CHAMBRES DE RECOURS
Décisions des Chambres de recours techniques
Décision de la Chambre de recours technique 3.3.1, en date du 12 février 1998 - T 990/96 - 3.3.1
(Traduction)
Composition de la Chambre :
Président : | A. J. Nuss |
Membres : | P. Krasa |
S. C. Perryman |
Demandeur : Novartis AG
Référence : Composés érythro/NOVARTIS
Article : 54 CBE
Mot-clé : "Nouveauté (non)" - "La pureté d'un composé chimique ne constitue pas un élément nouveau"
Sommaire
I. En chimie organique de synthèse, il est de pratique courante pour l'homme du métier de (continuer à) purifier un composé obtenu selon un procédé chimique particulier jusqu'à ce qu'il atteigne le degré de pureté requis. Comme, en principe, les méthodes classiques de purification des composés chimiques de faible poids moléculaire font partie de ses connaissances générales, normalement, un document divulguant un composé chimique de faible poids moléculaire et sa préparation rend ce composé accessible au public au sens de l'article 54 CBE, et ce dans tous les degrés de pureté souhaités (point 7 des motifs de la décision).
II. Si une partie soutient que cette règle générale n'est pas applicable dans un cas particulier, il lui incombe de prouver qu'il existe des circonstances exceptionnelles, par exemple que toutes les tentatives antérieures d'obtenir un degré de pureté donné en appliquant des procédés de purification classiques ont échoué (point 8 des motifs de la décision).
Exposé des faits et conclusions
I. Le présent recours est dirigé contre la décision de la division d'examen de rejeter la demande de brevet européen n° 93 106 005.7, publiée sous le n° 0 562 643 et portant sur des acides hept-6-énoïques et heptanoïques substitués sur la position 7 ainsi que des dérivés de ceux-ci, au motif qu'elle ne remplit pas les conditions énoncées aux articles 52(1), 54 et 56 CBE.
II. Les motifs de rejet invoqués dans la décision attaquée étaient que les composés chimiques revendiqués dans une requête principale et deux requêtes subsidiaires et comprenant des isomères érythro ayant un taux de pureté diastéréoisomérique de 99,5% n'étaient pas nouveaux au regard des documents :
1) Kau-Ming Chen et al., Tetrahedron Letters, Vol. 28, n° 2, 1987, et
2) Kau-Ming Chen et al., Chemistry Letters, pages 1923 à 1926, 1987
et qu'ils étaient en outre évidents pour l'homme du métier au vu de ces deux antériorités et du document
3) US-A-4 650 890,
puisqu'aucun effet surprenant n'était divulgué en ce qui les concerne.
III. Le requérant (demandeur) a assorti le mémoire exposant les motifs de son recours de deux nouveaux jeux de cinq revendications chacun. En réponse aux objections soulevées par la Chambre, il a soumis, lors de la procédure orale qui s'est tenue le 12 février 1998, une unique revendication, libellée comme suit :
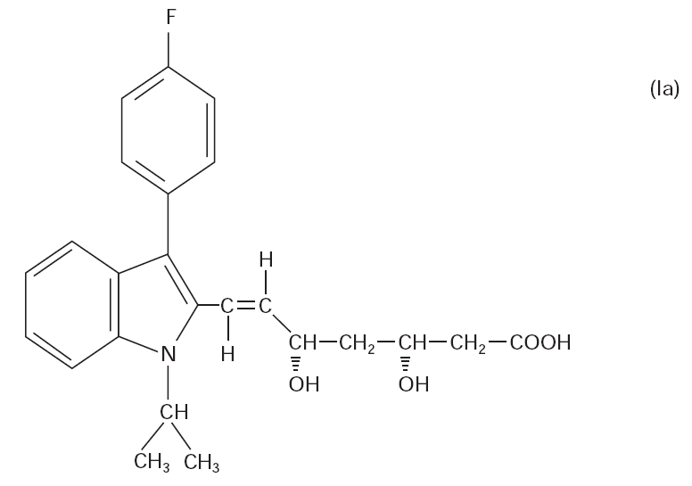
"Composé pour utilisation en tant que produit pharmaceutique, répondant à la formule (Ia)

sous forme racémique ou énantiomérique ; sous forme d'acide libre, de sel, d'ester ou de δ-lactone, c'est-à-dire sous forme d'ester interne, la relation entre l'isomère érythro et l'isomère thréo étant de 99,5 à 0,5 ou plus."
