtene Entscheidung beanstandet den Stoffanspruch 5 wegen mangelnder Deutlichkeit, weil er die beanspruchten Stoffe mittels einer Markush-Formel und zusätzlich mittels zweier "komplizierter" Markush-artiger Disclaimer definiere. Die konkreten Tatsachenfeststellungen, welche die Prüfungsabteilung zu dieser Schlußfolgerung geführt haben, sind der Begründung der angefochtenen Entscheidung indessen nicht zu entnehmen.
Die Definition der beanspruchten Stoffe mittels Markush-Formel ergibt sich durch Rückbezug des Stoffanspruchs 5 auf den Verwendungsanspruch 1. Letzterer wird in der angefochtenen Entscheidung zwar als unübersichtlich und "kritisch" gerügt, dessen Deutlichkeit im Sinne von Artikel 84 EPÜ wird jedoch nicht in Abrede gestellt.
3.2 Die Kammer hält als erstes dazu fest, daß die strukturelle Beschreibung chemischer Stoffe mittels allgemeiner Formeln nach Markush klassisch ist und zum normalen Handwerkszeug des angesprochenen Fachmanns, hier des Chemikers, gehört. Dies ist auch nie in Frage gestellt worden.
Im vorliegenden Fall wird die Struktur der beanspruchten chemischen Stoffe einfach mittels der Markush-Formel (I) beschrieben, welche die 5 variablen Substituenten Ar, X, R1, R2 und R3 enthält. Diese Substituenten werden im Anspruch anschließend definiert, indem hierfür jeweils listenmäßig chemische Gruppen angegeben werden, die namens- oder formelmäßig beschrieben sind. Soweit es sich bei der formelmäßigen Beschreibung der chemischen Gruppen um allgemeine Formeln handelt, enthalten diese wiederum variable Reste, für die im Anspruch jeweils listenmäßig chemische Gruppen angegeben werden. So wird beispielsweise im Anspruch für den variablen Substituenten R3 der Markush-Formel (I) eine Liste chemischer Gruppen angegeben, die neben anderen die Gruppe mit der allgemeinen Formel SiRaRbRc enthält. Deren variablen Reste Ra, Rb und Rc werden anspruchsgemäß wiederum durch eine Liste namensmäßig beschriebener chemischer Gruppen, nämlich C1-C4-Alkyl, C2-C4-Alkenyl, C2-C4-Alkinyl oder unsubstituiertes oder substituiertes Phenyl, definiert. Dieser strukturierte, hierarchische Aufbau der Definition der variablen Substituenten Ar, X, R1, R2 und R3 der Markush-Formel (I) leitet den verständigen Fachmann wie ein roter Faden durch den Anspruch und vermittelt ihm eindeutig und unmißverständlich, ob eine bestimmte chemische Einzelverbindung oder Verbindungsklasse vom Anspruch umfaßt wird oder nicht.
3.3 Der Stoffanspruch 5 enthält über die oben abgehandelte Markush-Formel (I) hinaus die beiden gerügten Disclaimer a) und b) und einen weiteren, nicht gerügten Disclaimer c), welch letzterer sich klar auf drei chemische Einzelverbindungen bezieht (siehe Punkt II supra). Die ersten beiden Disclaimer nehmen zwei näher beschriebene Verbindungsklassen vom Anspruchsgegenstand aus. Diese beiden ausgenommenen Verbindungsklassen sind durch Rückbezug auf die Markush-Formel (I) definiert, indem für deren variable Substituenten Ar, X, R1, R2 und R3 jeweils namens- oder formelmäßig bezeichnete chemische Gruppen angegeben werden.
