CHAMBRES DE RECOURS
Décisions des Chambres de recours techniques
Décision de la Chambre de recours technique 3.3.1, en date du 30 janvier 1996 - T 337/95 - 3.3.1
(Traduction)
Composition de la Chambre :
Président : | A. J. Nuss |
Membres : | P. Krasa |
R.E. Teschemacher |
Demandeur : Nihon Nohyaku Co., Ltd.
Référence : Alkyle inférieur/NIHON NOHYAKU
Article : 84 CBE
Règle : 29(1), 35(12) CBE
Mot-clé : "Clarté de revendications portant sur des composés en tant que tels" - "Ambiguïté de l'expression 'alkyle inférieur'"
Sommaire
I. Les revendications doivent être claires dans l'intérêt de la sécurité juridique (points 2.2 à 2.4 des motifs).
II. Etant donné qu'en l'absence de référence univoque, une expression relative telle que "alkyle inférieur" n'a pas, en chimie organique, une signification généralement admise pour ce qui est du nombre maximum d'atomes de carbone, elle est ambiguë et n'est donc pas appropriée pour définir clairement l'objet pour lequel une protection est recherchée dans une revendication portant sur un groupe de composés organiques en tant que tels (point 2.8 des motifs).
Exposé des faits et conclusions
I. Le requérant a formé un recours contre la décision de la division d'examen rejetant la demande n° 90 103 338.1.
La division d'examen a estimé que la demande ne satisfaisait pas aux conditions énoncées à l'article 84 CBE, au motif que l'adjectif "inférieur" utilisé pour définir des substituants dans la formule structurelle générique du premier jeu de revendications déposé comme requête principale le 22 avril 1994, rendait ces revendications peu claires. La division d'examen a également estimé que le contenu des revendications selon une requête subsidiaire introduite le même jour n'était pas non plus admissible en vertu de l'article 123(2) CBE.
II. Le requérant a demandé que la décision litigieuse soit annulée et qu'un brevet soit délivré, soit sur la base du premier jeu de revendications reçu le 22 avril 1994 (requête principale) ou, à défaut, sur la base des revendications 1 à 7 présentées au cours de la procédure orale qui s'est tenue, comme l'avait demandé le requérant, le 30 janvier 1996 (première requête subsidiaire), ou encore sur la base du deuxième ou troisième jeu de revendications reçus le 28 février 1995 (deuxième et troisième requêtes subsidiaires).
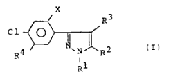
III. Les passages suivants, tirés de la revendication 1 selon la requête principale, constituent une base suffisante pour la présente décision :
" 1. Dérivé de 3-(phényle substitué) pyrazol ... correspondant à la formule générale

dans laquelle
X...,
R1 représente un alkyle inférieur ou un haloalkyle inférieur,
R2...,
R3 ..., et
R4 ... ."
La revendication 1 selon la première requête subsidiaire s'énonce comme suit :
"1. Dérivé de 3-(phényle substitué) pyrazol ou l'un de ses sels, répondant à la formule générale

dans laquelle
X représente un halogène,
R1 représente un groupe CH3,
R2 représente un groupe hydroxy, mercapto, alkylthio, haloalcoxy ou haloalkylthio,
R3 représente de l'hydrogène ou un halogène, et
R4 représente un groupe (i) formyle, (ii) nitro, (iii) -CO-B-R6, où B représente -O-, -S-, ou -NR7, R6 et R7 étant identiques ou différents et représentant chacun de l'hydrogène ou un groupe cycloalkyle, et si B représente -O-, R6 peut être un atome de métal alcalin ou un sel d'ammonium quaternaire, ou -CO-B-R6 représente un groupe méthoxy-, éthoxy-, propoxy- ou butoxycarbonyle, ou méthoxycarbonylméthoxy-, éthoxycarbonylméthoxy-, propoxycarbonylméthoxy-, méthoxycarbonyléthoxy-, éthoxycarbonyléthoxy-, ou propoxycarbonyléthoxycarbonyle, (iv) -D-R8, où D représente -O-, S(O)n, n étant un nombre entier de 0 à 2, ou -NR9-, R8 et R9 étant identiques ou différents et représentant chacun de l'hydrogène ; un groupe alkyle, haloalkyle, aminosulfonyle, phénylalkyle ou phénoxyalkyle, ayant éventuellement dans le noyau phénylique un ou plusieurs substituants halogènes identiques ou différents ; ou -D-R8 représente un groupe alcényloxy contenant du propényle, butényle ou pentényle ; un groupe alcynyloxy contenant du propynyle, butynyle ou pentynyle ; un groupe alcénylamino contenant du propényle, butényle ou pentényle ; un groupe alcoxycarbonylalcoxy ou alkylthiocarbonylalcoxy contenant chacun du méthyle, éthyle, propyle ou butyle ; ou (v) -(CHR10)m-CO-E-R12, où E représente -O-, -S-, ou -NR11 ; R10 représente de l'hydrogène, R11 et R12 étant identiques ou différents et représentant chacun de l'hydrogène, un groupe alkyle, haloalkyle, phényle ayant éventuellement un ou plusieurs substituants halogènes dans le noyau phénylique, phénylalkyle ayant éventuellement un ou plusieurs substituants halogènes dans le noyau phénylique ; ou encore R11, avec R12, forme un groupe pipéridino ou morpholinyle, et si E représente -O-, R12 peut être un atome de métal alcalin ou un sel d'ammonium quaternaire, m désignant un nombre entier de 0 à 3."
