CHAMBRES DE RECOURS
Décisions des Chambres de recours techniques
Décision de la Chambre de recours technique 3.3.1, en date du 12 mai 2000 T 728/98 - 3.3.1
(Traduction)
Composition de la Chambre :
Président : | A.J. Nuss |
Membres : | R. Freimuth |
| S.C. Perryman |
Demandeur : ALBANY MOLECULAR RESEARCH, INC.
Référence : Terfénadine à l'état pur/ ALBANY
Article : 54, 84, 123(2) CBE
Règle : 29(1), 35(12) CBE
Mot-clé : "Clarté de la revendication (non) - pas de signification univoque de la caractéristique essentielle ("pratiquement pur") servant à délimiter la revendication par rapport à l'état de la technique" - "Modification (non admissible) - suppression d'une caractéristique essentielle" - "Nouveauté (non) - revendication de produit caractérisé par son procédé d'obtention, relative au produit en tant que tel - degré de pureté d'un composé chimique pouvant être obtenu par les méthodes de purification classiques - pas de situation exceptionnelle (cf. T 990/96) - la pureté en tant que telle ne constitue pas une caractéristique distinctive du produit"
Sommaire
I. Il découle de l'exigence de sécurité juridique qu'une revendication ne peut être considérée comme claire au sens de l'article 84 CBE si elle comporte une caractéristique ambiguë (en l'occurrence "pratiquement pur"), dont il n'existe pas de définition sans équivoque généralement admise dans l'état de la technique entrant en ligne de compte, surtout si cette caractéristique ambiguë joue un rôle essentiel pour la délimitation de l'objet revendiqué par rapport à l'état de la technique (cf. point 3 des motifs).
II. Lorsqu'il se révèle que le degré de pureté revendiqué pour un composé chimique de faible poids moléculaire (en l'occurrence un dérivé de la terfénadine) peut effectivement être obtenu par application d'une méthode de purification classique à un mélange réactionnel divulgué dans l'état de la technique, il ne peut être considéré que l'on a affaire à une situation exceptionnelle au sens où l'entend la décision T 990/96, car il faudrait pour cela qu'il ait été prouvé qu'il ne serait pas possible d'obtenir le même degré de pureté par les méthodes classiques. Par conséquent, il y a lieu en l'occurrence d'appliquer la règle générale et de considérer que le degré de pureté dudit composé de faible poids moléculaire ne peut rendre nouveau l'objet revendiqué. Cette règle générale vaut également dans le cas où, dans une revendication de produit caractérisé par son procédé d'obtention, le degré de pureté du produit dépend nécessairement du procédé de préparation indiqué dans la revendication (cf. point 6 des motifs).
Exposé des faits et conclusions
I. Le 15 avril 1998, le demandeur a formé recours à l'encontre de la décision de la division d'examen portant rejet de sa demande de brevet européen n° 96 200 338.0 (publiée sous le n° 723 958), décision qui lui avait été envoyée par la poste le 23 février 1998.
II. La décision attaquée avait été rendue sur la base d'une requête principale portant sur les revendications 1 à 9 telles que déposées initialement, et de trois requêtes subsidiaires. La revendication indépendante 1 selon la requête principale s'énonçait à l'origine comme suit :
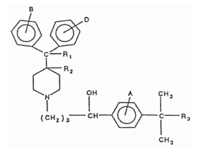
"1. Dérivé pratiquement pur de la pipéridine, de formule :

ou

dans laquelle
R1 représente un atome d'hydrogène ou un groupe hydroxy ;
R2 représente un atome d'hydrogène ;
ou bien R1 et R2 pris ensemble forment une seconde liaison entre les atomes de carbones portant R1 et R2 ;
R3 est un groupe -COOH ou -COOR4 ;
R4 est un alkyle à 1 à 6 atomes de carbone ;
A, B et D peuvent être un ou plusieurs substituants différents de leurs cycles et sont, pris individuellement, l'hydrogène, des halogènes, des groupes alkyle, hydroxy, alkoxy, ou d'autres substituants ou un de leurs sels."
La division d'examen a estimé qu'en vertu de l'article 54(2) CBE la demande était dénuée de nouveauté par rapport au document
(1) US-A-4 254 129.
Plus précisément, la division d'examen a fait valoir que les composés divulgués dans le document (1) étaient manifestement des régioisomères en position para identiques aux composés revendiqués dans la présente demande. L'expression "pratiquement pur" ne rendait pas ces composés nouveaux puisqu'elle ne permettait pas de distinguer les composés revendiqués des composés appartenant à l'état de la technique.
III. Le requérant (demandeur) a déposé le 8 juillet 1998 un mémoire exposant les motifs du recours, accompagné d'une requête principale et de requêtes subsidiaires numérotées de 1 à 11. Le texte des revendications selon la requête principale est identique au texte des revendications sur la base desquelles a été rendue la décision en litige, c'est-à-dire qu'il comprend les revendications 1 à 9 telles que déposées initialement. La revendication 1 selon la requête subsidiaire 1 diffère de la revendication 1 selon la requête principale uniquement en ce qu'elle précise en plus que les composés pipéridiniques pratiquement purs sont pratiquement exempts de l'isomère en position méta correspondant. La revendication 1 selon la requête subsidiaire 2 diffère de la revendication 1 selon la requête principale en ce qu'elle comporte en plus un disclaimer relatif aux composés obtenus conformément à l'enseignement du document (1). La revendication 1 selon la requête subsidiaire 3 diffère de la revendication 1 selon la requête principale en ce qu'elle précise en plus que les composés pipéridiniques pratiquement purs peuvent être obtenus par le procédé de préparation décrit de façon générale dans la présente demande. La revendication 1 selon les requêtes subsidiaires 4 à 7 porte sur une composition pharmaceutique comprenant un composé pipéridinique pratiquement pur tel qu'il est défini dans la revendication 1 selon la requête principale et les requêtes subsidiaires 1 à 3. La revendication 1 selon les revendications subsidiaires 8 à 11 est identique à la revendication 1 selon les revendications subsidiaires 4 à 7, si ce n'est que les composés pipéridiniques se limitent à l'acide 4-[4-[4-(hydroxydiphénylméthyl)-1-pipéridinyl]-1-hydroxybutyl]-α,α-diméthylbenzèneacétique à l'état pratiquement pur.