IV. Le requérant est convenu que les composés revendiqués étaient certes connus en tant que tels par la littérature, par exemple, par les antériorités citées (1), (2) et (3), mais pas à l'état de pureté revendiqué, c'est-à-dire avec seulement 0,5% d'isomère thréo ou moins (cf. point 1.2 du mémoire exposant les motifs du recours). S'il a aussi admis, d'une part, que les différentes méthodes employées pour purifier les composés appartenant à la même classe que le composé répondant à la formule (Ia) étaient divulguées dans l'état de la technique, par exemple dans le document (3), qui confirmait également que ces composés pouvaient être utilisés dans le traitement de l'athérosclérose, et, d'autre part, que presque toutes ces informations pouvaient être obtenues à la lecture du document:
(4) US-A-4 739 073,
il a néanmoins soutenu que les méthodes de purification existantes n'avaient semble-t-il jamais permis d'abaisser la teneur en contaminant thréo en dessous de 1 à 2% environ (cf. point 2.2 du mémoire exposant les motifs du recours). A l'appui de cette allégation, il a invoqué le document
(5) US-A-5 354 772.
Il en a conclu que l'objet de la revendication, qui peut aisément être obtenu à une échelle industrielle, devait être nouveau et impliquer une activité inventive.
V. Le requérant a demandé l'annulation de la décision attaquée et la délivrance d'un brevet sur la base de la revendication présentée lors de la procédure orale. A l'issue de cette procédure, le président a prononcé la décision de la Chambre de rejeter le recours.
Motifs de la décision
1. Le recours est recevable.
2. La Chambre est convaincue que la nouvelle revendication remplit les conditions énoncées aux articles 84 et 123(2) CBE.
3. La question à trancher est celle de la nouveauté de l'objet revendiqué, à savoir de l'acide (E)-érythro-3,5-dihydroxy-7-[3'-(4"-fluorophényl)-1'(-méthyléthyl)-indole-2'-yl]-6-acide hepténoïque (ci-après dénommé "acide érythro"), de son δ-lactone, ainsi que des sels et des esters de cet acide, destiné à être utilisé comme produit pharmaceutique (les composés couverts par la revendication de la demande litigieuse sont dénommés ci-après "composés érythro").
4. Le requérant ayant fait valoir que les documents (3) et (4) contenaient pour l'essentiel les mêmes informations, il suffit en l'espèce de se référer au dernier de ces deux documents. Cette antériorité divulgue la préparation du racémique de l'ester méthylique de l'acide érythro, c'est-à-dire, de (±)-(E)-érythro-3,5-dihydroxy-7-[3'-(4"-fluorophényl)-1'-(1"-méthyléthyl)-indole-2'yl]-6-heptanoate de méthyl, sans en préciser la pureté. Elle indique également, ce dont convient le requérant, que ce composé peut être utilisé dans le traitement de l'athérosclérose (voir exemple 5, de la ligne 65 de la colonne 43 à la ligne 68 de la colonne 48, et de la ligne 15 à la ligne 20 de la colonne 2, ainsi qu'au point IV supra). Le document (4) expose donc que l'ester méthylique de l'acide érythro peut également être employé en tant que produit pharmaceutique, si bien que cette utilisation ne peut, en vertu de la réserve prévue à l'article 54(5) CBE, être considérée comme une caractéristique technique nouvelle. Par conséquent, la seule caractéristique de l'objet revendiqué dans la demande litigieuse à ne pas être explicitement divulguée dans le document (4) est le rapport érythro : thréo, à savoir 99,5 : 0,5 ou plus.
5. Aussi y a-t-il lieu d'examiner si, par rapport à cette divulgation, cette caractéristique, qui représente en fait un degré spécifique de pureté chimique (pureté diastéréoisomérique notamment), constitue un "élément nouveau" au sens des décisions T 12/81 (JO OEB 1982, 296, point 14.2 des motifs de la décision) et T 12/90 (du 23 août 1990, non publiée au JO OEB, point 2.6 des motifs de la décision), conférant à l'objet revendiqué un caractère de nouveauté par rapport à l'antériorité (4).