IV. Dans ses conclusions écrites et orales, le requérant a essentiellement argumenté comme suit :
En premier lieu, la division d'examen a eu tort d'affirmer que l'adjectif "inférieur" manque de clarté, car il est couramment utilisé par des hommes du métier ; il est en outre clairement défini dans les ouvrages suivants :
(1) Robert T. Morrison/Robert N. Boyd, Lehrbuch der Organischen Chemie, 2., berichtigte Auflage, Verlag Chemie, Weinheim - New York (1978), 91 ;
et
(2) Hans Breuer, dtv-Atlas zur Chemie, Volume 2, Organische Chemie und Kunststoffe, Deutscher Taschenbuch Verlag, Munich (1983), 319.
Deuxièmement, en vertu de la décision T 860/83, il aurait fallu interpréter les revendications en se référant à la description et, notamment, aux pages 4 et 5 telles que déposées initialement, ce qui aurait explicité le sens de "alkyle inférieur".
V. Dans l'annexe à la citation à comparaître, la Chambre a fait observer que le requérant n'avait pas prouvé l'existence d'une définition explicite de l'expression "alkyle inférieur" dans le domaine technique pertinent, à savoir la chimie organique, et encore moins qu'une telle définition était généralement acceptée par les hommes du métier spécialistes dudit domaine.
En outre, la Chambre a fait remarquer que, d'une part, l'argument du requérant selon lequel les deux documents (1) et (2) prouvent qu'il existe une définition implicite non ambiguë de l'expression "alkyle inférieur" ne semble pas concluant et que, d'autre part, en examinant plusieurs autres traités de chimie organique, elle a constaté que le terme "alkyle inférieur" est utilisé par les hommes du métier dans plusieurs acceptions différentes. Aux fins de la présente décision, la Chambre s'appuiera sur les ouvrages suivants :
(3) A. Streitwieser, Jr., C.H. Heathcock, "Organische Chemie", Weinheim-Deerfield Beach, Florida-Basel: Verlag Chemie, 1980, 257,
et
(4) Carl R. Noller, "Lehrbuch der Organischen Chemie", Berlin-Göttingen-Heidelberg : Springer-Verlag, 1960, 100.
VI. Au terme de la procédure orale, le président a annoncé la décision de la Chambre de faire droit à la première requête subsidiaire.
Motifs de la décision
1. Le recours est recevable.
2. Requête principale
2.1 La seule question qu'il importe de trancher dans ce contexte est celle de savoir si les revendications de cette requête, et notamment la revendication 1, satisfont aux dispositions de l'article 84 CBE, lequel s'énonce comme suit :
"Les revendications définissent l'objet de la protection demandée. Elles doivent être claires et concises et se fonder sur la description" (c'est la Chambre qui souligne).
La règle 29 CBE précise les conditions d'application de l'article 84. La première phrase de la règle 29(1) CBE est libellée comme suit :
"Les revendications doivent définir, en indiquant les caractéristiques techniques de l'invention, l'objet de la demande pour lequel la protection est recherchée" (c'est la Chambre qui souligne).
2.2 L'importance cruciale des revendications dans le système du brevet européen a été soulignée par la Grande Chambre de recours, laquelle a établi que les revendications ont pour but de permettre la détermination de l'étendue de la protection conférée par le brevet (G 2/88, JO OEB 1990, 93 ; Corr. JO OEB 1990, 469, points 2.4 et 2.5 des motifs de la décision).