IV. Le requérant a fait valoir que parmi les composés pipéridiniques, il n'était revendiqué que les composés "pratiquement purs", ce terme étant clair pour l'homme du métier puisqu'il désignait un degré de pureté de 98% ou plus selon la norme en vigueur dans l'industrie pharmaceutique, ainsi qu'il ressortait du document
(E6) US Pharmacopeia, non daté, pages 1922 à 1924.
Le procédé divulgué dans le document (1), notamment dans l'exemple 5, permettait d'obtenir, après recristallisation, un produit isomère en position para d'un degré de pureté d'environ 96%, comprenant environ 4% de l'isomère en position méta non désiré, selon une mesure par chromatographie liquide à haute performance, ainsi qu'il ressort des documents suivants :
(E1) lettre de R. Nicholson, datée du 21 septembre 1997 ;
(E2) lettre de L. Wille, datée du 26 août 1993 ;
(E3) déclaration sous serment de T. D'Ambra, datée du 14 octobre 1997 ;
(E4) déclaration de F. Laskovics, datée du 16 octobre 1997 ; et
(E5) déclaration sous serment de H. Armstrong, datée du 14 octobre 1997.
Par conséquent, les composés divulgués dans le document (1) n'étaient pas "pratiquement purs", à la différence des composés revendiqués. L'objet revendiqué était donc nouveau.
Le requérant a fait observer qu'il s'agissait dans le cas de sa demande du cas exceptionnel visé dans la récente décision T 990/96 (JO OEB 1998, 489), par rapport au cas classique d'application du principe général selon lequel un composé chimique connu est rendu accessible au public à tous les degrés de pureté. D'après cette décision, il peut être constaté que l'on a affaire à ce cas exceptionnel lorsqu'il a été prouvé que, selon toute probabilité, toutes les tentatives antérieures d'obtenir un degré de pureté donné en appliquant des procédés de purification classiques se sont soldées par un échec. Comme dans la présente espèce les composants en position méta et para du mélange de régioisomères ne pouvaient être séparés par les techniques classiques, il n'était pas possible d'obtenir le régioisomère en position para à l'état "pratiquement pur", tel qu'il avait été revendiqué. Dès lors, les conditions requises dans la décision précitée pour qu'il puisse être considéré que l'on avait affaire à un cas exceptionnel étaient effectivement réunies.
V. Dans une notification établie par la Chambre en application de l'article 11(2) du règlement de procédure des chambres de recours, le requérant avait été informé notamment que la Chambre peut, pendant la procédure orale, statuer non seulement sur la nouveauté mais aussi sur des questions relatives à l'application des articles 123(2) et 84 CBE.
VI. Lors de la procédure orale qui s'est tenue devant la Chambre le 12 mai 2000, le demandeur a présenté en outre les requêtes subsidiaires "0", "1A", "7A", "9A" à "11A" et "12". La revendication 1 selon la requête subsidiaire "0" ne diffère de la revendication 1 selon la requête principale que par la suppression de la définition en tant que "autres substituants" dans l'énumération d'autres définitions possibles des substituants A, B et D figurant dans la formule générale. La revendication 1 selon les requêtes subsidiaires "1A" à "7A" est identique à la revendication 1 selon les requêtes subsidiaires 1 à 7, si ce n'est que l'expression "pratiquement pur" définissant les composés pipéridiniques a été supprimée, ainsi que l'expression "autres substituants" qui figurait dans l'énumération des autres définitions possibles des substituants A, B et D. La revendication 1 selon les requêtes subsidiaires "9A" à "11A" ne se distingue de la revendication 1 selon les requêtes subsidiaires 9 à 11 que par la suppression de l'expression "pratiquement pur" définissant le composé pipéridinique particulier. La revendication 1 selon la requête subsidiaire 12 ne diffère de la revendication 1 selon la requête subsidiaire 8 qu'en ce qu'il a été supprimé l'expression "pratiquement pur" qualifiant le composé pipéridinique et précisé que ce composé peut être obtenu par le procédé particulier de préparation en plusieurs étapes mentionné dans les exemples 1 à 7 de la demande en cause.
Au cours de la procédure orale devant la Chambre, le requérant a également produit de nouveaux documents, à savoir :
(E7) US Pharmacopeia XXII, 1990, pages 1682 à 1684, et
(E8) Pharmaceutical Technology, décembre 1992, pages 48 à 50, 52 et 54,
afin de montrer que de par ses connaissances techniques générales dans le domaine pharmacologique, l'homme du métier savait quel était le pourcentage correspondant au degré de pureté spécifié par l'expression "pratiquement pur". Le document (E7) remplaçait le document (E6) qui n'était qu'une autre édition de ce même document, identique sur le plan du contenu technique, si ce n'est que le premier de ces deux documents avait été publié avant la date de priorité de la présente demande.