6. Il est bien connu que, pour différentes raisons (réactions secondaires, transformation incomplète des matériaux de départ, etc.), tout composé chimique résultant d'une réaction chimique contient normalement des impuretés et que, en raison de la thermodynamique, il est impossible d'obtenir un composé absolument pur - au sens strict du terme -, c'est-à-dire totalement exempt d'impuretés.
7. C'est pourquoi, en chimie organique de synthèse, il est de pratique courante pour l'homme du métier de (continuer à) purifier un composé obtenu selon un procédé chimique particulier jusqu'à ce qu'il atteigne le degré de pureté requis, par exemple dans des échantillons destinés à l'analyse. Les méthodes classiques de purification des produits de réactions organiques de faible poids moléculaire, (recristallisation, distillation, chromatographie, etc.) qui, normalement, peuvent être appliquées avec succès dans les procédés de purification, font partie des connaissances générales de l'homme du métier. Il en résulte donc que, d'une manière générale, un document divulguant un composé chimique de faible poids moléculaire et sa préparation rend ce composé accessible au public au sens de l'article 54 CBE, et ce dans tous les degrés de pureté souhaités par l'homme du métier.
8. Le requérant a soutenu que cette règle générale n'était pas applicable dans la présente espèce. La Chambre admet qu'il peut exister des circonstances exceptionnelles justifiant une conclusion différente. Cela pourrait notamment être le cas, comme la division d'examen l'a déjà souligné (cf. point 4 des motifs de la décision attaquée), lorsqu'il a été prouvé que selon toute probabilité toutes les tentatives antérieures d'obtenir un degré de pureté donné en appliquant des procédés de purification classiques ont échoué. Or, la charge de la preuve incombe à la partie qui prétend qu'il existe de telles circonstances exceptionnelles.
9. La Chambre n'est pas convaincue que le requérant s'en soit acquitté.
9.1 Rien ne permet d'affirmer qu'il existe en l'espèce de telles circonstances. Bien au contraire, il est indiqué dans le document (4) que le produit de chacune des réactions divulguées, donc également l'ester méthylique de l'acide érythro "... peut, si on le souhaite, être purifié par des techniques classiques telle que la recristallisation ..." (colonne 29, lignes 36 s.) Cet enseignement doit être rapporté à celui de l'exemple 5 présenté dans ce document pour la raison suivante :
9.2 Ce qui est décisif pour établir si un document divulgue un état de la technique destructeur de nouveauté, c'est l'ensemble de ce qu'un homme du métier peut sans ambiguïté tirer de ce document. En conséquence, si aucune raison ne s'y oppose, l'enseignement technique d'un exemple peut être combiné avec l'enseignement technique général divulgué par ailleurs dans ce même document (cf. T 332/87 du 23 novembre 1990, non publiée au JO OEB, points 2.2 et 2.3).
9.3 Ainsi, l'enseignement général susmentionné du document (4) (cf. point 9.1), combiné avec celui de l'exemple 5 du même document, divulgue à l'homme du métier que l'esther méthylique de l'acide érythro peut être purifié comme il le souhaite par des moyens classiques. Il s'ensuit que le document (4) a rendu ce composé accessible au public dans tous les degrés de pureté souhaités, et donc aussi avec une pureté diastéréoisomérique d'au moins 99,5%. En conséquence, le degré de pureté diastéréoisomérique indiqué dans la revendication ne saurait être considéré comme un élément nouveau par lequel l'objet revendiqué se distinguerait de l'état de la technique divulgué dans le document (4).
10. Le requérant a fait valoir qu'il s'agissait ici de circonstances exceptionnelles comme celles visées au point 8 ci-dessus, au motif qu'il est impossible de trouver dans l'état de la technique un degré de pureté de 99,5% ou plus des composés érythro. Selon lui, le fait que cette valeur (ou, plus exactement, cette plage de pureté) ne soit divulguée dans aucune des antériorités citées, en l'occurrence les documents (1), (2) et (4), prouverait qu'il était impossible d'obtenir des composés érythro ayant une telle pureté diastéréoisomérique avant la date de priorité de la demande litigieuse.