2.3 En outre, la Grande Chambre de recours a confirmé que la formulation adoptée dans une revendication doit essentiellement viser à définir, en indiquant les caractéristiques techniques de l'invention, l'objet pour lequel la protection est recherchée (compte tenu également de la règle 29(1) CBE ; G 2/88, loc. cit., point 2.5 des motifs de la décision).
2.4 Grâce à cette approche, le public sait exactement ce qui est couvert par un brevet donné et ce qui ne l'est pas. C'est là un des aspects de la sécurité juridique qui constitue un principe vital dans tout système où les droits du public sont affectés par l'octroi d'un monopole (cf. décision J 34/92, non publiée dans le JO OEB, point 4.1 des motifs).
2.5 La Chambre estime que ce principe de la sécurité juridique est également exprimé dans la condition énoncée à la deuxième phrase de l'article 84 CBE, à savoir que les revendications doivent être claires. La règle 35(12), dernière phrase CBE, poursuit le même objectif puisqu'elle dispose, pour la présentation des pièces de la demande, et donc également pour les revendications, que
"En règle générale, seuls les termes, signes et symboles techniques généralement acceptés dans le domaine considéré doivent être utilisés" (c'est la Chambre qui souligne).
2.6 Dans la présente espèce, ce sont des composés organiques en tant que tels dont la protection est recherchée (cf. revendication 1). Ces composés sont définis comme membres d'un groupe de composés chimiques représentés par la formule structurelle générique (I) (cf. point III supra). Pour qu'il soit satisfait à l'exigence de clarté énoncée à l'article 84 CBE, le groupe de composés doit être défini de sorte que l'homme du métier hypothétique puisse distinguer sans ambiguïté les composés chimiques appartenant au groupe revendiqué de ceux n'en faisant pas partie.
2.7 Dans la revendication 1, les seules caractéristiques techniques définissant l'objet pour lequel une protection est recherchée sont les caractéristiques structurelles du composé concerné. Il convient donc d'examiner si les termes techniques désignant ces caractéristiques structurelles, à savoir les éléments structurels ou les sous-structures du groupe de composés chimiques représentés par la formule générique (I), sont communément acceptés dans le domaine concerné. Cet examen peut se limiter à l'expression "alkyle inférieur". Comme il a déjà été indiqué plus haut, la revendication 1 porte sur un groupe de composés organiques. Le domaine de la technique concerné est donc celui de la chimie organique, comme le confirme le fait que le requérant ait déposé les documents (1) et (2) qui ressortissent à la chimie organique.
2.7.1 Le requérant n'a pas prouvé qu'il existe une définition explicite du terme "alkyle inférieur" en tant que tel, et encore moins qu'une telle définition serait généralement acceptée par les spécialistes du domaine technique considéré. La Chambre ne connaît pas non plus de définition explicite de ce terme.
2.7.2 Le requérant déduit toutefois du document (1) - manifestement du premier paragraphe après le titre, à la page 91 - que les alcanes supérieurs sont les alcanes à partir de l'hexane, et en a tout naturellement conclu que l'expression "alkyle inférieur" est implicitement définie dans le document (1) comme un reste alkyle comprenant jusqu'à cinq atomes de carbone. Traduit en français, le passage en question s'énonce comme suit :
"On désigne du nom de méthane, éthane, propane, butane et pentane les alcanes à un, deux, trois, quatre et cinq atomes de carbone. Les noms des alcanes supérieurs sont indiqués au tableau 3.2."
2.7.3 Bien que la Chambre puisse accepter l'interprétation que le requérant donne du document (1), elle conteste que le document (2) doive être considéré comme preuve supplémentaire de l'acception précitée de l'expression "alkyle inférieur". Voici ce que donne, traduit en français, le passage concerné de cette citation :
"Les premiers membres de la série homologue des alcanes portent des noms courants : méthane pour CH4, éthane pour C2H6, propane pour C3H8 et butane pour C4H10. Les noms des alcanes supérieurs commencent par un préfixe numérique latin ou grec et portent la terminaison -ane. Exemples : ..." (c'est la Chambre qui souligne). Les quatre exemples, accompagnés de leur formule, sont : n-hexane, n-décane, n-heptadécane et n-éicosane (page 319, colonne de gauche, lignes 32 à 45).