Le requérant a fait valoir par ailleurs que les nouvelles requêtes subsidiaires permettaient de réfuter toutes les objections relatives au manque de clarté puisque dans toutes ces requêtes, l'expression "pratiquement pur" avait été supprimée de la revendication 1. Du fait de cette modification, les composés pipéridiniques dont il était question dans ces revendications devaient être purs à 100%.
VII. Le requérant a demandé que la décision attaquée soit annulée et qu'il soit délivré un brevet sur la base de l'une des vingt-quatre requêtes déposées par écrit le 3 juillet 1998 et lors de la procédure orale du 12 mai 2000, numérotées dans l'ordre adopté lors de la procédure orale du 12 mai 2000.
VIII. A l'issue de la procédure orale, la Chambre a rendu sa décision oralement.
Motifs de la décision
1. Le recours est recevable.
2. Avant d'aborder la question de fond relative à la nouveauté, le défaut de nouveauté constituant dans la décision attaquée le motif de rejet de la demande en cause, il convient d'examiner si les revendications satisfont aux conditions requises à l'article 84 CBE. Ainsi, la première question à trancher à propos de ce recours est celle de savoir si oui ou non la revendication 1 selon l'une quelconque des requêtes définit clairement l'objet de la protection demandée, comme l'exige la CBE.
Requête principale, requêtes subsidiaires "0", "1A", 2, 3, 4, 5, "5A", 6, 7, 8, 9, "9A", 10 et 11.
3.1 L'article 84 ensemble la règle 29(1) CBE disposent que les revendications doivent être claires et définir l'objet de la protection demandée, en indiquant les caractéristiques techniques de l'invention. Ces conditions ont été requises pour que le public puisse savoir clairement quels sont les objets qui sont couverts par une revendication donnée et ceux qui ne le sont pas. Selon la Chambre, il découle du principe de sécurité juridique qu'une revendication ne peut être jugée claire au sens de l'article 84 CBE si elle ne permet pas clairement de faire cette distinction (cf. décisions G 2/88, JO OEB 1990, 93, point 2.5 des motifs ; T 337/95, JO OEB 1996, 628, points 2.2 à 2.5 des motifs). Une revendication qui comporte une caractéristique technique ambiguë ne permet donc pas de déterminer sans aucun doute possible quel est l'objet quelle couvre, surtout si cette caractéristique est d'une importance essentielle pour l'invention du fait qu'elle sert à délimiter l'objet revendiqué par rapport à l'état de la technique : dans ce cas en effet, l'on ne peut savoir avec certitude si l'objet revendiqué peut ou non être considéré comme nouveau. Par conséquent, ne satisfaisant pas à l'exigence de sécurité juridique, une telle revendication ne saurait être reconnue comme claire au sens de l'article 84 CBE.
3.2 Dans la présente espèce, la revendication 1 selon la requête principale porte sur des composés pipéridiniques correspondant aux formules indiquées, et il est précisé dans cette revendication que ces composés sont "pratiquement purs". Le requérant a fait valoir que cette caractéristique traduit le degré supérieur de pureté que présentent les composés pipéridiniques revendiqués par rapport à celui que présentaient ces mêmes composés dans le document (1), si bien que l'objet de la revendication est nouveau. Cette caractéristique technique doit être considérée comme essentielle pour l'invention du fait notamment que c'est la seule qui permette de distinguer l'objet revendiqué de l'état de la technique.
Par conséquent, aux fins de l'application du principe de sécurité juridique, il est particulièrement important de dégager la signification que revêt la caractéristique technique "pratiquement purs", de manière à pouvoir déterminer avec certitude quel est "l'objet de la protection demandée", pour reprendre les termes de l'article 84, première phrase CBE. Cette caractéristique doit donc être examinée de plus près.
3.2.1 Dans le contexte de l'article 84 CBE, le sens que revêt un terme ou une expression utilisé(e) dans l'énoncé de la caractéristique d'une revendication dépend notamment de la définition qui en est généralement donnée par l'homme du métier : c'est en effet ce qui ressort de la dernière phrase de la règle 35(12) CBE, qui précise qu'il convient d'utiliser "les termes ... généralement acceptés dans le domaine considéré".
3.2.1.1 Le requérant n'a jamais prétendu, et encore moins prouvé qu'il existait une définition quantitative généralement acceptée de l'expression "pratiquement purs" considérée en tant que telle, et la Chambre n'a pas non plus connaissance de l'existence d'une telle définition. Par conséquent, cette caractéristique ne peut se voir attribuer de définition quantitative généralement acceptée.
3.2.1.2 Le requérant a fait valoir que l'expression "pratiquement purs" correspondait en l'occurrence à une norme de pureté existant en pharmacologie puisque les composés revendiqués devaient être utilisés comme produits pharmaceutiques. Il a déduit du document E (7) : US Pharmacopeia, notamment du passage relatif aux "Impuretés ordinaires" des produits pharmaceutiques fabriqués en série figurant à la page 1682, qu'un composé pharmaceutique devait être considéré comme "pratiquement pur" à partir du moment où le degré d'impureté était inférieur à 2%, ce qui correspond à une pureté d'au moins 98%. Lors de la procédure orale qui s'est tenue devant la Chambre, le requérant a d'autre part fait observer que l'enseignement du document (E7), même s'il ne faisait autorité que dans un seul pays, n'en était pas moins généralement accepté par tout homme du métier dans le domaine de la pharmacologie. Dès lors, la signification de la caractéristique "pratiquement purs" était claire pour l'homme du métier qui aurait lu la demande, si bien que la portée de la revendication 1 pouvait être déterminée sans ambiguïté.