11. Cet argument n'est pas convaincant. Rien dans les pièces du dossier ne prouve que les efforts entrepris pour porter les composés érythro au degré de pureté diastéréoisomérique souhaité, par exemple 99,5% ou plus, n'aient jamais abouti.
11.1 Le document (4) enseigne clairement qu'une telle purification est envisagée (cf. point 9.3 supra). Il convient de souligner à ce propos que le sens du terme "accessible", utilisé à l'article 54(2) CBE, va à l'évidence au-delà de la lettre de la description et englobe également la divulgation implicite d'informations techniques, par exemple les résultats inévitables, même s'ils ne sont pas explicitement divulgués, d'un procédé décrit dans une antériorité. L'objet revendiqué peut en conséquence avoir été rendu accessible au public par un tel document, même s'il n'y a pas été littéralement divulgué (cf., p. ex., T 666/89, JO OEB 1993, 495, point 6 des motifs de la décision).
11.2 Le document (1) enseigne que la réduction d'hydroxycétones par le borohydrure de sodium en présence d'alkoxyalcoyboranes produit des diols 1,3-syn (en d'autres termes, des diols érythro) ayant une pureté diastéréoisomérique d'au moins 98% (voir résumé), et que l'ester méthylique de l'acide érythro obtenu est d'une pureté diastéréoisomérique de 98% (page 152, tableau 1, composé 14). Cette publication scientifique ne fait pas état de tentatives de purifier davantage encore le produit, ce qui ne saurait surprendre, puisque cela aurait en fait été contraire à son objet essentiel, à savoir la stéréosélectivité en tant que telle de la réaction en question. C'est pourquoi une purification plus poussée n'aurait pas eu de sens, voire aurait donné une impression fausse de la stéréosélectivité de la réaction en cause.
11.3 Ces considérations valent également pour le document (3), une publication scientifique portant sur la stéréosélectivité de la réduction d'hydroxycétones par le borohydrure de sodium en présence notamment d'un borane diéthyle méthoxy, et indiquant que l'ester méthylique de l'acide érythro obtenu grâce à cette réaction a une pureté diastéréoisomérique de 98% ou plus (cf. résumé et page 1925, tableau 2, composé 4). Comme dans le cas du document (1), il aurait été sans intérêt de tenter de purifier davantage encore l'ester méthylique de l'acide érythro ou de rechercher quel degré de pureté pourrait être obtenu au moyen d'étapes de purification classiques.
11.4 Au cours de la procédure orale, le requérant s'est également référé au document (5) à titre d'expertise. Ce document, qui ne fait pas partie de l'état de la technique, divulgue des procédés de préparation d'ester méthylique d'acide érythro contenant 2 à 4% ou au maximum 2% du thréo isomère correspondant (colonne 55, lignes 39 à 42 et colonne 56, lignes 42 à 46, combinées avec la colonne 54, lignes 34 et 35). Ce document (5) non plus n'indique pas qu'il a été tenté de purifier davantage les composés érythro par des moyens classiques (p. ex. par cristallisation fractionnée, comme suggéré à la colonne 34, lignes 8 à 10 de cette antériorité), et que tous les efforts éventuellement déployés à cet effet ont échoué.
11.5 La demande de brevet ici en cause est une demande divisionnaire. La demande initiale a donné lieu à la délivrance d'un brevet pour une méthode particulière d'obtention du produit à présent revendiqué. Si la nouveauté de cette méthode et l'activité inventive qu'elle implique ne sont pas contestées, cela ne signifie pas pour autant que le produit résultant de son application est nouveau. Comme le décrit la demande en cause, le produit à présent revendiqué, qui est obtenu grâce à cette méthode à la fois nouvelle et inventive peut être purifié davantage au moyen d'une recristallisation classique. Rien cependant ne permet d'affirmer que le produit selon le document (4), compris dans l'état de la technique, ne peut pas lui aussi être purifié de manière à atteindre n'importe quel degré de purification désiré par une recristallisation classique.