On notera que le pentane, qui n'est pas mentionné dans le passage précité, est le premier alcane dont le nom débute par un préfixe numérique, conformément à la définition ci-dessus, et se termine par -ane. Par conséquent, le pentane répond à la définition des alcanes supérieurs donnée dans le document (2). Cela signifie que, selon le document (2) et contrairement aux assertions du requérant, "alkyle inférieur" désigne un reste alkyle à quatre atomes de carbone au plus. Peu importe que la petite liste d'exemples "d'alcanes supérieurs" cités commence par l'hexane (et non par le pentane), puisqu'il ne s'agit manifestement que d'une liste rudimentaire composée de quelques alcanes supérieurs choisis arbitrairement.
2.7.4 Par conséquent, dans les documents (1) et (2), l'adjectif "inférieur" appliqué à un groupe alkyle ne prend de sens que dans un contexte bien déterminé, à savoir par référence à un nombre spécifique d'atomes de carbone ; il n'est donné aucune définition générale du terme. Comme il est expliqué ci-dessus, l'expression "alkyle inférieur" peut être comprise comme désignant selon le document (1) "tous les groupes alkyles ayant moins de six atomes de carbone", et selon le document (2) "tous les groupes alkyles ayant moins de cinq atomes de carbone". Cette discordance entre les documents (1) et (2) suffit à réfuter l'affirmation du requérant selon laquelle l'expression "alkyle inférieur" a une signification généralement admise dans le domaine technique considéré (règle 35(12), dernière phrase, CBE).
2.7.5 En outre, en consultant d'autres manuels de chimie organique, on se rend compte que dans le domaine concerné, il existe encore d'autres acceptions du terme "alkyle inférieur". Dans le document (3), certaines propriétés physiques des alcools "inférieurs" sont reprises au tableau 11-2, où figure aussi le n-hexylalcool. Si l'on s'en tient à ce manuel, "alkyle inférieur" engloberait le groupe hexyle. En revanche, le n-butylalcool est mentionné dans le document (4) sous le titre "alcools supérieurs", ce qui voudrait dire que "alkyle inférieur" s'arrête au groupe propyle.
2.8 Les considérations qui précèdent montrent qu'à elle seule, c'est-à-dire en l'absence de référence univoque, l'expression "alkyle inférieur" n'a pas "une signification généralement admise" dans le domaine de la chimie organique. Il aurait fallu que ce soit le cas pour qu'un terme aussi relatif fût admissible dans la revendication 1 (cf. Directives relatives à l'examen pratiqué à l'OEB, C-III, 4.5). D'après les preuves disponibles, l'expression "alkyle inférieur" n'a pas d'acception généralement admise par les spécialistes du domaine concerné. L'incertitude persiste notamment en ce qui concerne le nombre maximal d'atomes de carbone que peut comporter un radical d'hydrocarbure (saturé) pour pouvoir être qualifié d'"alkyle inférieur". Cette appellation ne permet donc pas de définir clairement l'objet pour lequel une protection est recherchée dans la revendication 1, laquelle porte sur un groupe de composés organiques en tant que tels.
2.9 La Chambre ne peut pas non plus se ranger au deuxième argument du requérant, argument fondé sur la décision T 860/93 (JO OEB 1995, 47) selon lequel l'expression "alkyle inférieur" serait parfaitement compréhensible pour l'homme du métier à la lumière de la description, et notamment de la divulgation originale figurant aux pages 4 et 5 telles que déposées.
2.9.1 Aux pages susdites sont divulgués des exemples (préférés) de substituants pour les composés répondant à la formule (I). En ce qui concerne les alkyles inférieurs, il est écrit "... de préférence des alkyles inférieurs, dont le méthyle" et "... un groupe alkyle inférieur tel que le méthyle, l'éthyle, le propyle ou le butyle" (page 4, lignes 14 et 15, et page 5, lignes 17 et 18 ; c'est la Chambre qui souligne). Par conséquent, dans les deux cas, l'homme du métier chercherait en vain une définition de l'expression "alkyle inférieur", et ne trouverait que des exemples non limitatifs.