Im Disclaimer a) bedeuten alle Substituenten Ar, X, R1, R2 und R3 jeweils nur eine einzige chemische Gruppe, nämlich Ar ein spezifisch substituiertes Phenyl, X ein Sauerstoffatom, R1 und R2 eine Gruppe der Formel -COOR, wobei der Rest R näher spezifiziert ist, und R3 ein C1-C4-Alkyl. Im Disclaimer b) bedeuten die Substituenten X, R1, R2 und R3 ebenfalls jeweils nur eine einzige chemische Gruppe, nämlich X ein Sauerstoffatom, R1 und R2 eine Gruppe der Formel -COOR, wobei der Rest R näher spezifiziert ist, und R3 Wasserstoff. Der Substituent Ar wird mittels einer Liste von acht namensmäßig beschriebenen chemischen Radikalen definiert.
Die angegriffenen Disclaimer a) und b) definieren damit eindeutig und unmißverständlich die beiden Verbindungsklassen, welche vom Anspruchsgegenstand ausgenommen werden sollen.
3.4 Aus diesen Gründen kommt die Kammer zu dem Schluß, daß der Gegenstand des gerügten Stoffanspruchs 5 durch die Markush-Formel (I) und die Disclaimer a) bis c) klar definiert und damit deutlich im Sinne des Artikels 84 EPÜ ist.
3.5 Die Prüfungsabteilung hat die angefochtene Entscheidung unter anderem auf die These gestützt, Voraussetzung für die Klarheit eines Anspruchs sei, "daß mit zumutbarem Zeitaufwand mit absoluter Sicherheit festgestellt werden kann, ob eine bestimmte Verbindung unter den Anspruch fällt oder nicht" (Hervorhebung durch die Kammer).
3.5.1 Der angefochtenen Entscheidung ist nicht zu entnehmen, was mit dem Prüfstein eines "zumutbaren Zeitaufwandes" gemeint ist, denn weder zum Umfang des Zeitaufwandes, welcher für die erwähnte Feststellung erforderlich ist, noch zu einer etwaigen Zumutbarkeitsgrenze wurden irgendwelche Feststellungen getroffen oder Ausführungen gemacht. Somit ist die Begründung der Prüfungsabteilung schon mangels Substantiierung nicht tragfähig.
Nach Auffassung der Kammer kommt es auf den tatsächlichen Zeitaufwand auch nicht an, solange der Anspruch selbst deutlich ist. Dies trifft im vorliegenden Fall nach den Feststellungen unter Punkt 3.2 und 3.3 supra zu, da der Stoffanspruch 5 hierarchisch so strukturiert ist, daß dem fachkundigen Leser keine Anstrengungen abverlangt werden, um dessen Gegenstand zu ermitteln. Die Erfüllung des Deutlichkeitserfordernisses als solchem ist nicht von dem für die Feststellung erforderlichen Zeitaufwand abhängig, ob eine bestimmte Verbindung unter den Stoffanspruch fällt oder nicht. Damit würde dieses rein quantitative Kriterium des Zeitaufwandes zu einer selbständigen Voraussetzung für die Erteilung eines Patents erhoben, die weder im seiner Natur nach qualitativen Deutlichkeitserfordernis des Artikels 84 EPÜ noch sonst im Übereinkommen eine Stütze findet.
3.5.2 Dies steht im Einklang mit der Entscheidung T 574/96 (nicht veröffentlicht im ABl. EPA), welche in Punkt 3.1 der Entscheidungsgründe bereits feststellt, daß das Erfordernis der Deutlichkeit gemäß Artikel 84 EPÜ keine Grundlage für eine Beanstandung bietet, ein Anspruch sei nicht einfach, sondern komplex und damit dessen Verständnis zu zeitaufwendig, denn Komplexität und mangelnde Deutlichkeit eines Anspruchs sind nicht gleichzusetzen. Einfachheit des einzelnen Anspruchs ist nach dem EPÜ kein eigenständiges Erfordernis für die Erteilung eines Patents. Ein derartiges Erfordernis wäre auch nicht sachgerecht, weil damit jede Erfindung vom Patentschutz ausgeschlossen wäre, deren Gegenstand sich nicht mit einer einfachen Anspruchsformulierung erfassen läßt. Deutlichkeit im Sinne von Artikel 84 EPÜ verlangt denn auch lediglich, daß die Patentansprüche den Gegenstand des Schutzbegehrens für den Fachmann, gegebenenfalls im Lichte der Beschreibung, eindeutig und unmißverständlich angeben. Wie oben ausgeführt, ist dieses Erfordernis im vorliegenden Fall erfüllt.