Premièrement, dans le document (E7) cité par le requérant à l'appui de sa thèse figure, aux pages 1682 à 1684, un long passage intitulé "Impurities in Official Articles" dont le passage cité par le requérant ne constitue lui-même qu'une petite partie. Au début de ce passage, à la colonne de gauche de la page 1682, il est déclaré que "la notion de pureté varie dans le temps et est inséparable des progrès réalisés en chimie analytique ; si un matériau qui était auparavant considéré comme pur peut par la suite être dissocié en plusieurs composants, il peut être redéfini en termes de nouveaux degrés de pureté ou d'impureté". Cette déclaration faite dans le document (E7) conduit toutefois à conclure que la pureté en tant que telle n'est pas une caractéristique fiable dans le domaine pharmaceutique parce qu'elle constitue une notion plutôt vague dont la signification varie avec le temps et les progrès réalisés dans le domaine de la chimie analytique. La quantification de cette caractéristique, présentée comme changeante dans le document E (7), au moyen du terme vague "pratiquement" ("substantially") utilisé dans la revendication 1, revient à introduire une caractéristique floue qui ne permet pas de déterminer sans ambiguïté la portée de la revendication.
Deuxièmement, le pourcentage maximum de 2% d"impuretés ordinaires" dans les composés destinés à un usage pharmaceutique auxquels le requérant fait référence est considéré dans le document (E7), page 1682, dans le passage intitulé "Ordinary Impurities", au paragraphe 3, comme étant "la limite générale pour la teneur en impuretés ordinaires". L'expression "limite générale" qui a été choisie montre que ce pourcentage ne s'applique que de manière générale, mais pas nécessairement dans tel ou tel cas particulier. Ainsi, les faits de la cause ne permettent pas de confirmer le bien-fondé de l'argument du requérant qui avait prétendu que la limite supérieure de 2% pour ce qui est de la teneur en "impuretés ordinaires" constituait une limite absolue valable dans tous les cas de figure, y compris dans la présente espèce.
Enfin troisièmement, il est précisé dans le document (E7), à la page 1682, dans le passage intitulé "Ordinary Impurities", au paragraphe 4, que "les composants concomitants ... ne doivent pas être pris en compte dans la quantification des impuretés ordinaires", et à la même page, dans le passage intitulé "Concomitant Components", qu'il s'agit de "composants caractéristiques de maints produits chimiques pharmaceutiques fabriqués en série, qui ne sont pas considérés comme des impuretés au sens où l'entend la pharmacopée". Comme exemples de composants concomitants, il est dressé une liste non exhaustive d'isomères géométriques et optiques. Cette notion joue un rôle particulièrement important dans la présente espèce, car l'introduction dans la revendication 1 de la caractéristique "pratiquement purs" pour définir le degré de pureté vise à exclure la présence d'un isomère particulier, à savoir le régioisomère en position méta, ce qui, selon le requérant, doit permettre de distinguer les composés revendiqués des composés selon le document (1). Si l'on en croit l'enseignement du document (E7), ce régioisomère en position méta constitue un composant concomitant des composés revendiqués, et n'est pas considéré comme une "impureté ordinaire" de ces composés. Bien que rendant impurs les composants revendiqués, le composé isomère en position méta n'est pas compris dans les 2% fixés comme limite maximum de la teneur en "impuretés ordinaires", il vient plutôt s'y ajouter. Par conséquent, l'argument du requérant selon lequel les composés revendiqués qui ont une teneur de 2% d'impuretés "ordinaires" sont nécessairement purs à 98% ne résiste pas à l'analyse des faits.
Pour toutes ces raisons, le requérant n'était pas fondé à affirmer sur la base du document (7) que la caractéristique "pratiquement purs" figurant dans la revendication 1 équivaut en l'occurrence à définir un degré de pureté d'au moins 98% du composé revendiqué et c'est également à tort qu'il a allégué que c'est là une définition qui correspond à la définition généralement acceptée dans le domaine pharmaceutique.
3.2.1.3 La déclaration sous serment (E3) et la déclaration (E4) concernant la signification de l'expression "pratiquement pur" généralement acceptée par l'homme du métier n'apportent aucune information supplémentaire par rapport au document (E7), puisqu'elles citent à cet égard le document (7) ou y font explicitement référence. Elles ne peuvent donc confirmer le bien-fondé des arguments avancés par le requérant.
3.2.2 Le requérant ne s'est pas référé à la description de la demande afin de clarifier la signification de l'expression ambiguë "pratiquement pur" utilisée pour définir le degré de pureté des composés revendiqués, puisqu'il n'est pas question dans la description de quantification de ce degré. La description ne fournit donc aucune indication sur ce que pourrait être la signification exacte de cette expression ambiguë. Par conséquent, la Chambre n'a pas à déterminer en l'occurrence si, dans le contexte de l'article 84 CBE, l'homme du métier pouvait ou non compenser le manque de clarté de la revendication en se reportant à la description.
3.3 En résumé, il ressort des éléments de preuve dont dispose la Chambre que la caractéristique "pratiquement pur" ne revêt pas une signification sans équivoque et généralement admise dans le domaine de la technique en cause, si bien que cette caractéristique ne permet pas de déterminer sans aucun doute possible quel est exactement l'objet couvert par la revendication. Or, cette caractéristique ambiguë est la seule qui devait permettre de distinguer l'objet revendiqué de l'objet du document (1). L'exigence de sécurité juridique n'étant pas respectée, la Chambre estime que la revendication 1 selon la requête principale manque de clarté.
3.4 Une décision ne pouvant porter que sur l'ensemble d'une requête, il est superflu d'examiner les autres revendications selon cette requête. Par conséquent, pour ce qui est de la requête principale du requérant, il convient de rejeter le recours, car la revendication 1 selon ladite requête ne satisfait pas aux conditions requises à l'article 84 CBE.