2.9.2 Même si, à titre d'hypothèse et dans l'intérêt du requérant, la Chambre admettait que les informations relatives aux groupes alcoxy inférieur, alcényle inférieur ou alcynyle inférieur, figurant à la page 5, lignes 5 à 15 de la demande telle que déposée, rendent évident le sens voulu de l'expression "alkyle inférieur", cela ne servirait en rien la cause du requérant. Toutes les acceptions divulguées à la page 5 ne sont citées qu'à titre d'exemples préférentiels et ne revêtent aucun caractère limitatif. Au surplus, ces exemples ne sont même pas cohérents pour ce qui est du nombre maximal possible d'atomes de carbone. Pour les alcoxy inférieurs, les membres les plus élevés sont censés être soit butoxy (pour les alcoxycarbonyles inférieurs ; page 5, lignes 5 et 7) ou propoxy (pour les alcoxycarbonylalcoxycarbonyles inférieurs ; page 5, lignes 5, 8 et 9) ; les membres les plus élevés divulgués pour les alcényles et alcynyles sont respectivement les groupes pentényle et pentynyle (page 5, lignes 13 et 14). Dans la présente espèce, la description ne fournit donc pas de preuve concluante quant au nombre maximum d'atomes de carbone que peut contenir un groupe "alkyle inférieur".
2.9.3 Etant donné ce qui précède, il n'est pas nécessaire, dans la présente affaire, de se prononcer sur la question de savoir s'il aurait suffit (pour qu'il soit satisfait aux dispositions de l'article 84 CBE) que l'homme du métier puisse remédier à un quelconque manque de clarté de la revendication 1 en se reportant à la description (cf. Directives relatives à l'examen pratiqué à l'OEB, C-III, 4.2).
2.10 Quant à la décision T 860/93 invoquée par le requérant, la Chambre estime qu'elle n'est pas pertinente puisqu'en l'espèce, le terme "soluble dans l'eau" avait été jugé suffisamment précis pour que l'on puisse considérer la revendication comme claire sur la base des renseignements disponibles (T 860/93 loc. cit., points 4.1, 4.2 et 4.5). Néanmoins, dans la présente espèce, les renseignements disponibles prouvent le contraire, à savoir que l'expression "alkyle inférieur" est vague, et non pas précise (cf. point 2.8 supra).
2.11 Pour les raisons précitées, la Chambre conclut que la revendication 1 selon la requête principale ne satisfait pas aux conditions relatives à la clarté stipulées à l'article 84 CBE.
3. Première requête subsidiaire
3.1 La revendication 1 modifiée s'appuie dûment sur les pièces de la demande telle que déposée : la signification de X et de R3 est divulguée dans la revendication 1 initiale ; la signification de R1 et R2 est divulguée à la ligne 15 de la page 4 originale et aux lignes 16 à 18 de la description ; la définition de R4 est divulguée dans la revendication 1 originale, en liaison avec la divulgation figurant à la page 5, lignes 5 à 9, et lignes 12 à 18. La revendication 2 est en fait une énumération d'exemples divulgués initialement. La revendication 3 s'appuie sur la revendication 6 originale, en liaison avec la revendication 1 originale et la page 5, lignes 12 à 18 de la description telle que déposée. La revendication 4 s'appuie sur la revendication 7 originale, en liaison avec la revendication 1 originale et la divulgation figurant à la page 5, lignes 5 à 9 de la description telle que déposée. Les revendications 5, 6 et 7 se fondent sur les revendications originales 8, 13 et 18. Il n'y a donc aucune objection à soulever à l'encontre des revendications 1 à 7 au titre de l'article 123(2) CBE.
3.2 Les revendications de la première requête subsidiaire ne contiennent plus aucun des termes litigieux tels que "alkyle inférieur". Le motif pour lequel la demande a été rejetée a par conséquent disparu.
4. Il découle du point 3.2 ci-dessus que la décision de la division d'examen doit être annulée. Cependant, la demande et l'invention qui en fait l'objet doivent encore être examinées afin de déterminer si elles satisfont aux autres conditions de la CBE. L'affaire est donc renvoyée à la division d'examen pour suite à donner, conformément à l'article 111(1) CBE. Cela permettra également de vérifier si l'expression "sel d'ammonium" utilisée dans les définitions de R6 et R12 (p.ex. à la revendication 1) est appropriée.
Etant donné ce qui précède, il n'est pas nécessaire de prendre en considération les deuxième et troisième requêtes subsidiaires formulées par le requérant.
Dispositif
Par ces motifs, il est statué comme suit :
1. La décision de la division d'examen est annulée.
2. L'affaire est renvoyée à la division d'examen pour suite à donner sur la base des revendications 1 à 7 présentées au cours de la procédure orale.