4. Knappheit (Artikel 84 EPÜ)
4.1 Des weiteren beanstandet die angefochtene Entscheidung den Stoffanspruch 5 wegen mangelnder Knappheit, weil dessen Gegenstand durch auf die anspruchsgemäße Markush-Formel (I) bezogene Disclaimer zusätzlich definiert werde, obwohl die Neuheit auch durch die Streichung von Bedeutungen in den anspruchsgemäßen Listen der variablen Substituenten hätte hergestellt werden können.
4.2 Dazu ist als erstes darauf hinzuweisen, daß die Definition einer chemischen Verbindungsklasse mittels Markush-Formel, wie sie im angegriffenen Stoffanspruch 5 verwendet wird, anerkanntermaßen die knappste Formulierung eines solchen Gegenstandes darstellt. Jede andere Formulierung, etwa durch individuelle Aufzählung aller darunter fallenden Unterklassen oder sogar aller davon umfaßten Einzelverbindungen, wäre umfangreicher und damit nicht so knapp. Dies trifft notwendigerweise auch auf die Disclaimer a) und b) zu, die sich auf diese Markush-Formel beziehen und entsprechend strukturiert sind.
Die Behauptung in der angefochtenen Entscheidung, diese Disclaimer hätten leicht durch das Streichen von Bedeutungen in den anspruchsgemäßen Listen der variablen Substituenten der Markush-Formel ersetzt werden können, so daß eine noch knappere Fassung des Anspruchsgegenstandes hätte hergestellt werden können, vermag die Kammer schon wegen des Fehlens konkreter, diese Behauptung stützender Tatsachenfeststellungen nicht nachzuvollziehen. Auch die Überprüfung des Sachverhalts durch die Kammer führt nicht zu einem solchen Ergebnis. Eine Beschränkung des Gegenstandes des Stoffanspruchs 5 durch das Streichen von Bedeutungen in den anspruchsgemäßen Listen der variablen Substituenten, wie es die angefochtene Entscheidung fordert, ergibt im Vergleich zur geltenden Anspruchsfassung mit den Disclaimern a) und b) nicht den identischen, sondern einen geringeren Anspruchsumfang. Würde beispielsweise die in den Disclaimern a) und b) angegebene Bedeutung Sauerstoff für den Substituenten X in der anspruchsgemäßen Liste von Bedeutungen für den Substituenten X gestrichen, so entfielen alle unter die Markush-Formel (I) fallenden Verbindungen mit dieser Bedeutung für X, während die geltende Anspruchsformulierung nur jene Verbindungen ausnimmt, bei denen gleichzeitig die Substituenten R1 und R2 die Gruppe -COOR und der Substituent R3 Wasserstoff oder C1-C4-Alkyl bedeuten. Auf diese für ihn nachteiligen und nicht hinnehmbaren Folgen hinsichtlich des Anspruchsumfangs hat der Beschwerdeführer in seinem Beschwerdeschriftsatz auch ausdrücklich und zu Recht hingewiesen.
Unter diesen Umständen ist die geltende Fassung des Stoffanspruchs 5 knapp im Sinne von Artikel 84 EPÜ.
4.3 Die Prüfungsabteilung hat in der angefochtenen Entscheidung ferner die Forderung nach einer im Ergebnis inhaltlichen Beschränkung des Stoffanspruchs auf die These gestützt, daß ein Verstoß gegen Artikel 84 EPÜ vorliege, "wo durch die Art der Formulierung der Ansprüche routinemäßige Aufgaben in der Sachprüfung unnötig erschwert werden".