11.6 Il n'est pas décrit d'utilisations nouvelles du produit de haute pureté maintenant revendiqué par rapport à celles mentionnées dans le document (4), et il n'est pas non plus exposé que l'impureté thréo présente des inconvénients. Il est simplement signalé que pour les autorités sanitaires, les substances devraient être aussi pures que possible. Une utilisation nouvelle ne saurait en tant que telle conférer le caractère de la nouveauté à un produit déjà connu, et s'il n'est pas fait état de produits purifiés davantage, c'est parce que de tels produits de haute pureté peuvent être obtenus par des opérations de routine et qu'ils ne présentent pas un intérêt technique particulier simplement en raison de leur pureté. Le seul intérêt en ce qui les concerne serait de pouvoir les obtenir au moindre coût possible.
11.7 C'est pourquoi la Chambre conclut que ni la demande en cause, ni les documents (1), (2) et (5) ne permettent d'établir qu'il existe des circonstances exceptionnelles comme celles visées au point 8 ci-dessus, ainsi que le soutient le requérant. Rien n'indique que l'enseignement technique du document (4) ne correspond pas à ce qui est exposé au point 9.3 ci-dessus.
12. Le requérant a également allégué que les décisions T 296/87, T 1048/92 et T 595/90 corroboraient sa thèse. La Chambre ne peut accepter cet argument et, sur ce point aussi, se rallie à la division d'examen.
12.1 Dans la décision T 296/87 (JO OEB 1990, 195), la chambre devait déterminer "...si l'existence d'une formule chimique connue, comportant, à ce que l'on peut constater, un atome de carbone asymétrique (unique), détruit la nouveauté non seulement du composé concerné lorsqu'il se présente sous la forme racémate, mais également des énantiomères qui le constituent ..." alors que ces énantiomères ne sont nullement mentionnés (point 6 des motifs de la décision). Elle avait constaté qu'un énantiomère se caractérisait par sa configuration spécifique, et que cette configuration n'était pas divulguée par un document décrivant uniquement le racémate (point 6.1 des motifs de la décision). En conséquence, la configuration particulière de l'énantiomère était considérée comme la caractéristique le distinguant du racémate. Pour la Chambre, la décision T 296/87 reposait sur des faits différents de la présente espèce, où les composés revendiqués pour une utilisation en tant que produits pharmaceutiques ont exactement les mêmes caractéristiques structurelles que ceux compris dans l'état de la technique. Aussi la Chambre considère-t-elle que les principes définis dans la décision T 296/87 ne sont pas applicables à la présente espèce.
12.2 Pour les mêmes raisons, la décision T 1048/92 du 5 décembre 1994 n'est pas non plus pertinente dans la présente espèce. Les faits à la base de cette décision étaient similaires à ceux à la base de la décision T 296/87, dans la mesure où un document prétendument destructeur de nouveauté ne divulguait pas sans ambiguïté la configuration bien particulière de l'énantiomère revendiqué dans la demande de brevet alors en litige (cf. décision T 1048/92, non publiée au JO OEB, point 2.5 des motifs).
12.3 La décision T 595/90 (JO OEB 1994, 695) n'est pas davantage pertinente, puisque seule y était abordée la question de l'activité inventive d'un produit pouvant être envisagé en tant que tel, mais pour lequel il n'existait pas de procédé de réalisation connu (point 5 des motifs de la décision, loc. cit., notamment pages 702 et 703). Dans la présente espèce, il s'agit de la nouveauté, et non de l'activité inventive ; les méthodes classiques utilisées pour obtenir le produit revendiqué dans la demande de brevet litigieuse font partie des connaissances générales de l'homme du métier (cf. points 8 et 9.1 supra).
13. Il s'ensuit que le requérant doit être débouté de sa requête, puisque l'invention revendiquée ne satisfait pas aux conditions énoncées aux articles 52(1) et 54 CBE ; le recours doit donc être rejeté.
14. Dans ces conditions, il n'est pas nécessaire d'aborder la question de l'activité inventive.
Dispositif
Par ces motifs, il est statué comme suit :
Le recours est rejeté.