3.5 Dans la revendication 1 selon les requêtes subsidiaires "0", 1, 2, 3, 4, 5, 6, 7, 8, 9, 10 et 11 figure la caractéristique "pratiquement purs" qualifiant les composés pipéridiniques. Dans les considérations relatives à la clarté développées ci-dessus aux points 3.1 et 3.3 à propos de la requête principale, la Chambre s'est fondée sur la présence de cette caractéristique dans la revendication 1. Par conséquent la conclusion qui a été tirée ci-dessus au point 3.4 au sujet de la requête principale vaut également pour les requêtes subsidiaires "0" et 1 à 11,
à savoir qu'il doit être considéré que l'objet couvert effectivement par leurs revendications 1 respectives n'est pas clairement défini.
Dans ces conditions, les requêtes subsidiaires "0", 1, 2, 3, 4, 5, 6, 7, 8, 9, 10 et 11 présentées par le requérant ne sont pas admissibles elles non plus, car elles sont dépourvues de clarté au sens où l'entend l'article 84 CBE.
3.6 La revendication 1 selon la requête subsidiaire "1A" diffère essentiellement de la revendication 1 selon la requête principale en ce que la caractéristique "pratiquement exempts" du régioisomère en position méta correspondant a été substituée à la caractéristique "pratiquement purs" pour la définition des composés pipéridiniques revendiqués. Ainsi, au lieu de définir le degré de pureté des composés revendiqués comme le fait la revendication 1 selon la requête principale, la modification introduite par la requête subsidiaire "1A" revient à définir, à l'inverse, leur degré d'impureté par rapport à celui d'un composé isomérique donné.
Toutefois, une telle caractéristique est également d'une importance essentielle pour l'invention en ce sens qu'elle doit permettre de distinguer l'objet revendiqué de l'objet du document (1). Le requérant n'a pas donné dans ce contexte de définition quantitative généralement admise de l'expression "pratiquement exempt de", et la Chambre n'a pas connaissance de l'existence d'une telle définition. Faute d'une définition quantitative fiable, cette caractéristique ne permet pas de déterminer sans aucun doute possible quel est l'objet couvert par la revendication 1, si bien que l'on ne peut savoir avec certitude si l'objet revendiqué fait ou non déjà partie de l'état de la technique. Il s'ensuit que, pour des raisons ayant trait au manque de sécurité juridique, la revendication 1 n'est pas claire au sens où l'entend l'article 84 CBE, si bien que la requête subsidiaire "1A" n'est pas admissible elle non plus.
3.7 Dans la revendication 1 selon les requêtes subsidiaires "5A" et "9A" figure la caractéristique "pratiquement exempts" du régioisomère en position méta qui sert à définir les composés pipéridiniques. Comme les considérations relatives à la clarté qui ont été développées ci-dessus au point 3.6 à propos de la requête subsidiaire "1A" se fondent sur la présence de cette caractéristique dans la revendication 1, ces mêmes considérations valent nécessairement pour les requêtes subsidiaires 5A et 9A, c'est-à-dire que pour la Chambre, l'objet de la revendication 1 selon ces requêtes n'est pas clairement défini.
Dans ces conditions, les requêtes subsidiaires "5A" et "9A" du requérant ne sont pas admissibles elles non plus car elles manquent de clarté au sens où l'entend l'article 84 CBE.
Requêtes subsidiaires "2A", "3A", "4A", "6A", "7A", "10A" et "11A"
4.1 La revendication 1 selon la requête subsidiaire "2A" diffère de la revendication 1 initiale, c'est-à-dire de la revendication 1 selon la requête principale, en ce que notamment la caractéristique "pratiquement purs" définissant les composés pipéridiniques a été supprimée. En cas de modification, la Chambre doit examiner si le changement apporté ne va pas à l'encontre de l'article 123(2) CBE, qui prévoit que la demande ne peut être modifiée de manière que son objet s'étende au-delà du contenu de la demande telle qu'elle a été déposée.
4.2 Afin de déterminer si une modification va ou non à l'encontre de l'article 123(2) CBE, il convient d'examiner si elle apporte des informations techniques qu'un homme du métier aurait pu déduire objectivement et sans ambiguïté de la demande telle que déposée (cf. les décisions T 288/92, point 3.1 des motifs et T 680/93, point 2 des motifs, qui n'ont pas été publiées au JO OEB). Selon la jurisprudence constante des chambres de recours, il n'est donc pas admissible de supprimer dans une revendication indépendante une caractéristique qui est présentée, dans la demande telle qu'elle a été déposée, comme une caractéristique essentielle de l'invention. Une telle modification étend le contenu de la demande telle qu'elle a été déposée, ce qui est contraire à l'article 123(2) CBE (cf. décision T 260/85, JO OEB 1989, 105, point 12 des motifs).
4.3 En l'espèce, la revendication 1 selon la requête subsidiaire "2A" a été modifiée par suppression de la caractéristique exigeant que les composés pipéridiniques revendiqués soient "pratiquement purs". Ainsi, du fait de cette modification, ladite revendication couvre désormais les composés pipéridiniques correspondant aux formules données, quel que soit leur degré de pureté. Bien que l'expression "pratiquement purs" manque de clarté, comme la Chambre l'a expliqué ci-dessus au point 3, c'est malgré tout une caractéristique technique qui sert à délimiter le degré de pureté des composés pipéridiniques.