Artikel 84 EPÜ bestimmt, daß die Patentansprüche den Gegenstand des Schutzbegehrens angeben müssen sowie deutlich, knapp gefaßt und von der Beschreibung gestützt sind. Diesen abschließenden Erfordernissen an die Ansprüche fügt die angefochtene Entscheidung ein weiteres Erfordernis hinzu, nämlich daß die Formulierung der Ansprüche routinemäßige Aufgaben in der Sachprüfung nicht unnötig erschweren dürfe, wodurch die Prüfungsabteilung auf eine Beschränkung des Inhalts des Stoffanspruchs hinwirkt. Sie verknüpft somit ihre Forderung nach einer Beschränkung des Inhalts eines unabhängigen Anspruchs mit einer leichteren und müheloseren Durchführbarkeit der Sachprüfung. Für dieses von der Prüfungsabteilung zusätzlich aufgestellte Erfordernis an die Formulierung des Erfindungsgegenstandes in einem unabhängigen Patentanspruch, auch wenn es auf eine höhere Effizienz der Sachprüfung zielen mag, besteht indessen keine Rechtsgrundlage im Europäischen Patentübereinkommen. Es ist daher rechtswidrig.
Daraus folgt, daß eine Anspruchsformulierung unter Artikel 84 EPÜ nicht losgelöst von dem Erfordernis der Deutlichkeit oder der Knappheit beanstandet werden kann, etwa weil sie "routinemäßige Aufgaben in der Sachprüfung unnötig erschwert". Die Pflicht des Anmelders besteht allein in der Beachtung aller Bestimmungen des EPÜ, einschließlich derjenigen, deren Zweck es ist, den erforderlichen Aufwand für das Erteilungsverfahren seitens der Prüfungsabteilung in einem vertretbaren Rahmen zu halten. Pflicht der Prüfungsabteilung ist es dagegen, innerhalb des vom EPÜ vorgegebenen rechtlichen Rahmens eine auch unter dem Aspekt des Verfahrensaufwandes optimale Verfahrensführung vorzunehmen und dazu auf Einhaltung auch aller diesem Zweck dienenden Bestimmungen durch den Anmelder zu dringen. Eine für die Prüfungsabteilung arbeitserleichternde Beschränkung des Inhalts eines unabhängigen Patentanspruchs ist gemäß EPÜ indessen keine Voraussetzung für die Aufnahme der Sachprüfung einer Patentanmeldung.
5. Zurückverweisung
Da die Streitanmeldung einzig wegen mangelnder Deutlichkeit und Knappheit des Anspruchs 5 zurückgewiesen worden ist, dieser Grund die angefochtene Entscheidung aber nicht trägt, war diese aufzuheben. Zu weiteren Fragen der Patentierbarkeit aller Ansprüche hat die Prüfungsabteilung bisher keine beschwerdefähige Entscheidung getroffen. Hierzu steht eine abschließende Prüfung der ersten Instanz noch aus. Die Kammer hält es daher nicht für angezeigt, an deren Statt diese Fragen zu entscheiden, um auch diesbezüglich die Möglichkeit einer Prüfung durch zwei Instanzen zu erhalten. Unter diesen Umständen verweist die Kammer in Ausübung ihrer Befugnisse gemäß Artikel 111 (1) EPÜ die Angelegenheit zur weiteren Entscheidung an die erste Instanz zurück.
Hilfsanträge
6. Nachdem dem Hauptantrag des Beschwerdeführers stattgegeben wird, war auf die nachrangigen Hilfsanträge 1 und 2 nicht weiter einzugehen und auch die hilfsweise beantragte mündliche Verhandlung entbehrlich.
Entscheidungsformel
Aus diesen Gründen wird entschieden:
1. Die angefochtene Entscheidung wird aufgehoben.
2. Die Angelegenheit wird an die erste Instanz zur weiteren Prüfung auf Grundlage der Ansprüche 1 bis 14 gemäß Hauptantrag zurückverwiesen.