4.3.1 Il est incontestable que dans l'ensemble de la demande initiale, notamment dans les revendications initiales 1 à 9 et dans les passages figurant à la page 6 de la demande initiale, ligne 11, à la page 9, ligne 15, à la page 10, ligne 23, ainsi qu'à la page 11, ligne 22, il est clairement exigé que les composés pipéridiniques soient "pratiquement purs". Cette exigence découle de l'état de la technique cité dans le passage allant de la page 2, ligne 10, à la page 5, dernière ligne de la demande telle que déposée, passage dans lequel il est indiqué que les composés pipéridiniques revendiqués en tant que tels appartiennent déjà à cet état de la technique, mais ne sont pas à l'état pratiquement pur, de l'avis du requérant. Ainsi, même sans autres précisions, la caractéristique "pratiquement pur" définissant les composés pipéridiniques selon la demande telle que déposée est d'une importance essentielle pour l'invention en ce sens qu'elle a été introduite à dessein pour permettre de distinguer l'objet revendiqué de l'état de la technique. Au stade de la procédure de recours, le requérant a insisté sur le caractère essentiel que revêt cette caractéristique de l'invention, car elle reflète selon lui le degré de pureté supérieur des composés revendiqués par rapport à celui des composés déjà connus, et confère par conséquent de la nouveauté aux composés revendiqués.
4.3.2 Dans la demande telle que déposée, la caractéristique "pratiquement purs" qui définit les composés pipéridiniques est présentée ainsi comme étant la seule caractéristique essentielle de l'invention. Par conséquent, la suppression de cette caractéristique essentielle dans la revendication indépendante 1 telle que modifiée selon la requête subsidiaire "2A" équivaut à une généralisation abusive du fait que l'objet ainsi modifié de la demande ne correspond pas au contenu de la demande telle que déposée, puisque la modification conduit à couvrir n'importe quel degré de pureté des composés pipéridiniques.
4.3.3 Par conséquent, selon la Chambre, cette modification conduit à apporter à l'homme du métier des informations qui ne découlent pas directement et sans ambiguïté de la demande telle que déposée.
4.4 La Chambre en conclut que la revendication 1 selon la requête subsidiaire "2A" conduit à étendre l'objet revendiqué au-delà du contenu de la demande telle que déposée, contrairement à ce qu'exige l'article 123(2) CBE. Dans ces conditions, la Chambre ne saurait admettre la requête subsidiaire "2A" du requérant.
4.5 Les requêtes subsidiaires "3A", "4A", "6A", "7A", "10A" et "11A" ne comportent plus, dans leur revendication 1 respective, la caractéristique "pratiquement purs" qui servait à définir les composés pipéridiniques. Les considérations relatives à cette modification qui ont été développées ci-dessus aux points 4.1 à 4.3 à propos de la requête subsidiaire "2A" se fondaient sur l'absence de cette caractéristique dans la revendication 1. Par conséquent, ces requêtes subsidiaires sont entachées du même vice que celui qui a été dénoncé plus haut au point 4.4.
Dans ces conditions, les requêtes subsidiaires "3A", "4A", "6A", "7A", "10A" et "11A" soumises par le requérant sont rejetées elles aussi comme étant contraires aux dispositions de l'article 123(2) CBE.
Requête subsidiaire 12
L'objet de la revendication 1 se fonde sur les revendications 8 et 9 de la demande telle que déposée initialement. La limitation des composés pipéridiniques à l'acide 4-[4-[4-(hydroxydiphénylméthyl)-1-pipéridinyl]-1-hydroxybutyl]-α,α-diméthylbenzèneacétique se fonde sur la revendication 7 initiale. La partie nouvelle de la revendication 1 dans laquelle il est précisé que ce composé pipéridinique est obtenu par un procédé particulier de préparation en plusieurs étapes se fonde sur les exemples 1 à 7 donnés dans la demande telle que déposée.
Toutefois, dans la revendication 1 selon la requête subsidiaire 12, l'omission de la caractéristique "pratiquement pur" dans la définition du composé pipéridinique ne signifie pas que la revendication couvre ce composé quel que soit son degré de pureté, car la situation dans ce cas diffère sensiblement de celle dont il avait été discuté au point 4 ci-dessus. En effet, la partie nouvelle de la revendication 1 correspondant à une revendication de produit caractérisé par son procédé d'obtention, qui précise que le composé particulier peut être obtenu par un procédé de préparation en plusieurs étapes, limite nécessairement l'objet de cette revendication à un composé très pur puisque ce procédé de préparation en plusieurs étapes comporte une étape de purification par cristallisation fractionnée permettant d'obtenir comme produit intermédiaire un isomère en position para à l'état pur (étape 2), ainsi qu'une dernière étape de purification faisant appel à la technique de la séparation par chromatographie en phase liquide au moyen d'un adsorbant particulier et d'un éluant particulier (étape 7). Dans ce cas particulier, la caractéristique "pratiquement pur" qui découle nécessairement du procédé de préparation indiqué semble donc définie de façon implicite par le procédé de préparation indiqué dans la revendication 1 selon la requête subsidiaire 12. D'après la jurisprudence constante des chambres de recours (cf. décision T 917/94, non publiée au JO OEB, point 1.1 des motifs), l'omission d'une caractéristique faisant double emploi, qu'elle soit ou non d'une importance essentielle, ne conduit pas à introduire des éléments qui s'étendent au-delà du contenu de la demande telle que déposée.
Pour toutes ces raisons, la Chambre estime que la revendication 1 selon la requête subsidiaire 12 n'est pas contraire aux dispositions de l'article 123(2) CBE.
6. Nouveauté
6.1 Il existe deux types fondamentaux de revendications, à savoir les revendications portant sur une chose, par exemple un produit, et les revendications portant sur une activité physique, par exemple un procédé de préparation d'un produit (cf. décisions G 2/88, JO OEB 1990, 93, point 2.2 des motifs ; T 150/82, JO OEB 1984, 309, point 7 des motifs). Dans la présente espèce, la revendication 1 porte sur une composition pharmaceutique, c'est-à-dire un produit couvert par une revendication relevant de la catégorie des revendications portant sur une chose. Le composé pipéridinique particulier contenu dans cette composition pharmaceutique est défini par sa structure chimique telle que l'indique sa formule chimique, et également par un procédé de préparation comportant plusieurs étapes consécutives de fabrication.
Bien que ce composé soit également caractérisé par son procédé de préparation, cette revendication relève de la catégorie des revendications portant sur une chose, c'est-à-dire sur un produit. D'après la jurisprudence des chambres de recours, une revendication de ce type comportant une partie dans laquelle il est revendiqué un produit caractérisé par son procédé d'obtention est interprétée comme une revendication portant sur le produit en tant que tel, puisque la référence au procédé de préparation ne sert qu'à définir l'objet pour lequel la protection est recherchée, qui demeure le produit en tant que tel (cf. décisions T 411/89 du 20 décembre 1990, point 2.2 des motifs, non publiée au JO OEB ; T 19/90, JO OEB 1990, 476, point 4.9.2 des motifs). Par conséquent, dans la présente espèce, quelle que soit sa formulation, la revendication 1 reste dans tous les cas une revendication de produit, portant sur la composition pharmaceutique en tant que telle.
6.2 Selon la jurisprudence constante des chambres de recours, une revendication portant sur un produit chimique défini par son procédé de préparation n'est admissible que si le produit lui-même satisfait aux conditions requises pour la brevetabilité, c'est-à-dire en particulier s'il est nouveau et implique une activité inventive. Pour qu'il puisse être conclu à la nouveauté de l'invention, il faut que la modification du procédé de préparation permette d'obtenir d'autres produits, du fait par exemple qu'elle engendre de nettes différences dans les propriétés du produit obtenu (cf. décision T 205/83, JO OEB 1985, 363, points 3.1 et 3.2.1 des motifs).
En application de ce principe, le requérant a fait valoir que la nette différence apparue dans les propriétés du produit était en l'occurrence un degré différent de pureté. Il a fait référence à ce propos à la partie de la revendication 1 de produit décrivant un procédé, dans laquelle l'objet revendiqué était limité à une composition pharmaceutique comprenant un composé pipéridinique particulier très pur de formule donnée. Du fait qu'il avait été procédé à l'étape 2 à une cristallisation fractionnée pour obtenir un produit intermédiaire isomère en position para à l'état pur ainsi qu'à une purification par chromatographie en phase liquide à la dernière étape 7 du procédé de préparation du composé pipéridinique particulier, comme il est spécifié dans la partie de la revendication de produit 1 traitant du procédé d'obtention, le degré de pureté du composé obtenu était particulièrement élevé puisqu'il atteignait au moins 98%, et pouvait même dépasser 99,5% (cf. mémoire exposant les motifs du recours, points 2.2.5, 2.2.13 et 2.2.14, et document (E4), point 10). Le composé se présentait notamment comme un isomère en position para à l'état pur du fait que les sous-produits isomères en position méta non désirés avaient été éliminés. Le requérant a affirmé que le degré de pureté particulièrement élevé de ce composé pipéridinique, qui résultait nécessairement de son procédé de préparation selon la revendication 1, était ce qui distinguait les compositions pharmaceutiques revendiquées des compositions appartenant à l'état de la technique, et leur conférait donc la nouveauté.
6.3 Dans la revendication 10 du document (1), est divulguée une composition pharmaceutique comprenant un support pharmaceutiquement acceptable et une dose anti-allergique efficace d'un composé pipéridinique, à savoir l'acide 4-[4-[4-(hydroxydiphénylméthyl)-1-pipéridinyl]-1-hydroxybutyl]-α,α-diméthylbenzèneacétique selon la revendication 8 et le passage figurant à la page 3, lignes 57 et 58 de la description, à savoir le composé pipéridinique dont la formule était indiquée dans la revendication 1 actuelle. Selon les exemples 3 et 5 du document (1), ce composé pipéridinique est purifié par recristallisations successives au moyen d'un mélange solvant particulier (cf. colonne 13, ligne 35 ; colonne 14, lignes 27 et 28), sans toutefois qu'il soit indiqué un degré de pureté donné pour ce composé. Sur la base de résultats d'expériences, le requérant a fait valoir que le degré de pureté d'un composé pipéridinique particulier préparé comme dans le cas des exemples donnés dans le document (1) ne dépassait pas 96,3% (cf. le mémoire exposant les motifs du recours, parties 2.2.11, 2.2.12 et 2.2.14, ainsi que les documents (E2) et (E4), point 9).
En résumé, comme le souligne le requérant, le degré de pureté particulièrement élevé du composé pipéridinique particulier (au moins 98%) entrant dans la composition pharmaceutique revendiquée est dans la présente revendication 1 la seule caractéristique qui n'avait été ni explicitement divulguée, ni implicitement obtenue dans le document (1).
Il convient donc d'examiner si la caractéristique en question, à savoir cette différence de degré de pureté chimique, permet de considérer que l'objet revendiqué est nouveau par rapport au document (1).
6.4 Selon la jurisprudence des chambres de recours, le degré de pureté d'un composé chimique de faible poids moléculaire ne peut en règle générale conférer la nouveauté à ce composé puisque les méthodes classiques de purification de ce composé font partie des connaissances générales de l'homme du métier. Par conséquent, il peut être considéré d'une manière générale que tout document qui divulgue un tel composé chimique rend ce composé accessible au public au sens de l'article 54 CBE, et ce dans tous les degrés de pureté souhaités par l'homme du métier (cf. décision T 990/96, loc cit., point 7 des motifs).
6.4.1 Le requérant a affirmé que cette règle générale n'était pas applicable dans la présente espèce puisque toutes les conditions requises dans ladite décision pour qu'il puisse être reconnu l'existence de circonstances exceptionnelles justifiant une conclusion différente étaient réunies en l'occurrence. L'existence de circonstances exceptionnelles doit être reconnue lorsque toutes les tentatives antérieures faites en vue d'obtenir un degré de pureté donné en appliquant des procédés de purification classiques se sont soldées par un échec (cf. T 990/96, loc cit., point 8 des motifs).
En l'espèce, à ce qu'a prétendu le requérant, toutes les tentatives faites pour obtenir par les méthodes de purification classiques le degré de pureté particulièrement élevé du composé pipéridinique particulier tel que défini dans la revendication 1 s'étaient soldées par un échec. Le procédé de préparation divulgué dans le document (1) permet d'obtenir un mélange de régioisomères en position méta et para qui ne pouvaient être séparés par les techniques classiques ; il n'était donc pas possible par les méthodes classiques de purification d'obtenir ce composé pipéridinique particulier, à savoir l'isomère en position para à l'état très pur, tel qu'il était revendiqué. A l'appui de sa thèse, le requérant a cité un passage de sa demande telle que déposée figurant à la page 6, premier paragraphe, dernière phrase, ainsi que le document (E3), point 15, dans lesquels il est constaté qu'il n'a "pas été possible d'obtenir l'un quelconque des deux régioisomères de chaque mélange sous une forme pratiquement pure".
6.4.2 Toutefois, la charge de la preuve incombe à la partie qui allègue l'existence de ces circonstances exceptionnelles (cf. T 990/96, loc cit., point 8 des motifs) c.-à.-d. en l'occurrence au requérant. La demande telle que déposée et le document (E3) que le requérant a cités à l'appui de sa thèse ne font que refléter l'avis d'une seule et même personne, à savoir leur auteur, qui n'est autre que l'inventeur. Aucun élément de preuve ne venant corroborer sa thèse, le requérant n'a pas administré comme il le devait la preuve de ses allégations en la matière, si bien que la Chambre ne peut en reconnaître le bien-fondé.
6.4.3 En outre, la thèse du requérant selon laquelle il n'était pas possible de séparer par une méthode de purification classique les régioisomères en position méta et para entrant dans la composition du mélange divulgué dans le document (1) de manière à obtenir le composé pipéridinique particulier sous une forme très pure se voit contredite par les faits. En ce qui concerne ce mélange connu de régioisomères en position méta et para, il est reconnu dans la demande telle que déposée, à la page 6, premier paragraphe, première phrase, que "le mélange de régioisomères peut être analysé par chromatographie liquide à haute performance ; en revanche, il n'a pas été trouvé de procédé de séparation permettant d'obtenir des régioisomères pratiquement purs dans des quantités de l'ordre du gramme". Dans le document (E4), au point 9, il est affirmé par ailleurs que le mélange, "après analyse par chromatographie liquide à haute performance, s'est révélé contenir 3,7% de l'isomère en position méta correspondant". Il ressort de ces déclarations que la chromatographie liquide à haute performance permet effectivement de décomposer le mélange de régioisomères en position méta et para divulgué dans le document (1) en ses différents régioisomères à l'état pur et d'obtenir des quantités faibles, mais non négligeables, du régioisomère en position para pratiquement pur qui est le composé pipéridinique particulier défini dans la revendication 1 actuelle. La chromatographie liquide à haute performance est une technique standard permettant de purifier des composés chimiques de faible poids moléculaire. Cette technique était connue par l'homme du métier à la date de priorité de la demande en cause. Lors de la procédure orale devant la Chambre, le requérant a reconnu que la chromatographie liquide à haute performance est une méthode classique de purification bien connue dans l'état de la technique.
Ainsi donc, il s'avère qu'il a été possible d'obtenir le degré de pureté particulièrement élevé du composé pipéridinique particulier défini dans la revendication 1 en faisant appel à une technique classique de purification du mélange de régioisomères en position para et méta divulgué dans le document (1), si bien qu'il ne peut être considéré en l'occurrence que l'on a affaire à la situation exceptionnelle dont il est question dans la décision T 990/96, ce qui aurait été le cas s'il avait été prouvé que les méthodes classiques ne permettaient pas d'obtenir le même degré de pureté.
6.5 Par conséquent, c'est la règle générale énoncée ci-dessus au point 6.4 qui s'applique, à savoir qu'il doit être considéré que le document (1) rend le composé accessible au public à n'importe quel degré de pureté recherché.
Pour toutes ces raisons, le degré de pureté particulièrement élevé du composé pipéridinique particulier défini dans la revendication 1 de produit par l'indication du procédé de préparation de ce composé ne constitue pas une caractéristique susceptible de rendre l'objet de la revendication nouveau par rapport à l'état de la technique.
6.6 La Chambre conclut de ce qui précède que le document (1) détruit la nouveauté de l'objet de la revendication 1 selon la requête subsidiaire 12.
6.7 Dans ces conditions, la requête subsidiaire 12 du requérant est elle aussi rejetée pour défaut de nouveauté au regard de l'article 54(2) CBE.
Dispositif
Par ces motifs, il est statué comme suit :
Le recours est rejeté.